Skip to main content

Thank you for visiting nature.com. You are using a browser version with limited support for CSS. To obtain the best experience, we recommend you use a more up to date browser (or turn off compatibility mode in Internet Explorer). In the meantime, to ensure continued support, we are displaying the site without styles and JavaScript.

  • Letter
  • Published:

Tryptophane Metabolites in Human Urine

Abstract

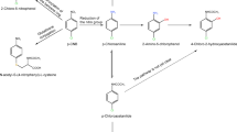
I HAVE already reported1 that some human urine specimens made strongly alkaline yield distillates presenting spectroscopic and polarographic properties of o-aminoacetophenone. This was interpreted as indicating the presence of kynurenine in human urine, since (1) o-aminoacetophenone is not present in untreated urine, and (2) no substance other than kynurenine was known to behave in the way described under the condition of experiment. Tabone's interpretation2, that the source of o-aminoacetophenone in human urine is tryptophane, was based on rather different and qualitative experiments.

This is a preview of subscription content, access via your institution

Access options

Buy this article

Prices may be subject to local taxes which are calculated during checkout

Similar content being viewed by others

References

  1. Špaček, M., C.R. Soc. Biol., 141, 1074 (1947).

    Google Scholar 

  2. Tabone, J., Bull. Soc. Chim. Biol., 31, 701 (1949).

    CAS  Google Scholar 

  3. Hawk, P. B., and Bergheim, O., “Practical Physiological Chemistry”. 2nd ed., 126.

Download references

Author information

Authors and Affiliations

Authors

Rights and permissions

Reprints and permissions

About this article

Cite this article

ŠPAČEK, M. Tryptophane Metabolites in Human Urine. Nature 172, 204 (1953). https://doi.org/10.1038/172204a0

Download citation

  • Issue date:

  • DOI: https://doi.org/10.1038/172204a0

This article is cited by

Search

Quick links

Nature Briefing

Sign up for the Nature Briefing newsletter — what matters in science, free to your inbox daily.

Get the most important science stories of the day, free in your inbox. Sign up for Nature Briefing