Abstract
Background:
Patients with heterotaxy syndrome, commonly associated with complex congenital heart disease (CHD), exhibit a higher risk of severe bacterial infection (SBI). We sought to define the change of a novel immunologic marker, the immunoglobulin M (IgM) memory B-cell percentage, and its association with SBI.
Methods:
We enrolled 46 (M/F 29/17) heterotaxy syndrome patients (42 right atrial isomerism (RAI) and 4 left atrial isomerism (LAI)) aged > 1 y during the period 2010–2012 in a tertiary care center. We analyzed IgM+CD27+ memory B-cell percentages. Patients with simple and complex CHD served as controls.
Results:
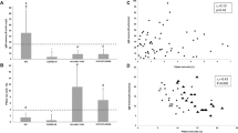
The mean IgM memory B-cell percentages were the lowest in the heterotaxy syndrome group, compared with those in complex and simple CHD groups (1.8 ± 2.1 vs. 3.9 ± 3.2 vs. 5.1 ± 4.7, P < 0.001). In the heterotaxy syndrome group, 41.3% had low IgM memory B-cell percentages (<1% of B cells). Seven had a history of community-acquired SBI and 85.7% of these had low IgM memory B-cell percentages, which was the only significant factors related to community-acquired SBI (P = 0.028).
Conclusion:
The memory B cell and IgM memory B-cell percentages are low in patients with heterotaxy syndrome, and the presence of IgM memory B-cell percentage < 1% correlates with community-acquired SBI.
Similar content being viewed by others
Log in or create a free account to read this content
Gain free access to this article, as well as selected content from this journal and more on nature.com
or
References
Lin JH, Chang CI, Wang JK, et al. Intrauterine diagnosis of heterotaxy syndrome. Am Heart J 2002;143:1002–8.
Yan YL, Tan KB, Yeo GS. Right atrial isomerism: preponderance in Asian fetuses. Using the stomach-distance ratio as a possible diagnostic tool for prediction of right atrial isomerism. Ann Acad Med Singapore 2008;37:906–12.
Chiu IS, How SW, Wang JK, et al. Clinical implications of atrial isomerism. Br Heart J 1988;60:72–7.
Taketazu M, Lougheed J, Yoo SJ, Lim JS, Hornberger LK. Spectrum of cardiovascular disease, accuracy of diagnosis, and outcome in fetal heterotaxy syndrome. Am J Cardiol 2006;97:720–4.
Wu MH, Wang JK, Lue HC. Sudden death in patients with right isomerism (asplenism) after palliation. J Pediatr 2002;140:93–6.
Chiu SN, Shao PL, Wang JK, et al. Severe bacterial infection in patients with heterotaxy syndrome. J Pediatr 2014;164:99–104.e1.
Ticho BS, Goldstein AM, Van Praagh R. Extracardiac anomalies in the heterotaxy syndromes with focus on anomalies of midline-associated structures. Am J Cardiol 2000;85:729–34.
Prendiville TW, Barton LL, Thompson WR, Fink DL, Holmes KW. Heterotaxy syndrome: defining contemporary disease trends. Pediatr Cardiol 2010;31:1052–8.
Park MK. Cyanotic congenital heart defect: heterotaxia (atrial isomerism, splenic syndromes). In: Park MK, ed. Pediatric Cardiology for Practitioners. 5th edn. St. Louis, MO: Mosby; 2008.
Wu MH, Wang JK, Lin JL, et al. Supraventricular tachycardia in patients with right atrial isomerism. J Am Coll Cardiol 1998;32:773–9.
William BM, Corazza GR. Hyposplenism: a comprehensive review. Part I: basic concepts and causes. Hematology 2007;12:1–13.
Evans DI. Postsplenectomy sepsis 10 years or more after operation. J Clin Pathol 1985;38:309–11.
Pearson HA, Johnston D, Smith KA, Touloukian RJ. The born-again spleen. Return of splenic function after splenectomy for trauma. N Engl J Med 1978;298:1389–92.
