Abstract
Mechanical degrees of freedom are natural candidates for continuous-variable quantum information processing and bosonic quantum simulations. However, these applications require the engineering of squeezing and nonlinearities in the quantum regime. Here we demonstrate squeezing below the zero-point fluctuations of a gigahertz-frequency mechanical resonator coupled to a superconducting qubit. This is achieved by parametrically driving the qubit, which results in an effective two-phonon drive. In addition, we show that the resonator mode inherits a nonlinearity from the off-resonant coupling with the qubit, which can be tuned by controlling the detuning. We, thus, realize a mechanical squeezed Kerr oscillator, in which we demonstrate the preparation of non-Gaussian quantum states of motion with Wigner function negativities and high quantum Fisher information. This shows that our results can also have applications in quantum metrology and sensing.
Similar content being viewed by others
Main
From the oscillation of a trapped particle to the vibration of a solid-state structure, mechanical modes are ubiquitous degrees of freedom that can exhibit sought-after properties such as high quality factors and large coupling rates to spins and electromagnetic fields. When operated in the quantum regime, mechanical modes are powerful building blocks for quantum technologies, with applications in information processing1,2,3, bosonic simulations4,5, memories6 and microwave-to-optical frequency conversion7,8. Moreover, their non-zero mass makes them particularly suited for sensing forces9,10,11, as well as for fundamental physics investigations, ranging from tests of the superposition principle12 to the detection of dark matter13 and quantum gravity effects14. To fully unlock these applications, however, it is necessary to have available a sophisticated toolbox for the preparation and manipulation of quantum states of motion, which is a non-trivial task.
In this context, mechanical resonators have recently attracted a lot of attention as new elements for hybrid quantum systems15,16. In particular, gigahertz-frequency resonators can be interfaced to superconducting qubits and thus controlled with the toolbox of circuit quantum acoustodynamics (cQAD). For example, resonant interaction with a qubit was used to demonstrate the preparation of mechanical Fock states17,18,19 and Schrödinger cat states20. Crucially, compared with their electromagnetic counterparts, mechanical resonators have small physical footprints and a high density of accessible long-lived modes, making them ideal candidates for hardware-efficient quantum processors2 and quantum random access memories6.
The realization of continuous-variable quantum computing and bosonic simulations relies on the availability of a universal gate set composed of phase shift, displacement, beamsplitter, single-mode squeezing and Kerr nonlinearity21,22,23,24. The first two are relatively simple to realize through free evolution and coherent driving. Beamsplitter operations have been recently demonstrated in cQAD between surface3 and bulk25 acoustic waves. For mechanical systems, quantum noise squeezing was pioneered in trapped ions26, and later demonstrated in drum oscillators using the tools of electromechanics27,28,29,30,31. In cQAD, a recent experiment demonstrated the two-mode squeezing of gigahertz-frequency surface acoustic waves through the modulation of one of the Bragg reflectors32. Nonlinear evolutions in the quantum regime are difficult to realize with standard opto- or electromechanical coupling, since this coupling is linear for small displacements. One possibility is to off-resonantly couple a mechanical oscillator to a two-level system, which gives rise to an effective nonlinearity for the phonon through a hybridization of modes. Recently, this was demonstrated in an experiment where the vibrational modes of a carbon nanotube were coupled to a quantum dot33. Despite all this progress, however, the demonstration of a full gate set for universal continuous-variable quantum information processing in a single cQAD device is still lacking.
In this work, we present squeezing below the zero-point fluctuations of a gigahertz-frequency phonon mode of a high-overtone bulk acoustic-wave resonator (HBAR) with tunable nonlinearity. The phonon mode is coupled to a superconducting qubit, which we use as a mixing element for implementing the effective squeezing drive: by applying two microwave tones to the qubit, we activate a parametric process that creates pairs of phonons in the resonator. Moreover, this coupling gives rise to an effective Kerr nonlinearity for the phonon mode, which we tune by changing the qubit–phonon detuning. To characterize our system, we study the dependence of the squeezing rate as well as the Kerr nonlinearity on different system parameters. Having demonstrated control over both these quantities, we combine them to realize a mechanical version of a squeezed Kerr oscillator, a paradigmatic model in quantum optics. By using the qubit to perform direct Wigner function measurements, we show that operating this system in different regimes results in the preparation of non-Gaussian states of motion with Wigner negativities and high quantum Fisher information (QFI).
