Abstract
Background:
The most commonly used predictive equation for basal metabolic rate (BMR) is the Schofield equation, which only uses information on body weight, age and sex to derive the prediction. However, because body composition is a key influencing factor, there will be error in calculating an individual's basal requirements based on this prediction.
Objective:
To investigate whether adding additional anthropometric measures to the standard measures can enhance the predictability of BMR and to cross-validate this within a separate subgroup.
Design:
Cross-sectional study of 150 Caucasian adults from Scotland, with a body mass index range of 16.7–49.3 kg/m2. All subjects underwent measurement of BMR, body composition, and 148 also had basic skinfold and circumference measures taken. The resultant equation was tested in a subgroup of 39 obese males.
Results:
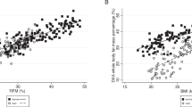
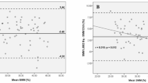
The average difference between the predicted (Schofield equation) and measured BMR was 502 kJ/day. There was a slight systematic bias in this error, with the Schofield equation underestimating the lowest values. The average discrepancy between predicted and actual BMR was reduced to 452 kJ/day, with the addition of fat mass, fat-free mass, an overall 10% improvement on the Schofield equation (P=0.054). Using an equation derived from principal components analysis of anthropometry measurements similarly decreased the difference to 458 kJ/day (P=0.039). Testing the equation in a separate group indicated a 33% improvement in predictability of BMR, compared to the Schofield equation.
Conclusions:
In the absence of detailed information on body composition, utilizing anthropometric data provides a useful alternative methodology to improve the predictability of BMR beyond that achieved from the standard Schofield prediction equation. This should be confirmed in more individuals, both within the obese and normal weight category.
This is a preview of subscription content, access via your institution
Access options
Subscribe to this journal
Receive 12 print issues and online access
$259.00 per year
only $21.58 per issue
Buy this article
- Purchase on SpringerLink
- Instant access to full article PDF
Prices may be subject to local taxes which are calculated during checkout




Similar content being viewed by others
References
Bishop CWRSJ (1987). Estimation of the mid upper arm circumference measurement error. J Am Diet Assoc 87, 469–473.
Black A, Goldberg G, Jebb S, Livingstone BM, Prentice A (1991). Critical evaluation of energy intake data using fundamental principles of energy physiology: 2. Evaluating the results of dietary surveys. Eur J Clin Nutr 45, 583–599.
Crapo RO, Morris AH, Clayton PD, Nixon CR (1982). Lung volumes in healthy nonsmoking adults. Bull Eur Physiopathol Respir 18, 419–425.
Cunningham JJ (1991). Body-composition as a determinant of energy-expenditure – a synthetic review and a proposed general prediction equation. Am J Clin Nutr 54, 963–969.
Dallosso HM, James WPT (1984). The role of smoking in the regulation of energy balance. Int J Obes 8, 365–375.
Dewit O, Fuller NJ, Fewtrell MS, Elia M, Wells JC (2000). Whole body air displacement plethysmography compared with hydrodensitometry for body composition analysis. Arch Dis Child 82, 159–164.
Durnin JVGA, Womersley J (1974). Body fat assessed from body density and its estimation from skinfold thickness: measurement on 481 men and women from 16–72 years. Br J Nutr 32, 77–97.
Elia M, Livesey G (1992). Energy expenditure and fuel selection in biological systems: the theory and practice of calculations based on indirect calorimetry and tracer methods. In: Simopoulus A (ed). Metabolic Control of Eating, Energy Expenditure and the Bioenergetics of Obesity World Rev Nutr Diet, 70. Basel Karger: New York, pp 68–131.
FAÕ/WHÕ/UNU (1985). Energy and protein requirements Technical Report Series no. 724 WHO: Geneva.
Fukagawa NK, Bandini LG, Young JB (1990). Effect of age on body-composition and resting metabolic-rate. Am J Physiol 259, E233–E238.