Weller S, Braun MC, Tan BK, et al. Human blood IgM “memory” B cells are circulating splenic marginal zone B cells harboring a prediversified immunoglobulin repertoire. Blood 2004;104:3647–54.
Kruetzmann S, Rosado MM, Weber H, et al. Human immunoglobulin M memory B cells controlling Streptococcus pneumoniae infections are generated in the spleen. J Exp Med 2003;197:939–45.
Di Sabatino A, Rosado MM, Ciccocioppo R, et al. Depletion of immunoglobulin M memory B cells is associated with splenic hypofunction in inflammatory bowel disease. Am J Gastroenterol 2005;100:1788–95.
Lipson RL, Bayrd ED, Watkins CH. The postsplenectomy blood picture. Am J Clin Pathol 1959;32:526–32.
Corazza GR, Ginaldi L, Zoli G, et al. Howell-Jolly body counting as a measure of splenic function. A reassessment. Clin Lab Haematol 1990;12:269–75.
Corazza GR, Bullen AW, Hall R, Robinson PJ, Losowsky MS. Simple method of assessing splenic function in coeliac disease. Clin Sci (Lond) 1981;60:109–13.
Wasserstrom H, Bussel J, Lim LC, Cunningham-Rundles C. Memory B cells and pneumococcal antibody after splenectomy. J Immunol 2008;181:3684–9.
William BM, Thawani N, Sae-Tia S, Corazza GR. Hyposplenism: a comprehensive review. Part II: clinical manifestations, diagnosis, and management. Hematology 2007;12:89–98.
Davies JM, Lewis MP, Wimperis J, Rafi I, Ladhani S, Bolton-Maggs PH ; British Committee for Standards in Haematology. Review of guidelines for the prevention and treatment of infection in patients with an absent or dysfunctional spleen: prepared on behalf of the British Committee for Standards in Haematology by a working party of the Haemato-Oncology task force. Br J Haematol 2011;155:308–17.
Spelman D, Buttery J, Daley A, et al.; Australasian Society for Infectious Diseases. Guidelines for the prevention of sepsis in asplenic and hyposplenic patients. Intern Med J 2008;38:349–56.
Butler C, Kinnersley P. Managing patients with an absent or dysfunctional spleen. Is there evidence to show that daily antibiotic treatment is best? BMJ 1996;312:1360–1.
Lambert HP. Managing patients with an absent or dysfunctional spleen. Guidelines do not discuss resistance to antibiotics among pneumococci. BMJ 1996;312:1361.
Hsieh YC, Huang YC, Lin HC, et al. Characterization of invasive isolates of Streptococcus pneumoniae among Taiwanese children. Clin Microbiol Infect 2009;15:991–6.
Pearson HA, Schiebler GL, Spencer RP. Functional hyposplenia in cyanotic congenital heart disease. Pediatrics 1971;48:277–80.
Chakrabarti S, Keeton BR, Salmon AP, Vettukattil JJ. Acquired combined immunodeficiency associated with protein losing enteropathy complicating Fontan operation. Heart 2003;89:1130–1.
Cheung YF, Tsang HY, Kwok JS. Immunologic profile of patients with protein-losing enteropathy complicating congenital heart disease. Pediatr Cardiol 2002;23:587–93.
Author information
Authors and Affiliations
Corresponding author
Rights and permissions
About this article
Cite this article
Chiu, SN., Shao, PL., Wang, JK. et al. Low immunoglobulin M memory B-cell percentage in patients with heterotaxy syndrome correlates with the risk of severe bacterial infection. Pediatr Res 79, 271–277 (2016). https://doi.org/10.1038/pr.2015.221
Received:
Accepted:
Published:
Issue date:
DOI: https://doi.org/10.1038/pr.2015.221
This article is cited by
-
A multi-disciplinary, comprehensive approach to management of children with heterotaxy
Orphanet Journal of Rare Diseases (2022)
-
Pneumococcal vaccination and efficacy in patients with heterotaxy syndrome
Pediatric Research (2017)


