Thank you for visiting nature.com. You are using a browser version with limited support for CSS. To obtain
the best experience, we recommend you use a more up to date browser (or turn off compatibility mode in
Internet Explorer). In the meantime, to ensure continued support, we are displaying the site without styles
and JavaScript.
The rational construction of hollow nanostructures is challenging owing to difficulties in elucidating formation pathways and observing intermediates. Here the authors probe the formation of the hollow Ag56 cluster and identify a catalyst-like self-releasing template formation mechanism.
Domino reactions can offer efficient synthetic access to complex products, but characterisation of unstable intermediates is often not possible. Here the photochemical domino cyclisation of tetrafluorostilbene is characterised by NMR and X-ray crystallography of each intermediate, and shown to terminate in an unusual double fluorine atom transfer reaction.
The mean rate concept breaks-down in real-world situations when the reactants are present in nanomolar concentrations. Here, the authors show the full distribution of reaction times, introduce the concepts of geometry and reaction-control, and quantify each regime by calculating the corresponding reaction depth.
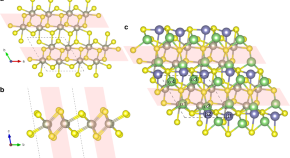
Molybdenum-based electrocatalysts are widely investigated as water splitting catalysts but they suffer from low efficiency due to surface oxidation. Here the authors report the synthesis of air-stable molybdenum nitride which displays enhanced hydrogen evolution activity.
The mechanism underlying synergistic interactions between metal nanoparticles and graphene is poorly understood but has implications for catalytic applications. Here, the authors describe an interface dipole layer catalytic mechanism induced by the interaction between graphene and nickel nanoparticles.
Generating and detecting neutral biomolecular beams is an important analytical challenge, particularly for high-mass peptides. Here, femtosecond laser desorption is shown to enable the intact volatilization of complex polypeptides that can still be photoionized at masses beyond 20 kDa, because they are tryptophan-rich.
Self-sorting is an attractive approach to produce complex supramolecular systems and materials with controlled structures. Here the authors show geometrical complementarity in the self-sorting behaviour of pentagonal and hexagonal pillararenes on heterogeneous surface through layer-by-layer deposition.
Stereo-inverted oligonucleic acids are promising tools for bioengineering but are limited by low availability of suitable monomers. Here the controlled interconversion of helical screw sense in peptide nucleic acid oligomers is achieved through strand displacement.
Homo Förster resonance energy transfer is a key process in natural photosynthesis, among other systems, but model systems for this process are complicated by emission from both donor and acceptor. Here desymmetrisation of identical chromophores within DNA allows quantitative study of the distance and orientation dependence of homo-FRET.
Transition metal-catalyzed cyclization of alkynes and carbonyls offers a useful route to cyclic allylic alcohols, but typically uses precious metal catalysts. Here, enantioselective nickel-catalyzed reductive cyclization of N-alkynones gives tertiary allylic alcohols in up to 99:1 er with catalyst loadings of 0.1 mol%
The lanthanide cubane is an interesting motif for the design of magnetic molecules but typically exhibits weak magnetic exchange between ions. Here the authors report the synthesis of lanthanide cubanes incorporating air-stable radical ligands, and subsequent enhancement of intramolecular magnetic coupling.
Carbonylative homologation reactions are typically catalysed by precious metal catalysts such as palladium and rhodium. Here, aryl iodides are reductively homologated using a nickel triflate catalyst and simple bipyridine ligand, using Mo(CO)6 as the carbonyl source and phenyl silane as the reductant.
Rechargeable sodium ion batteries are a promising alternative to lithium technologies, however there are fewer high-performing anode materials. Here, the authors prepare a cobalt-doped tin disulfide/reduced graphene oxide nanocomposite and demonstrate its enhanced sodium kinetics and improved rate performance.
Several rare earth carbides are superconducting at ambient pressure and low temperature. Here global structure searching predicts high-pressure metallic phases of yttrium dicarbide with phonon-mediated superconductivity and increased carbon network evolution from dimers to sheets with increasing pressure.
Surface functionalisation of living cells offers opportunities for synthetic biology and drug delivery. Here an artificial allylic deallylase is covalently bound to the cell surface of C. reinhardtii and shown to retain activity in situ.
Regioselective methods for the reversible formation and breakage of C-O-ether bonds under mild conditions are desired. Here, the authors present a biocatalytic shuttle concept using corrinoid-dependent methyl transferases for demethylating various phenyl methyl ethers and functionalizing substituted catechols.
Metal sulfide batteries suffer from low electrical conductivity which limits their application in sodium ion batteries. Here, the authors report a manganese sulfide anode in sodium ion batteries with capacity of 340 mAh g−1 maintained over more than 1000 cycles at a current density of 5.0 A g−1.
Calcium phosphate is an important biomineral and is thought to crystallise through non-classical pathways. Here, time-resolved liquid-phase transmission electron microscopy offers confirmatory evidence gained through continuous monitoring of mineralisation in solution.
Rhenium disulfide is a promising lithium ion battery material but its distorted structure makes computational modelling challenging. Here hardware-accelerator-assisted high-throughput DFT based structure searching is used to model the reversible lithiation of ReS2 including metal–sulphur bond cleavage.
Peptide nucleic acids (PNAs) can invade canonical nucleic acid dimers but may be limited to certain sequences or perform poorly under physiological conditions. Here PNAs containing Janus bases invade a range of RNA and DNA sequences via Watson-Crick base pairing under near-physiological conditions.