The device used in this work is a cQAD system where a transmon qubit is flip-chip bonded to an HBAR, an improved version of the devices used in previous works19,34. The qubit has a frequency ωq = 2π × 5.042 GHz, which can be tuned via a Stark-shift drive34. At this frequency, the qubit has an energy relaxation time T1 = 17(0.4) μs, Ramsey decoherence time \({T}_{2}^{* }\) = 24(0.7) µs and anharmonicity α = 2π × 185 MHz. The HBAR is coupled to the qubit through a piezoelectric transducer made of aluminium nitride that mediates a Jaynes–Cummings interaction with a coupling strength g = 2π × 292 kHz. The phonon mode we consider in this work has a frequency ωa = 2π × 5.023 GHz, an energy relaxation time T1 = 132(4) μs and a Ramsey decoherence time \({T}_{2}^{* }\) = 210(9) µs.
Our system can be described by the Hamiltonian
where q and a are the bosonic annihilation operators for the qubit and phonon mode, respectively. The term \({H}_{{{{\rm{qd}}}}}/\hslash =\left({\varOmega }_{1}{{\rm{e}}}^{-{\rm{i}}{\omega }_{1}t}+\right.\) \(\left.{\varOmega }_{2}{{\rm{e}}}^{-{\rm{i}}{\omega }_{2}t}\right){q}^{{\dagger} }+\,{{\rm{h.c.}}}\,\) describes the two off-resonant microwave drives at frequencies ω1,2 and amplitude Ω1,2 applied to the qubit (Fig. 1a). We define the detunings Δ1,2 = ω1,2 − ωq and the dimensionless drive strengths ξ1,2 = Ω1,2/Δ1,2. In addition, we use a third, far-off-resonant drive at approximately 8.4 GHz to control the qubit frequency via the a.c. Stark shift.
a, Schematic of the spectrum used for parametric squeezing. The application of the two parametric drives (orange) results in an a.c. Stark shift of the qubit, which, in turn, changes the phonon frequency (dashed lines), thereby requiring a correction δ to ω2 to meet the squeezing condition. b, Pulse sequences used in the experiments. After applying the parametric drives to the system for time tS, we reset the qubit and implement either a measurement of the phonon mode population (for c) or a measurement of the Wigner function after wait time tw (for d–f). The time tw is zero, except for the measurement in f. c, Measurement of the qubit excited-state population after a swap operation with the phonon mode, for different δ values. The peak signals when excitations are created in the mechanical mode. The dashed grey line at δ = 2π × 80 kHz indicates the setting used for the measurements in d–f. d, Wigner functions of the phonon mode for tS of 0, 6 and 12 μs. e, Fock-state populations of the states shown in d, extracted from the maximum likelihood reconstructions. f, Decay of a squeezed state observed from the evolution of Vmin and Vmax measured for a variable wait time tw after state preparation. Continuous lines are fits to the data (see the main text), whereas the dashed horizontal line indicates the ground-state variance. Error bars on Vmin and Vmax are the 95% confidence intervals of the two-dimensional Gaussian fit.
When the resonance condition ω1 + ω2 = 2ωa is fulfilled, the qubit nonlinearity mediates a four-wave-mixing process that results in a two-phonon drive (a†2 + a2). In addition, the phonon mode also inherits a nonlinearity a†2a2 from the coupling to the qubit. The emergence of these squeezing and Kerr terms can be unveiled through a series of unitary transformations (Supplementary Information), and results in an effective Hamiltonian for the phonon mode that reads
Here \(\varDelta =({\omega }_{1}+{\omega }_{2}-2{\omega }_{a}^{{\prime} })/2\), where \({\omega }_{a}^{{\prime} }\approx {\omega }_{a}+\frac{{g}^{2}}{{\varDelta }_{a}}\) is the frequency of the phonon mode including a normal mode shift due to the presence of the qubit. \({\varDelta }_{a}={\omega }_{a}-{\omega }_{\rm{q}}^{\rm{ss}}\) is the detuning between the phonon mode and the a.c. Stark-shifted qubit. The squeezing rate ϵ (Supplementary Information) is given by refs. 35,36
where Σ21 = Δ1 + Δ2. Finally, K is the Kerr nonlinearity: \(K\approx {g}^{4}/{\varDelta }_{a}^{3}\) for α ≫ Δa ≫ g (Supplementary Information).
The Hamiltonian in equation (2) is a paradigmatic model in quantum optics, exhibiting a plethora of interesting phenomena such as chaotic dynamics37, quantum phase transitions38, tunnelling39 and parametric amplification40. Moreover, this model admits macroscopic superpositions as quantum ground states, which can be exploited for error-protected qubit encoding41,42,43. The latter application made squeezed Kerr oscillators particularly attractive for quantum information processing, which motivated their recent experimental implementation for electromagnetic modes in circuit quantum electrodynamics platforms44,45,46,47. Here we present the implementation for a mechanical mode, and use it to prepare squeezed and non-Gaussian quantum states of motion of a massive system.
