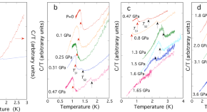
The recent discovery of superconductivity with an unusually high upper critical field in the heavy fermion system UTe2 has incited enormous interest in this material as one of the rare known spin-triplet superconductors with potentials for topological superconductivity and quantum computing. In this work, the authors report evidence for enhanced superconductivity and multiple superconducting phases in UTe2 under hydrostatic pressure, revealing a very rich phase landscape in this material.
- D. Braithwaite
- M. Vališka
- D. Aoki