Harris J, Benedict F (1919). A Biometric Study of Basal Metabolism in Man. Publication no 279. Carnegie Institution: Washington, DC.
Horgan GW, Stubbs J (2003). Predicting basal metabolic rate in the obese is difficult. Eur J Clin Nutr 57, 335–340.
James WP, Ferro-Luzzi A, Waterlow JC (1988). Definition of chronic energy deficiency in adults. Report of a working party of the international dietary energy consultative group. Eur J Clin Nutr 42, 969–981.
Jequier E, Schutz Y (1981). The contribution of BMR and physical activity to energy expenditure. In: Cioffi LA, James WPT, Van Italie TB (eds). The Body Weight Regulatory System: Normal and Disturbed Mechanisms. Raven Press: New York.
Johnstone AM, Murison SD, Duncan JS, Rance KA, Speakman JR (2005). Factors influencing variation in basal metabolic rate: BMR is related to fat-free mass, fat-mass, age and circulating T4, but not sex, circulating leptin, or T3 levels. Am J Clin Nutr 82, 941–948.
Luhrmann PM, Neuhaeuser Berthold M (2004). Are the equations published in literature for predicting resting metabolic rate accurate for use in the elderly? J Nutr Health Aging 8, 144–149.
McGowan MJ, Harrington KE, Kiely M, Robson PJ, Livingstone MB, Gibney MJ (2001). An evaluation of energy intakes and the ratio of energy intake to estimated basal metabolic rate (EI/BMRest) in the North/South Ireland Food Consumption Survey. Public Health Nutr 4, 1043–1050.
Muller MJ, Bosy-Westphal A, Klaus S, Kreymann G, Luhrmann PM, Neuhauser-Berthold M et al. (2004). World Health Organization equations have shortcomings for predicting resting energy expenditure in persons from a modern, affluent population: generation of a new reference standard from a retrospective analysis of a German database of resting energy expenditure. Am J Clin Nutr 80, 1379–1390.
Nelson KM, Weinsier RL, Long CL, Schutz Y (1992). Prediction of resting energy-expenditure from fat-free mass and fat mass. Am J Clin Nutr 56, 848–856.
Norton K, Whittingham N, Carter L, Kerr D, Gore C, Marfell-Jones M (1996) In: Norton K, Olds T (eds). Measurement Techniques in Anthropometry. UNSW Press: Sydney, pp 25–75.
Piers LS, Diffey B, Soares MJ, Frandsen SL, McCormack LM, Lutschini MJ et al. (1997). The validity of predicting the basal metabolic rate of young Australian men and women. Eur J Clin Nutr 51, 333–337.
Pullicino E, Copperstone C, Luzi L, McNeill G, Elia M (1996). Relationship between anthropometric indices of body fat distribution and basal energy metabolism in healthy Maltese women. Acta Diabetol 33, 198–204.
Pullicino E, Coward WA, Stubbs RJ, Elia M (1990). Bedside and field methods for assessing body composition: comparison with the deuterium dilution technique. Eur J Clin Invest 40, 753–762.
Schofield W (1985a). Predicting basal metabolic rate, new standards and review of previous work. Clin Nutr 39C (Suppl 1), 5–41.
Schofield W (1985b). An annotated bibliography of source material for basal metabolic rate data. Clin Nutr 39C (Suppl 1), 42–91.
Shetty PS, Henry CJK, Black AE, Prentice AM (1996). Energy requirements of adults: an update on basal metabolic rates (BMRs) and physical activity levels (PALs). Eur J Clin Nutr 50 (Suppl 1), 11–23.
Shetty PS, Soares MJ, James WPT (1994). Body mass index: its relationship to metabolic rates and energy requirements. Eur J Clin Nutr 48, S28–S38.
SIGN–Scottish Intercollegiate Guidelines Network (1996). Obesity in Scotland, Integrating Prevention with Weight Management. Royal College of Physicians: Edinburgh, UK.
