Skip to main content

Thank you for visiting nature.com. You are using a browser version with limited support for CSS. To obtain the best experience, we recommend you use a more up to date browser (or turn off compatibility mode in Internet Explorer). In the meantime, to ensure continued support, we are displaying the site without styles and JavaScript.

Technical Review in 2021

Filter By:

Article Type
Year
  • Topological insulators are unique materials giving rise to unconventional quantum phenomena. This Technical Review discusses how various physics effects can only be observed in devices carefully fabricated to address them, including topological superconductivity, quantum anomalous Hall states, spintronic functionalities and topological mesoscopic physics.

    • Oliver Breunig
    • Yoichi Ando
    Technical Review
  • Microwave impedance microscopy, a scanning probe technique that measures local conductivity and permittivity with minimal sample preparation, has become a mature tool with fundamental and practical applications. This Technical Review describes its working principles, applications and future opportunities.

    • Mark E. Barber
    • Eric Yue Ma
    • Zhi-Xun Shen
    Technical Review
  • The ability to image nanometre-scale magnetization and current density is key to deciphering the physics of correlated states hosted in 2D layered materials. This Technical Review analyses the magnetic imaging techniques most amenable to these systems, compares their capabilities and limitations, and discusses their potential impact.

    • Estefani Marchiori
    • Lorenzo Ceccarelli
    • Martino Poggio
    Technical Review
  • Quantum Hall systems represent an example of topological quantum matter, where quasiparticles with fractional statistics (anyons) may emerge. This Technical Review presents a survey of recent developments in quantum Hall interferometry.

    • Matteo Carrega
    • Luca Chirolli
    • Lucia Sorba
    Technical Review
  • Magnetic molecules have been widely proposed for different quantum technologies due to their bewildering quantum properties. This Review describes techniques of paramount importance for the characterization, understanding and, ultimately, manipulation of the electronic properties of these systems.

    • Eufemio Moreno-Pineda
    • Wolfgang Wernsdorfer
    Technical Review
  • Quantitative magnetic resonance imaging and in vivo histology go beyond standard magnetic resonance imaging, aiming at characterizing tissue microstructure of the living brain. This Technical Review discusses advances in concepts, instrumentation, biophysical models and validation approaches facilitating this rapidly developing field.

    • Nikolaus Weiskopf
    • Luke J. Edwards
    • Evgeniya Kirilina
    Technical Review
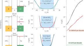
  • Over the last decade, ionic gate spectroscopy has developed into a powerful technique to measure gaps and band offsets of atomically thin semiconductors. Here, we provide a detailed overview of the technique, discussing results obtained on different 2D semiconducting materials.

    • Ignacio Gutiérrez-Lezama
    • Nicolas Ubrig
    • Alberto F. Morpurgo
    Technical Review
  • The interaction of light with matter probed with a scanning tunnelling microscope reveals dynamics at atomic space-time scales. This Review discusses experimental schemes by which light–matter interaction is explored, taking advantage of light coupled into or extracted from the tunnel junction.

    • Rico Gutzler
    • Manish Garg
    • Klaus Kern
    Technical Review
  • First-principles calculations have been very successful in predicting topological quantum materials. This Technical Review covers topological band theory and provides a guide to the study of topological materials with first-principles methods.

    • Jiewen Xiao
    • Binghai Yan
    Technical Review
  • Fourier ptychography is an imaging approach that addresses the intrinsic trade-off between resolution and field of view in optical systems and provides computational correction of optical aberrations. This Technical Review surveys its implementations and applications.

    • Guoan Zheng
    • Cheng Shen
    • Changhuei Yang
    Technical Review
  • Symmetry breaking plays a significant role in the determination of the fascinating physical phenomena and quantum phase transitions in 2D materials. This Review discusses the state-of-the-art physical and chemical approaches to engineer the symmetry breaking of 2D materials and their heterostructures.

    • Luojun Du
    • Tawfique Hasan
    • Zhipei Sun
    Technical Review

Search

Quick links