Abstract
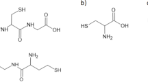
THE affinity of arsenicals for sulphydryl groups was first suggested by Ehrlich as being responsible for the toxic action of these poisons, and the work by Voegtlin1 and his associates later demonstrated that the trypanocidal action of arsenicals was reversed as well as prevented by the administration of reduced glutathione, cysteine and related sulphydryl compounds.
This is a preview of subscription content, access via your institution
Access options
Subscribe to this journal
Receive 51 print issues and online access
$199.00 per year
only $3.90 per issue
Buy this article
- Purchase on SpringerLink
- Instant access to the full article PDF.
USD 39.95
Prices may be subject to local taxes which are calculated during checkout
Similar content being viewed by others
References
Voegtlin, C., Dyer, H. A., and Leonard, C. S., J. Pharm. and Exp. Therap., 25, 297 (1925). Rosenthal, S. M., and Voegtlin, C., ibid, 39, 347 (1930).
Fink, D. E., J. Econ. Ent., 20, 794 (1927).
Forgash, A. J., ibid., 44, 870 (1951); 49, 39 (1956).
Harington, J. S. (unpublished).
Park, G. S., and Speakman, J. V., Bull. de l'Inst. text. de France, 30, 255 (1952).
Woodward, G. E., J. Biol. Chem., 109, 1 (1935).
Snell, F. D., and Snell, C. T., ‘Colorimetric methods of analysis’ Vol. 3, 3rd edit., 492 (New York, 1953).
Thompson, M. E., and Johnston, A. M., Nature, 181, 647 (1958).
Author information
Authors and Affiliations
Rights and permissions
About this article
Cite this article
HARINGTON, J. Contents of Cystine-Cysteine, Glutathione and Total Free Sulphydryl in Arsenic-resistant and sensitive Strains of the Blue Tick, Boophilus decoloratus. Nature 184, 1739–1740 (1959). https://doi.org/10.1038/1841739b0
Issue date:
DOI: https://doi.org/10.1038/1841739b0