First, let us investigate the squeezing dynamics for a large Δa = 2π × 1.5 MHz, such that \(K\propto {\varDelta }_{a}^{-3}\) is substantially smaller than \(\epsilon \propto {\varDelta }_{a}^{-1}\). When the parametric drives are applied, the qubit frequency is modified by the a.c. Stark shift, which then results in a change to the normal mode shift of the phonon mode (Fig. 1a). To ensure that the resonance condition for squeezing is satisfied, we correct for these shifts by performing the following calibration experiment (Fig. 1b): we apply the parametric drives for a time tS = 20.0 μs, including 0.5 μs Gaussian edges, with ∣Δ1,2∣ = 15 MHz and drive frequency ω2 = 2ωa − ω1 + δ. We then reset the qubit to its ground state by swapping the population acquired during the off-resonant driving to an ancillary phonon mode. Finally, we bring the qubit into resonance with the phonon mode we want to squeeze for time \(\uppi /(2\sqrt{2}g)\), thereby swapping part of the phonon population to the qubit, after which we measure the qubit state using a standard dispersive readout. Repeating this experiment for different δ yields the data shown in Fig. 1c, showing a peak at around δ ≈ 2π × 140 kHz that provides an indication of when the two-phonon drive becomes resonant.
To fully characterize the state resulting from the two-phonon drive and verify the coherence of this process, we set a desired δ and tS, and perform a Wigner function measurement of the phonon mode34. The results for δ = 2π × 80 kHz and tS = 0, 6 and 12 μs are shown in Fig. 1d. For tS = 0 μs, we obtain a measurement of the ground state, whereas for larger times, we observe a reduction in the quantum noise along one quadrature, that is, squeezing, as well as an increase in the perpendicular quadrature. Note that for the longest evolution time, we also see a distortion of the state, which is due to the residual phonon mode nonlinearity. As comprehensively shown later, this distortion limits the squeezing, and it depends on δ. Choosing δ = 2π × 80 kHz allowed us to observe the strongest squeezing, because of a partial compensation of nonlinearity K by detuning Δ ≈ g2/Δa − δ/2 (equation (2)).
Given phase-space quadratures X and P, we define the variance along direction θ as V(θ) = Var[Xcosθ + Psinθ]. For an ideal ground state VGS = V(θ) = 1/2; therefore, observing a smaller value implies quantum squeezing. Therefore, we define Vmin = minθV(θ) and Vmax = maxθV(θ) as the squeezed and antisqueezed quadratures. Fitting the Wigner function at tS = 6 μs with a two-dimensional Gaussian, we obtain Vmin = 0.252(6), which corresponds to a noise reduction of 3.0(1) dB below VGS. From this, and Vmax = 1.45(4), we estimate a thermal population of \(\sqrt{{V}_{\min }{V}_{\max }}-1/2=0.10(1)\), corresponding to a state purity of 83(1)% (Supplementary Information). For the chosen experimental parameters, numerical simulations indicate that tS ≈ 6 μs is the optimal time for the strongest squeezing, which is mostly limited by residual nonlinearity (Fig. 2a). In fact, longer evolution times result in non-Gaussian states, such as the one shown for tS = 12 μs, for which the above analysis is not reliable.
a, Example of a measured evolution of Vmin and Vmax; the main text shows the experimental parameters. The dashed and dotted lines are guides to the eye for the variances extracted by Gaussian fit (triangles) and state reconstruction (dots), respectively. These two methods agree for short times of tS ≲ 7 μs, where the state is close to Gaussian. We extract the squeezing rate ϵ by fitting the evolution of Vmin with a decaying exponential model (see the main text), indicated by the blue solid line. Errors on Vmin and Vmax are 95% confidence intervals of the two-dimensional Gaussian fit. b, Measured dependence of the squeezing rate as a function of drive powers, for Δa = 2π × 1.5 MHz. The black line is the prediction obtained from equation (3). The yellow points are obtained from a time-dependent simulation of the squeezing dynamics. The blue points are obtained from a Floquet simulation35. The dashed lines are guides to the eye. The error bars are one standard deviation error on the fit-squeezing rate parameter. c, Measured dependence of the squeezing rate as a function of the qubit–phonon detuning Δa, for ξ1ξ2 = 0.07. Points, lines and error bars are as that in b. In all the panels, ξ1 ≈ ξ2.
