Skip to main content

Thank you for visiting nature.com. You are using a browser version with limited support for CSS. To obtain the best experience, we recommend you use a more up to date browser (or turn off compatibility mode in Internet Explorer). In the meantime, to ensure continued support, we are displaying the site without styles and JavaScript.

Advertisement

Hypertension Research
  • View all journals
  • Search
  • Log in
  • Content Explore content
  • About the journal
  • Publish with us
  • Sign up for alerts
  • RSS feed
  1. nature
  2. hypertension research
  3. original article
  4. article
The Proportion of Individuals with Alcohol-Induced Hypertension among Total Hypertensives in a General Japanese Population: NIPPON DATA90
Download PDF
Download PDF
  • Original Article
  • Published: 01 August 2007

The Proportion of Individuals with Alcohol-Induced Hypertension among Total Hypertensives in a General Japanese Population: NIPPON DATA90

  • Koshi Nakamura1 na1,
  • Tomonori Okamura1 na1,
  • Takehito Hayakawa2 na1,
  • Atsushi Hozawa1 na1,
  • Takashi Kadowaki1 na1,
  • Yoshitaka Murakami1 na1,
  • Yoshikuni Kita1 na1,
  • Akira Okayama3 na1 &
  • Hirotsugu Ueshima1 na1
  • for the NIPPON DATA90 Research Group*

Hypertension Research volume 30, pages 663–668 (2007)Cite this article

  • 2585 Accesses

  • 3 Altmetric

  • Metrics details

Abstract

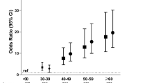
Japanese men consume more alcoholic beverages than men in many other developed countries. The high consumption rate of alcoholic beverages among Japanese men may contribute to the high prevalence of hypertension in Japan. In the present study, we calculated the odds ratio for hypertension in alcohol drinkers based on recent criteria using data from a nationwide survey conducted in Japan in 1990, and estimated, among total hypertensives in a general Japanese population, the percentage of hypertensives whose condition was due to alcohol consumption. Of 3,454 male participants, 64.8% were drinkers (1 gou/day, 28.9%; 2 gou/day, 20.1%; 3 gou/day or more, 8.7%; ex-drinkers, 7.0%) and 49.8% were hypertensive, whereas 7.6% of 4,808 female participants were drinkers (1 gou/day, 5.2%; 2 gou/day or more, 1.3%; ex-drinkers, 1.1%) and 43.1% were hypertensive (1 gou=23.0 g of alcohol). In both sexes, drinkers had a higher odds ratio for hypertension than never drinkers, and there was a significant dose-response relationship between the amount of alcohol consumed and the odds ratio for hypertension. Among all hypertensives, the percentage whose hypertension was due to alcohol consumption was 34.5% (95% confidence interval, 10.9%−51.9%) for men and 2.6% (0.8%−5.8%) for women. The corresponding proportion based on daily alcohol intake was 12.7% for 1 gou/day, 11.1% for 2 gou/day, 5.8% for 3 gou/day or more, and 4.8% for ex-drinkers in men, and 1.8% for 1 gou/day, 0.7% for 2 gou/day or more, and −0.1% for ex-drinkers in women. In conclusion, we found that a large percentage of the hypertensives in a general Japanese male population had alcohol-induced hypertension.

Similar content being viewed by others

Alcohol consumption and risks of more than 200 diseases in Chinese men

Article Open access 08 June 2023

Association of sleep-disordered breathing and alcohol consumption with hypertension among Japanese male bus drivers

Article 07 June 2021

Socio-demographic and lifestyle factors associated with hypertension in Nigeria: results from a country-wide survey

Article Open access 24 March 2022

Article PDF

References

  1. Marmot MG, Elliott P, Shipley MJ, et al: Alcohol and blood pressure: the INTERSALT study. BMJ 1994; 308: 1263–1267.

    Article  CAS  PubMed  PubMed Central  Google Scholar 

  2. Puddey IB, Beilin LJ, Vandongen R, Rouse IL, Rogers P : Evidence for a direct effect of alcohol consumption on blood pressure in normotensive men. A randomized controlled trial. Hypertension 1985; 7: 707–713.

    Article  CAS  PubMed  Google Scholar 

  3. Puddey IB, Beilin LJ, Vandongen R : Regular alcohol use raises blood pressure in treated hypertensive subjects. A randomised controlled trial. Lancet 1987; 1: 647–651.

    Article  CAS  PubMed  Google Scholar 

  4. Ueshima H, Ogihara T, Baba S, et al: The effect of reduced alcohol consumption on blood pressure: a randomised, controlled, single blind study. J Hum Hypertens 1987; 1: 113–119.

