Filter By:

Journal Check one or more journals to show results from those journals only.

Choose more journals

Article type Check one or more article types to show results from those article types only.
Subject Check one or more subjects to show results from those subjects only.
Date Choose a date option to show results from those dates only.

Custom date range

Clear all filters
Sort by:
Showing 1–12 of 12 results
Advanced filters: Author: Mark Tuckerman Clear advanced filters
  • Machine learning allows electronic structure calculations to access larger system sizes and, in dynamical simulations, longer time scales. Here, the authors perform such a simulation using a machine-learned density functional that avoids direct solution of the Kohn-Sham equations.

    • Felix Brockherde
    • Leslie Vogt
    • Klaus-Robert Müller
    ResearchOpen Access
    Nature Communications
    Volume: 8, P: 1-10
  • High-level ab initio quantum chemical methods carry a high computational burden, thus limiting their applicability. Here, the authors employ machine learning to generate coupled-cluster energies and forces at chemical accuracy for geometry optimization and molecular dynamics from DFT densities.

    • Mihail Bogojeski
    • Leslie Vogt-Maranto
    • Kieron Burke
    ResearchOpen Access
    Nature Communications
    Volume: 11, P: 1-11
  • Proton transport in phosphate-based systems is important in biology and clean energy technologies, and phosphoric acid, being the best known intrinsic proton conductor, represents an important model. Ab initio molecular dynamics simulations now reveal that the interplay between extended, polarized, hydrogen-bonded chains and a frustrated hydrogen-bond network gives rise to the high conductivity in liquid phosphoric acid.

    • Linas Vilčiauskas
    • Mark E. Tuckerman
    • Klaus-Dieter Kreuer
    Research
    Nature Chemistry
    Volume: 4, P: 461-466
  • An adaptive and computationally efficient machine-learning-based biasing technique for rare-event sampling is introduced, allowing an effective generation of high-dimensional free energy surfaces associated with complex processes, such as protein folding.

    • Mark E. Tuckerman
    News & Views
    Nature Computational Science
    Volume: 2, P: 6-7
  • Tailoring the macroscopic properties of deep eutectic solvents requires knowing how these depend on the local structure and microscopic dynamics. The authors, with computational and experimental tools spanning a wide range of space- and timescales, shed light into the relationship between micro and macroscopic properties in glyceline and ethaline.

    • Stephanie Spittle
    • Derrick Poe
    • Joshua Sangoro
    ResearchOpen Access
    Nature Communications
    Volume: 13, P: 1-14
  • Density functional theory provides a formal map from the electron density to all observables of interest of a many-body system; however, maps for electronic excited states are unknown. Here, the authors demonstrate a data-driven machine learning approach for constructing multistate functionals.

    • Yuanming Bai
    • Leslie Vogt-Maranto
    • William J. Glover
    ResearchOpen Access
    Nature Communications
    Volume: 13, P: 1-10
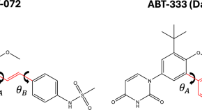
  • ABT-333 and ABT-072 are non-nucleoside NS5B polymerase inhibitors for hepatitis C, differing by a minor substituent change that impacts their drug development profiles. Here, the authors use advanced molecular simulations, including crystal structure prediction augmented with a new hydrate CSP algorithm and advanced MD simulations, to reveal how this change affects conformational preferences and interactions, highlighting the importance of physics-based modeling in drug design.

    • Richard S. Hong
    • Alessandra Mattei
    • Ahmad Y. Sheikh
    ResearchOpen Access
    Communications Chemistry
    Volume: 8, P: 1-11