Alternatively, the maximum likelihood estimate allows us to reconstruct the corresponding density matrices from the measurements shown in Fig. 1d ref. 48, from which we calculate the associated covariance matrices. For tS = 6 μs, we obtain Vmin = 0.236(1), whereas for tS = 12 μs, we obtain Vmin = 0.268(3), which shows less squeezing due to nonlinear evolution. We then plot the diagonal elements of the density matrices (Fig. 1e), corresponding to the Fock-state populations of the phonon states. We observe high populations of even states, characteristic of a two-phonon drive. The black bars indicate a fit of the reconstructed populations to the closest ideal squeezed state.
To characterize the usefulness of the prepared squeezed states for applications such as quantum metrology, we measure their lifetime. For this, we prepare a squeezed state and wait for a variable time tw before performing the Wigner function measurement (Fig. 1b). The (anti)squeezing for different tw values is shown in Fig. 1f. As expected from the free evolution of a squeezed state in the presence of relaxation, we observe that its variances gradually return to those of the ground state (Supplementary Information). Fitting the squeezed variance measurements with \((1-{\rm{e}}^{-{\gamma }_{\rm{d}}t}(1-2{V}_{\min }))/2\), where Vmin is the variance at tw = 0, gives a decay time \({\gamma }_{\rm{d}}^{-1}\) = 78(11) µs. Although the decay time of Vmax of 125(12) μs is compatible with phonon T1, we attribute the lower decay time \({\gamma }_{\rm{d}}^{-1}\) of the minimum variance to the fact that the squeezed quadrature is more sensitive to dephasing than the antisqueezed quadrature.
We now investigate the dependence of the squeezing rate ϵ on the experimental parameters. We extract ϵ by measuring the evolution of Vmin as a function of the squeezing time tS. Concretely, ϵ is inferred from a fit of the squeezing measurements with the function Vmin(t) = (γ + 4ϵe–t(γ+4ϵ))/2(γ + 4ϵ), which describes the squeezing dynamics in the presence of decay at rate γ (Supplementary Information). Note that ϵ can be estimated from the evolution at short times tS ≪ 1/K, where the state is still Gaussian. For this reason, we obtain Vmin from a Gaussian fit, after having checked that for short times, it is consistent with the one obtained from state reconstruction. An example is shown in Fig. 2a, for δ = 2π × 80 kHz, Δa = 2π × 1.5 MHz, ξ1 = 0.28 and ξ2 = 0.26. Fitting of Vmin(t) gives us an effective decay time γ−1 = 12.8(11) μs and squeezing rate ϵ = 2π × 7.6(3) kHz. Note that this effective decay time is shorter than bare phonon T1, as these measurements are subject to Purcell decay via the qubit and to additional dephasing resulting from finite qubit population and parametric driving.
Repeating the measurement shown in Fig. 2a for different drive powers ξ1ξ2 and qubit–phonon detunings Δa, we obtain the rates shown in Fig. 2b,c. The precise value of these controllable parameters is extracted from independent measurements in the following way. We set the desired drive strengths ξ1,2, which we previously calibrated via their Stark shift on the qubit25. The detuning Δa is then set by changing the qubit frequency via the independent Stark-shift drive. In Fig. 2b,c, we compare the measured squeezing rate ϵ to the one predicted by equation (3). We see a disagreement that we attribute to the effects of higher order in ξ1ξ2, which are not included in equation (3). For this reason, we add a comparison with the rates expected from Floquet theory35 and from a time-domain simulation of our system Hamiltonian (equation (1)), which shows good agreement with the measurements. In the current experiment, the squeezing rate is limited by the finite power of the parametric drives.
After having characterized the squeezing rate, we proceed with investigating the nonlinearity K of the phonon mode. In Fig. 3a, we show a spectroscopic measurement taken by applying a 400 μs probe tone detuned by Δp = ωp − ωa from the phonon mode and then measuring the qubit population. When the probe tone is resonant with the phonon mode, it drives the phonon mode into a steady state, from which population leaks to the qubit, which results in our spectroscopic readout signal. This lets us infer the population of the phonon mode (Supplementary Information), which we denote on the second y axis (Fig. 3a). We observe an asymmetric resonance peak characteristic of a nonlinear Duffing oscillator. Fitting these data with the equation of motion of a classical driven Duffing oscillator49, we extract the nonlinearity of the mode (Supplementary Information). Repeating this analysis for different probe amplitudes and detunings Δa gives us the data shown in Fig. 3b. These are in good agreement with the predictions obtained from the numerical diagonalization of equation (1) without drives, as well as with the analytical expression \(K\approx {g}^{4}/{\varDelta }_{a}^{3}\) obtained from the fourth-order perturbation theory (Supplementary Information). This shows that we can tune the phonon nonlinearity by approximately one order of magnitude.