    CAS  PubMed  Google Scholar 

  5. Ueshima H, Mikawa K, Baba S, et al: Effect of reduced alcohol consumption on blood pressure in untreated hypertensive men. Hypertension 1993; 21: 248–252.

    Article  CAS  PubMed  Google Scholar 

  6. Tsuruta M, Adachi H, Hirai Y, Fujiura Y, Imaizumi T : Association between alcohol intake and development of hypertension in Japanese normotensive men: 12-year follow-up study. Am J Hypertens 2000; 13: 482–487.

    Article  CAS  PubMed  Google Scholar 

  7. Ohmori S, Kiyohara Y, Kato I, et al: Alcohol intake and future incidence of hypertension in a general Japanese population: the Hisayama study. Alcohol Clin Exp Res 2002; 26: 1010–1016.

    Article  CAS  PubMed  Google Scholar 

  8. Nakanishi N, Yoshida H, Nakamura K, Suzuki K, Tatara K : Alcohol consumption and risk for hypertension in middle-aged Japanese men. J Hypertens 2001; 19: 851–855.

    Article  CAS  PubMed  Google Scholar 

  9. Yoshita K, Miura K, Morikawa Y, et al: Relationship of alcohol consumption to 7-year blood pressure change in Japanese men. J Hypertens 2005; 23: 1485–1490.

    Article  CAS  PubMed  Google Scholar 

  10. Nakanishi N, Makino K, Nishina K, Suzuki K, Tatara K : Relationship of light to moderate alcohol consumption and risk of hypertension in Japanese male office workers. Alcohol Clin Exp Res 2002; 26: 988–994.

    Article  PubMed  Google Scholar 

  11. Hashimoto T, Fujita Y, Ueshima H, et al: Urinary sodium and potassium excretion, body mass index, alcohol intake and blood pressure in three Japanese populations. J Hum Hypertens 1989; 3: 315–321.

    CAS  PubMed  Google Scholar 

  12. Klag MJ, Moore RD, Whelton PK, Sakai Y, Comstock GW : Alcohol consumption and blood pressure: a comparison of native Japanese to American men. J Clin Epidemiol 1990; 43: 1407–1414.

    Article  CAS  PubMed  Google Scholar 

  13. Zhou BF, Stamler J, Dennis B, et al, INTERMAP Research Group: Nutrient intakes of middle-aged men and women in China, Japan, United Kingdom, and United States in the late 1990s: the INTERMAP study. J Hum Hypertens 2003; 17: 623–630.

    Article  CAS  PubMed  PubMed Central  Google Scholar 

  14. Sekikawa A, Ueshima H, Zaky WR, et al: Much lower prevalence of coronary calcium detected by electron-beam computed tomography among men aged 40–49 in Japan than in the US, despite a less favorable profile of major risk factors. Int J Epidemiol 2005; 34: 173–179.

    Article  PubMed  Google Scholar 

  15. Geleijnse JM, Kok FJ, Grobbee DE : Impact of dietary and lifestyle factors on the prevalence of hypertension in Western populations. Eur J Public Health 2004; 14: 235–239.

    Article  PubMed  Google Scholar 

  16. Ueshima H, Ozawa H, Baba S, et al: Alcohol drinking and high blood pressure: data from a 1980 national cardiovascular survey of Japan. J Clin Epidemiol 1992; 45: 667–673.

    Article  CAS  PubMed  Google Scholar 

  17. Chobanian AV, Bakris GL, Black HR, et al; National Heart, Lung, and Blood Institute Joint National Committee on Prevention, Detection, Evaluation, and Treatment of High Blood Pressure; National High Blood Pressure Education Program Coordinating Committee: The Seventh Report of the Joint National Committee on Prevention, Detection, Evaluation, and Treatment of High Blood Pressure: the JNC 7 report. JAMA 2003; 289: 2560–2572 ( errata: JAMA 2003; 290: 197).

    Article  CAS  PubMed  Google Scholar 

  18. Okamura T, Hayakawa T, Kadowaki T, Kita Y, Okayama A, Ueshima H, NIPPON DATA90 Research Group: The inverse relationship between serum high-density lipoprotein cholesterol level and all-cause mortality in a 9.6-year follow-up study in the Japanese general population. Atherosclerosis 2006; 184: 143–150.

    Article  CAS  PubMed  Google Scholar 

  19. Nakamura K, Okamura T, Hayakawa T, et al, NIPPON DATA90 Research Group: Electrocardiogram screening for left high R-wave predicts cardiovascular death in a Japanese community-based population. Hypertens Res 2006; 29: 353–360 ( errata: Hypertens Res 2006; 29: 833).

