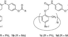
When O-(4-acyloxyanilinocarbonylmethyl)-4-tert-butylcalix[8]arene films were irradiated for 60 min with 254-nm UV light from a low-pressure mercury lamp, the calixarene derivative 1 underwent a highly selective photo-Fries rearrangement in the film state to yield the corresponding Fries-rearranged product 2 along with a minor amount of the fragmentation product 3. This photochemical rearrangement enhanced the refractive index of the films by as much as 0.015.
- Taichi Arai
- Hiroya Suda
- Tadamitsu Sakurai