a, Phonon mode spectroscopy showing an asymmetric peak, characteristic of a nonlinear oscillator. The red dots show the measured qubit population when probing at different frequencies. From the measured qubit population, we infer the steady-state population of the phonon mode, which we fit to the solution of a classical driven Duffing oscillator to extract the mode anharmonicity (see the main text and Supplementary Information for details). The vertical grey line marks the fitted frequency of the oscillator. b, Phonon nonlinearity extracted using the method shown in a for different qubit–phonon detunings Δa and probe amplitudes (orange points), compared with the results obtained from the exact diagonalization of equation (1) without drives (blue dashed line) and to the analytical expression obtained from perturbation theory \({g}^{4}/{\varDelta }_{a}^{3}\) (black line; Supplementary Information provides details). The error bars are one standard deviation error on the fit nonlinearity parameter.
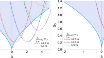
Having demonstrated control over the parameters of equation (2), we now show that different regimes of this Hamiltonian can be used to prepare non-Gaussian states. The dynamics of the system is fully determined by the two dimensionless parameters Δ/K and ϵ/K, where the former is controlled by the drive frequencies and the latter, by the drive amplitudes. This two-dimensional parameter space is divided into three different regions by two phase transitions at Δ = ±2ϵ (refs. 50,51,52). In a semiclassical description, these regions are associated with an effective single-, double- and triple-node potential in the frame rotating at half the driving frequency52,53 (Fig. 4a).
a, Parameter space of a squeezed Kerr oscillator. The three shaded regions correspond to an effective single-, double- and triple-node potential (from left to right) in the semiclassical picture. The four points indicate the parameters used for the measurements in b. b, Wigner functions measured at the points shown in a, for different squeezing times tS. c, Wigner functions obtained by simulating the effective Hamiltonian in equation (2) with ϵ = 2π × 11 kHz, K = 2π × 14 kHz and including a decay rate of (40 μs)−1. d, QFI for the states shown in b, computed from the maximum likelihood reconstruction of the density matrix. The black dashed line indicates the theoretical value achieved by coherent states, representing the classical limit. The dashed turquoise and magenta lines indicate the experimental values achieved by a Fock |1〉 state and by the largest cat state from another work20, respectively. The error bars are obtained by changing the Hilbert-space truncation by ±2 in the maximum likelihood state reconstruction algorithm, which we note to be the dominant error source (that is, bigger than the imperfect axes calibration or Wigner background fluctuations).
To prepare interesting mechanical states, we start with the phonon mode in the ground state, and then let it evolve according to the Hamiltonian in equation (2). We choose ξ1ξ2 = 0.07 and Δa = 2π × 0.53 MHz. This fixes ϵ/K, but leaves us control over Δ/K by changing the parametric drive correction δ. The Wigner functions measured at different values of tS (Fig. 1b) are shown in Fig. 4b. We note parameter regimes that result in states significantly deviating from the Gaussian states. Moreover, in some cases, regions with negative Wigner function appear, which are a direct indication of non-classicality54,55. The states we observe can be qualitatively understood from an evolution of the ground state in the semiclassical potential associated with the chosen parameter regime. From exact diagonalization, we obtain K = 2π × 14(1) kHz, whereas from a Gaussian fit of the states at tS = 3 μs, we estimate ϵ = 2π × 11(1) kHz. Figure 4c shows the numerical simulations of equation (2) with these parameters, which show good agreement with our measurements. For these simulations, we use a lower phonon lifetime of 40 μs, estimated by taking into account the Purcell decay via the qubit, and include a global rotation to take into account that the measurements shown in Fig. 4b are performed in the rotating frame of the qubit.