Siri WE (1961). Body composition from fluid spaces and density: Analysis of methods. In: Brozek JH, Henschel A (eds). Techniques for Measuring Body Composition. Washington DC National Academy of Science: USA. pp 223–244.
Soares MJ, Shetty PS (1986). Intra-individual variations in resting metabolic rates of human subjects. Hum Nutr Clin Nutr 40, 365–369.
Stewart CL, Goody CM, Branson R (2005). Comparison of two systems of measuring energy expenditure. J Parenter Enteral Nutr 29, 212–217.
Svendsen OL, Hassager C, Christiansen C (1993). Impact of regional and total-body composition and hormones on resting energy-expenditure in overweight postmenopausal women. Metabolism 42, 1588–1591.
Ulijaszek SJ, Kerr DA (1999). Anthropometric measurement error and the assessment of nutritional status. Br J Nutr 82, 165–177. Erratum in: Br J Nutr 2000; 83: 95.
Valencia ME, Moya SY, McNeill G, Haggarty P (1994). Basal metabolic rate and body fatness of adult men in northern Mexico. Eur J Clin Nutr 48, 205–211.
van der Ploeg GE, Gunn SM, Withers RT, Modra AC, Keeves JP, Chatterton BE (2001). Predicting the resting metabolic rate of young Australian males. Eur J Clin Nutr 55, 145–152.
Weinsier RL, Schutz Y, Bracco D (1992). Reexamination of the relationship of resting metabolic-rate to fat-free mass and to the metabolically active components of fat-free mass in humans. Am J Clin Nutr 55, 790–794.
Weyer C, Pratley RE, Lindsay RS, Tataranni PA (2000). Relationship between birth weight and body composition, energy metabolism, and sympathetic nervous system activity later in life. Obes Res 8, 559–565.
WHO (1995). Physical status: The use and interpretation of anthropometry. Technical Report Series no. 845 WHO: Geneva.
Acknowledgements
We are grateful for the statistical advice from Dr Graham Horgan, Biomathematics and Statistics, Scotland. We also thank Sylvia Hay, Marion Scott and Jean Bryce for assistance in the Human Nutrition Unit. We are grateful for funding from the Scottish Executive Environment and Rural Affairs Department.
Author information
Authors and Affiliations
Corresponding author
Additional information
Guarantor: AM Johnstone.
Contributor: JRS, KAR and AMJ were responsible for the study concept and design. AMJ, JSD and SDM were responsible for the data collection and laboratory analysis of blood samples. JRS and KAR were responsible for the data analysis. JRS, KAR and AMJ were responsible for the first draft and critical revision of the manuscript for important intellectual content. None of the authors had a conflict of interest.
Rights and permissions
About this article
Cite this article
Johnstone, A., Rance, K., Murison, S. et al. Additional anthropometric measures may improve the predictability of basal metabolic rate in adult subjects. Eur J Clin Nutr 60, 1437–1444 (2006). https://doi.org/10.1038/sj.ejcn.1602477
Received:
Revised:
Accepted:
Published:
Issue date:
DOI: https://doi.org/10.1038/sj.ejcn.1602477
Keywords
This article is cited by
-
Estimates of Resting Energy Expenditure and Total Energy Expenditure Using Predictive Equations for Individuals After Bariatric Surgery: a Systematic Review with Meta-analysis
Obesity Surgery (2023)
-
Accuracy of Resting Metabolic Rate Prediction Equations in Athletes: A Systematic Review with Meta-analysis
Sports Medicine (2023)
-
Biological and psychological mediators of the relationships between fat mass, fat-free mass and energy intake
International Journal of Obesity (2019)
-
Prediction and evaluation of resting energy expenditure in a large group of obese outpatients
International Journal of Obesity (2017)
-
An approach to quantifying abnormalities in energy expenditure and lean mass in metabolic disease
European Journal of Clinical Nutrition (2014)