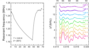
Skyrmions are topologically non-trivial, vortex-like magnetic structures the dynamics of which have been mostly studied in 2D systems, but they are also able to exist as 3D tube-like structures. Here, the authors report a combination of experimental and computational results investigating the annihilation dynamics of 3D skyrmion structures in order to better understand how to stabilise topological structures in other bulk magnetic systems.
- Max T. Birch
- David Cortés-Ortuño
- Peter D. Hatton