To have a pragmatic characterization of the states that we can prepare, we quantify their usefulness for a metrological protocol by means of the QFI. For a perturbation generated by the operator \(\hat{A}\), the QFI associated with state ρ is defined as \({F}_{{\rm{Q}}}[\,\rho ,A]=2{\sum }_{k,l}\frac{{({\lambda }_{k}-{\lambda }_{l})}^{2}}{({\lambda }_{k}+{\lambda }_{l})}| \left\langle k\right\vert A\left\vert l\right\rangle {| }^{2}\), where λk and |k〉 are the eigenvalues and eigenvectors of ρ, respectively, and the summation goes over all k, l such that λk + λl > 0. Taking the parameter estimation task to be the measurement of a displacement amplitude, we get A(θ) = Xsinθ + Pcosθ, where θ specifies the displacement direction. From this, we define \({F}_{{\rm{Q}}}^{\,\max }={\max }_{\theta }{F}_{{\rm{Q}}}[\,\rho ,A(\theta )]\), which gives the maximum sensitivity attainable by the state. Note that a coherent state has FQ[|α〉, A(θ)] = 2, meaning that if we consider coherent states as classical resources, then any \({F}_{{\rm{Q}}}^{\,\max } > 2\) implies non-classicality. We numerically estimate \({F}_{{\rm{Q}}}^{\,\max }\) by first reconstructing the density matrix of the state and then maximizing FQ[ρ, A(θ)] over θ. The results are shown in Fig. 4d, together with the values we obtain for a Fock |1〉 state and for the Schrödinger cat states from another work20. The Fisher information is computed for the time evolution of states at four different detunings. We observe that the states corresponding to point (iii) in Fig. 4a exhibit significantly larger values after 6 μs than previously measured states, whereas the states in the squeezed regime do not surpass them.
In conclusion, we have demonstrated squeezing below the zero-point fluctuations of a gigahertz-frequency phonon mode of an HBAR device with tunable nonlinearity. This allows us to prepare non-Gaussian states of motion characterized by a high QFI, which can find immediate application in quantum sensing with mechanical degrees of freedom56. Our results, in combination with the beamsplitter operation demonstrated in the same platform elsewhere25, complete the toolbox for universal continuous-variable quantum information processing and bosonic quantum simulation in HBARs. This opens up the possibility to use the large number of modes available in these devices for hardware-efficient quantum chemistry simulations5,36, as well as for nonlinear boson sampling57. Refining parametric processes with optimal control algorithms could also improve the operation speed and fidelity. In addition, the possibility of using our protocol to squeeze arbitrary states can be used in combination with the preparation of cat states20 for increasing their robustness to phonon losses58,59.
Data availability
Source data are provided with this paper. These data are also available via Zenodo at https://doi.org/10.5281/zenodo.10838493 (ref. 60). All other data that support the plots within this paper and other findings of this study are available from the corresponding author upon reasonable request.
Code availability
Analysis scripts for this paper are available via Zenodo at https://doi.org/10.5281/zenodo.10838493 (ref. 60).
References
Gustafsson, M. V. et al. Propagating phonons coupled to an artificial atom. Science 346, 207–211 (2014).
Chamberland, C. et al. Building a fault-tolerant quantum computer using concatenated cat codes. PRX Quantum 3, 010329 (2022).
Qiao, H. et al. Splitting phonons: building a platform for linear mechanical quantum computing. Science 380, 1030–1033 (2023).
Toyoda, K., Hiji, R., Noguchi, A. & Urabe, S. Hong–Ou–Mandel interference of two phonons in trapped ions. Nature 527, 74–77 (2015).
Chen, W. et al. Scalable and programmable phononic network with trapped ions. Nat. Phys. 19, 877–883 (2023).
Hann, C. T. et al. Hardware-efficient quantum random access memory with hybrid quantum acoustic systems. Phys. Rev. Lett. 123, 250501 (2019).
Mirhosseini, M., Sipahigil, A., Kalaee, M. & Painter, O. Superconducting qubit to optical photon transduction. Nature 588, 599–603 (2020).
Delaney, R. D. et al. Superconducting-qubit readout via low-backaction electro-optic transduction. Nature 606, 489–493 (2022).
Biercuk, M. J., Uys, H., Britton, J. W., VanDevender, A. P. & Bollinger, J. J. Ultrasensitive detection of force and displacement using trapped ions. Nat. Nanotechnol. 5, 646–650 (2010).
Schreppler, S. et al. Optically measuring force near the standard quantum limit. Science 344, 1486–1489 (2014).
Ivanov, P. A., Vitanov, N. V. & Singer, K. High-precision force sensing using a single trapped ion. Sci. Rep. 6, 28078 (2016).
Schrinski, B. et al. Macroscopic quantum test with bulk acoustic wave resonators. Phys. Rev. Lett. 130, 133604 (2023).
Carney, D. et al. Mechanical quantum sensing in the search for dark matter. Quantum Sci. Technol. 6, 024002 (2021).