    Article  PubMed  Google Scholar 

  20. Nakamura K, Okamura T, Hayakawa T, et al, The NIPPON DATA90 Research Group: Chronic kidney disease is a risk factor for cardiovascular death in a community-based population in Japan: NIPPON DATA90. Circ J 2006; 70: 954–959.

    Article  PubMed  Google Scholar 

  21. Hozawa A, Okamura T, Kadowaki T, et al, The NIPPON DATA90 Research Group: Gamma-glutamyltransferase predicts cardiovascular death among Japanese women. Atherosclerosis ( in press, Epub).

  22. Ueshima H, Shimamoto T, Iida M, et al: Alcohol intake and hypertension among urban and rural Japanese populations. J Chronic Dis 1984; 37: 585–592.

    Article  CAS  PubMed  Google Scholar 

  23. Rockhill B, Newman B, Weinberg C : Use and misuse of population attributable fractions. Am J Public Health 1998; 88: 15–19.

    Article  CAS  PubMed  PubMed Central  Google Scholar 

  24. Greenland S : Re: “Confidence limits made easy: interval estimation using a substitution method.” Am J Epidemiol 1999; 149: 884–886.

    Article  CAS  PubMed  Google Scholar 

  25. Ueshima H, Ohsaka T, Asakura S : Regional differences in stroke mortality and alcohol consumption in Japan. Stroke 1986; 17: 19–24.

    Article  CAS  PubMed  Google Scholar 

  26. Wakabayashi I, Kobaba-Wakabayashi R, Masuda H : Relation of drinking alcohol to atherosclerotic risk in type 2 diabetes. Diabetes Care 2002; 25: 1223–1228.

    Article  PubMed  Google Scholar 

  27. Kurihara T, Tomiyama H, Hashimoto H, Yamamoto Y, Yano E, Yamashina A : Excessive alcohol intake increases the risk of arterial stiffening in men with normal blood pressure. Hypertens Res 2004; 27: 669–673.

    Article  PubMed  Google Scholar 

  28. Corrao G, Rubbiati L, Bagnardi V, Zambon A, Poikolainen K : Alcohol and coronary heart disease: a meta-analysis. Addiction 2000; 95: 1505–1523.

    Article  CAS  PubMed  Google Scholar 

  29. Okamura T, Kadowaki T, Sekikawa A, et al: Alcohol consumption and coronary artery calcium in middle-aged Japanese men. Am J Cardiol 2006; 98: 141–144.

    Article  CAS  PubMed  Google Scholar 

  30. Elkind MS, Sciacca R, Boden-Albala B, Rundek T, Paik MC, Sacco RL : Moderate alcohol consumption reduces risk of ischemic stroke: the Northern Manhattan Study. Stroke 2006; 37: 13–19.

    Article  PubMed  Google Scholar 

  31. Okamura T, Tanaka T, Yoshita K, et al, HIPOP-OHP Research Group: Specific alcoholic beverage and blood pressure in a middle-aged Japanese population: the High-risk and Population Strategy for Occupational Health Promotion (HIPOP-OHP) Study. J Hum Hypertens 2004; 18: 9–16.

    Article  CAS  PubMed  Google Scholar 

  32. Choudhury SR, Okayama A, Kita Y, et al: The associations between alcohol drinking and dietary habits and blood pressure in Japanese men. J Hypertens 1995; 13: 587–593.

    Article  CAS  PubMed  Google Scholar 

  33. Japan Heart Foundation : The Fifth National Survey on Circulatory Disorders. Tokyo, Chuohoki Publishers, 2003, pp 111–190 ( in Japanese).

Download references

Author information

Author notes
  1. Koshi Nakamura, Tomonori Okamura, Takehito Hayakawa, Atsushi Hozawa, Takashi Kadowaki, Yoshitaka Murakami, Yoshikuni Kita, Akira Okayama, Hirotsugu Ueshima: Members of the Research Group are listed in the Appendix.

Authors and Affiliations

  1. Department of Health Science, Shiga University of Medical Science, Otsu, Japan

    Koshi Nakamura, Tomonori Okamura, Atsushi Hozawa, Takashi Kadowaki, Yoshitaka Murakami, Yoshikuni Kita & Hirotsugu Ueshima

