Abstract
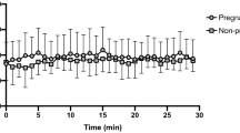
Summary: After the infusion of 500 ml 20% mannitol to 12 pregnant ewes, we studied fetal plasma osmolality responses in chronically catheterized fetal lambs at 129-140 days' gestation. To compare the effects of arginine vasotocin (AVT) alone and AVT plus cortisol on fetal/maternal water transfer, the mannitol infusion was repeated during a 2-h fetal infusion of AVT alone (7 μU/kg) and during infusion of AVT with cortisol (50 μg/h) (eight and six animals, respectively). The fetal osmolar response to maternal mannitol administration was compared to the response following the baseline mannitol study in the same sheep. In four of the ewes, an identical (sham) study was performed substituting 500 ml normal saline for the mannitol infusion to the ewe.
Fetal AVT infusion significantly obtunded the fetal osmolality increment induced by maternal mannitol alone [P < 0.001, analysis of variance (ANOVA)]. Fetal AVT administered concurrently with cortisol produced an increment in fetal plasma osmolality in response to maternal mannitol that was significantly enhanced compared with that during fetal AVT infusion alone (P < 0.001, ANOVA). The response to AVT with cortisol was similar to that following mannitol alone. Normal saline (sham protocol) produced no change in maternal or fetal osmolality. These results indicate that fetal AVT inhibits fetal to maternal water transfer following an osmotic stimulus to the ewe, while cortisol (infused with AVT) tends to counteract the inhibitory effect of AVT on fetal/maternal water transfer.
Similar content being viewed by others
Log in or create a free account to read this content
Gain free access to this article, as well as selected content from this journal and more on nature.com
or
Author information
Authors and Affiliations
Rights and permissions
About this article
Cite this article
Leake, R., Stegner, H., Palmer, S. et al. Cortisol Facilitates Ovine Fetal/Maternal Water Transfer. Pediatr Res 18, 631–633 (1984). https://doi.org/10.1203/00006450-198407000-00012
Issue date:
DOI: https://doi.org/10.1203/00006450-198407000-00012