Bonaldi, M. et al. Probing quantum gravity effects with quantum mechanical oscillators. Eur. Phys. J. D 74, 178 (2020).
Clerk, A. A., Lehnert, K. W., Bertet, P., Petta, J. R. & Nakamura, Y. Hybrid quantum systems with circuit quantum electrodynamics. Nat. Phys. 16, 257–267 (2020).
Chu, Y. & Gröblacher, S. A perspective on hybrid quantum opto- and electromechanical systems. Appl. Phys. Lett. 117, 150503 (2020).
Satzinger, K. J. et al. Quantum control of surface acoustic-wave phonons. Nature 563, 661–665 (2018).
Arrangoiz-Arriola, P. et al. Coupling a superconducting quantum circuit to a phononic crystal defect cavity. Phys. Rev. X 8, 031007 (2018).
Chu, Y. et al. Creation and control of multi-phonon Fock states in a bulk acoustic-wave resonator. Nature 563, 666–670 (2018).
Bild, M. et al. Schrödinger cat states of a 16-microgram mechanical oscillator. Science 380, 274–278 (2023).
Lloyd, S. & Braunstein, S. L. Quantum computation over continuous variables. Phys. Rev. Lett. 82, 1784 (1999).
Mari, A. & Eisert, J. Positive Wigner functions render classical simulation of quantum computation efficient. Phys. Rev. Lett. 109, 230503 (2012).
Braunstein, S. L. & van Loock, P. Quantum information with continuous variables. Rev. Mod. Phys. 77, 513 (2005).
Weedbrook, C. et al. Gaussian quantum information. Rev. Mod. Phys. 84, 621 (2012).
von Lüpke, U., Rodrigues, I. C., Yang, Y., Fadel, M. & Chu, Y. Engineering multimode interactions in circuit quantum acoustodynamics. Nat. Phys. 20, 564–570 (2024).
Meekhof, D. M., Monroe, C., King, B. E., Itano, W. M. & Wineland, D. J. Generation of nonclassical motional states of a trapped atom. Phys. Rev. Lett. 76, 1796 (1996).
Wollman, E. E. et al. Quantum squeezing of motion in a mechanical resonator. Science 349, 952–955 (2015).
Pirkkalainen, J.-M., Damskägg, E., Brandt, M., Massel, F. & Sillanpää, M. A. Squeezing of quantum noise of motion in a micromechanical resonator. Phys. Rev. Lett. 115, 243601 (2015).
Lecocq, F., Clark, J. B., Simmonds, R. W., Aumentado, J. & Teufel, J. D. Quantum nondemolition measurement of a nonclassical state of a massive object. Phys. Rev. X 5, 041037 (2015).
Delaney, R. D., Reed, A. P., Andrews, R. W. & Lehnert, K. W. Measurement of motion beyond the quantum limit by transient amplification. Phys. Rev. Lett. 123, 183603 (2019).
Youssefi, A., Kono, S., Chegnizadeh, M. & Kippenberg, T. J. A squeezed mechanical oscillator with millisecond quantum decoherence. Nat. Phys. 19, 1697–1702 (2023).
Andersson, G. et al. Squeezing and multimode entanglement of surface acoustic wave phonons. PRX Quantum 3, 010312 (2022).
Samanta, C. et al. Nonlinear nanomechanical resonators approaching the quantum ground state. Nat. Phys. 19, 1340–1344 (2023).
von Lüpke, U. et al. Parity measurement in the strong dispersive regime of circuit quantum acoustodynamics. Nat. Phys. 18, 794–799 (2022).
Zhang, Y. et al. Engineering bilinear mode coupling in circuit QED: theory and experiment. Phys. Rev. A 99, 012314 (2019).
Wang, C. S. et al. Efficient multiphoton sampling of molecular vibronic spectra on a superconducting bosonic processor. Phys. Rev. X 10, 021060 (2020).
Milburn, G. J. & Holmes, C. A. Quantum coherence and classical chaos in a pulsed parametric oscillator with a Kerr nonlinearity. Phys. Rev. A 44, 4704 (1991).
Chávez-Carlos, J. et al. Spectral kissing and its dynamical consequences in the squeeze-driven Kerr oscillator. npj Quantum Inf. 9, 76 (2023).
Wielinga, B. & Milburn, G. J. Quantum tunneling in a Kerr medium with parametric pumping. Phys. Rev. A 48, 2494 (1993).
Boutin, S. et al. Effect of higher-order nonlinearities on amplification and squeezing in Josephson parametric amplifiers. Phys. Rev. Appl. 8, 054030 (2017).
