Abstract
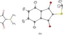
AS part of a programme of work on the investigation of the bond lengths and bond angles in purines1, the crystal structure of 1,3,7,9-tetramethyluric acid has been determined. In the preceding communication, de Santis, Giglio and Liquori have reported the crystal structure of this substance, but describe a different polymorphic form from the one given here.
This is a preview of subscription content, access via your institution
Access options
Subscribe to this journal
Receive 51 print issues and online access
$199.00 per year
only $3.90 per issue
Buy this article
- Purchase on SpringerLink
- Instant access to the full article PDF.
USD 39.95
Prices may be subject to local taxes which are calculated during checkout
Similar content being viewed by others
References
Sutor, D. J., Acta Cryst., 11, 83, 453 (1958).
Author information
Authors and Affiliations
Rights and permissions
About this article
Cite this article
SUTOR, D. Crystal Structure of 1-3-7-9 Tetramethyluric Acid and the Molecular Packing in Hydroxymethyl Purine Crystals. Nature 188, 47–48 (1960). https://doi.org/10.1038/188047a0
Issue date:
DOI: https://doi.org/10.1038/188047a0