  2. Department of Hygiene and Preventive Medicine, Fukushima Medical University, Fukushima, Japan

    Takehito Hayakawa

  3. The First Institute of Health Service, Japan Anti-Tuberculosis Association, Tokyo, Japan

    Akira Okayama

Authors
  1. Koshi Nakamura
    View author publications

    Search author on:PubMed Google Scholar

  2. Tomonori Okamura
    View author publications

    Search author on:PubMed Google Scholar

  3. Takehito Hayakawa
    View author publications

    Search author on:PubMed Google Scholar

  4. Atsushi Hozawa
    View author publications

    Search author on:PubMed Google Scholar

  5. Takashi Kadowaki
    View author publications

    Search author on:PubMed Google Scholar

  6. Yoshitaka Murakami
    View author publications

    Search author on:PubMed Google Scholar

  7. Yoshikuni Kita
    View author publications

    Search author on:PubMed Google Scholar

  8. Akira Okayama
    View author publications

    Search author on:PubMed Google Scholar

  9. Hirotsugu Ueshima
    View author publications

    Search author on:PubMed Google Scholar

Consortia

for the NIPPON DATA90 Research Group*

Corresponding author

Correspondence to Koshi Nakamura.

Rights and permissions

Reprints and permissions

About this article

Cite this article

Nakamura, K., Okamura, T., Hayakawa, T. et al. The Proportion of Individuals with Alcohol-Induced Hypertension among Total Hypertensives in a General Japanese Population: NIPPON DATA90. Hypertens Res 30, 663–668 (2007). https://doi.org/10.1291/hypres.30.663

Download citation

  • Received: 14 September 2006

  • Accepted: 15 March 2007

  • Issue date: 01 August 2007

  • DOI: https://doi.org/10.1291/hypres.30.663

Share this article

Anyone you share the following link with will be able to read this content:

Sorry, a shareable link is not currently available for this article.

Provided by the Springer Nature SharedIt content-sharing initiative

Keywords

  • alcohol drinking
  • hypertension
  • Japan

This article is cited by

  • Application of myocardial work in predicting adverse events among patients with resistant hypertension

    • Limin Luo
    • Yongshi Wang
    • Xianhong Shu

    Journal of Cardiothoracic Surgery (2023)

  • Obesity and hypertension from a public health perspective in a small remote island of Okinawa, Japan

    • Yumeno Fukumine
    • Koshi Nakamura

    Hypertension Research (2023)

  • Difference in the prevalence of hypertension and its risk factors depending on area-level deprivation in Japan

    • Tasuku Okui
    • Jinsang Park

    BMC Research Notes (2022)

  • Impact of lifestyle and psychosocial factors on the onset of hypertension after the Great East Japan earthquake: a 7-year follow-up of the Fukushima Health Management Survey

    • Eri Kobari
    • Kenichi Tanaka
    • Junichiro James Kazama

    Hypertension Research (2022)

  • Impacts of the urinary sodium-to-potassium ratio, sleep efficiency, and conventional risk factors on home hypertension in a general Japanese population

    • Takumi Hirata
    • Mana Kogure
    • Atsushi Hozawa

    Hypertension Research (2021)

Download PDF

Advertisement

Explore content

  • Research articles
  • Reviews & Analysis
  • News & Comment
  • Current issue
  • Collections
  • Sign up for alerts
  • RSS feed

About the journal

  • Journal Information
  • Open Access Fees and Funding
  • Guide to Authors
  • About the Editors
  • Message from Editors
  • Call for Paper
  • Contact
  • About the Partner
  • For Advertisers
  • Subscribe
  • Showcase of Graphical Abstracts on Hypertension Research

Publish with us

  • For Authors & Referees
  • Language editing services
  • Open access funding
  • Submit manuscript

Search

Advanced search

Quick links

  • Explore articles by subject
  • Find a job
  • Guide to authors
  • Editorial policies

Hypertension Research (Hypertens Res)

ISSN 1348-4214 (online)

ISSN 0916-9636 (print)

nature.com sitemap

About Nature Portfolio

  • About us
  • Press releases
  • Press office
  • Contact us

Discover content

  • Journals A-Z
  • Articles by subject
  • protocols.io
  • Nature Index

Publishing policies

  • Nature portfolio policies
  • Open access

Author & Researcher services

  • Reprints & permissions
  • Research data
  • Language editing
  • Scientific editing
  • Nature Masterclasses
  • Research Solutions

Libraries & institutions

  • Librarian service & tools
  • Librarian portal
  • Open research
  • Recommend to library

Advertising & partnerships

  • Advertising
  • Partnerships & Services
  • Media kits
  • Branded content

Professional development

  • Nature Awards
  • Nature Careers
  • Nature Conferences

Regional websites

  • Nature Africa
  • Nature China
  • Nature India
  • Nature Japan
  • Nature Middle East
  • Privacy Policy
  • Use of cookies
  • Legal notice
  • Accessibility statement
  • Terms & Conditions
  • Your US state privacy rights
Springer Nature

© 2025 Springer Nature Limited