Filter By:

Journal Check one or more journals to show results from those journals only.

Choose more journals

Article type Check one or more article types to show results from those article types only.
Subject Check one or more subjects to show results from those subjects only.
Date Choose a date option to show results from those dates only.

Custom date range

Clear all filters
Sort by:
Showing 1–3 of 3 results
Advanced filters: Author: Guan-Rong Chen Clear advanced filters
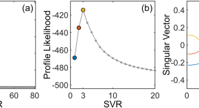
  • Gels, foams, and paints fall into a class of soft matter materials with widespread usage in modern technologies. This paper combines machine learning and spectral analysis techniques to develop a toolbox to model the complex interactions in this family of materials, which allows to quantitatively extract the system parameters from data.

    • Ming-Ching Chang
    • Chi-Huan Tung
    • Wei-Ren Chen
    ResearchOpen Access
    Communications Physics
    Volume: 5, P: 1-8