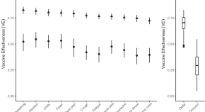
While antibodies neutralize HIV via Fab recognition of viral surface antigens, antibody Fc domains mediate effector functions, including antibody-dependent cellular phagocytosis (ADCP) and cytotoxicity (ADCC), and complement (C') activity. Here, Spencer et al. modify bNAb 10E8v4 to enhance C'-mediated potency in SHIV challenged rhesus macaques to probe its function in protection, showing that in the absence of neutralization, enhancing C' activities in vitro adds no value toward reducing viremia in either blood or tissue.
- David A. Spencer
- Benjamin S. Goldberg
- Ann J. Hessell