Cochrane, P. T., Milburn, G. J. & Munro, W. J. Macroscopically distinct quantum-superposition states as a bosonic code for amplitude damping. Phys. Rev. A 59, 2631 (1999).
Goto, H. Bifurcation-based adiabatic quantum computation with a nonlinear oscillator network. Sci. Rep. 6, 21686 (2016).
Puri, S., Boutin, S. & Blais, A. Engineering the quantum states of light in a Kerr-nonlinear resonator by two-photon driving. npj Quantum Inf. 3, 18 (2017).
Leghtas, Z. et al. Confining the state of light to a quantum manifold by engineered two-photon loss. Science 347, 853–857 (2015).
Grimm, A. et al. Stabilization and operation of a Kerr-cat qubit. Nature 584, 205–209 (2020).
Frattini, N. E. et al. The squeezed Kerr oscillator: spectral kissing and phase-flip robustness. Preprint at arXiv https://arxiv.org/abs/2209.03934 (2022).
Iyama, D. et al. Observation and manipulation of quantum interference in a superconducting Kerr parametric oscillator. Nat. Commun. 15, 86 (2024).
Chou, K. S. et al. Deterministic teleportation of a quantum gate between two logical qubits. Nature 561, 368–373 (2018).
Lifshitz, R. & Cross, M. C. Nonlinear dynamics of nanomechanical and micromechanical resonators. in Reviews of Nonlinear Dynamics and Complexity Ch. 1 (John Wiley & Sons, 2008).
Dykman, M. I., Maloney, C. M., Smelyanskiy, V. N. & Silverstein, M. Fluctuational phase-flip transitions in parametrically driven oscillators. Phys. Rev. E 57, 5202 (1998).
Wustmann, W. & Shumeiko, V. Parametric resonance in tunable superconducting cavities. Phys. Rev. B 87, 184501 (2013).
Venkatraman, J., Cortinas, R. G., Frattini, N. E., Xiao, X. & Devoret, M. H. A driven quantum superconducting circuit with multiple tunable degeneracies. Preprint at https://arxiv.org/abs/2211.04605 (2023).
Eichler, A. & Zilberberg, O. Classical and Quantum Parametric Phenomena (Oxford Univ. Press, 2023).
Kenfack, A. & Zyczkowski, K. Negativity of the Wigner function as an indicator of non-classicality. J. Opt. B: Quantum Semiclass. Opt. 6, 396 (2004).
Walschaers, M. Non-Gaussian quantum states and where to find them. PRX Quantum 2, 030204 (2021).
Guo, J., He, Q. & Fadel, M. Quantum metrology with a squeezed Kerr oscillator. Phys. Rev. A 109, 052604 (2024).
Spagnolo, N., Brod, D. J., Galvão, E. F. & Sciarrino, F. Non-linear boson sampling. npj Quantum Inf. 9, 3 (2023).
Le Jeannic, H., Cavaillès, A., Huang, K., Filip, R. & Laurat, J. Slowing quantum decoherence by squeezing in phase space. Phys. Rev. Lett. 120, 073603 (2018).
Pan, X. et al. Protecting the quantum interference of cat states by phase-space compression. Phys. Rev. X 13, 021004 (2023).
Marti, S., Fadel, M. & von Lüpke, U. Analysis code for ‘Quantum squeezing in a nonlinear mechanical oscillator’. Zenodo https://doi.org/10.5281/zenodo.10838493 (2024).
Acknowledgements
We thank A. Eichler, F. Adinolfi and H. Doeleman for useful discussions and feedback on the paper, and M. Drimmer for contributing to the device fabrication. Device fabrication was performed at the FIRST cleanroom of ETH Zürich and the BRNC cleanroom of IBM Zürich. We acknowledge support from the Swiss National Science Foundation under grant 200021_204073. M.F. was supported by the Swiss National Science Foundation Ambizione via grant no. 208886 and The Branco Weiss Fellowship—Society in Science, administered by ETH Zürich.
Funding
Open access funding provided by Swiss Federal Institute of Technology Zurich.
Author information
Authors and Affiliations
Contributions
U.v.L. and M.F. conceived the experiments. U.v.L., Y.Y., M.B. and A.O. fabricated the device. S.M., U.v.L., Y.Y. and M.F. wrote the experiment control sequences. S.M., U.v.L. and M.F. performed the measurements and analysed the data. S.M., U.v.L., O.J. and M.F. performed the numerical simulations of the experiments. U.v.L. and M.F. derived the theoretical models. Y.C. and M.F. supervised the work. S.M., U.v.L. and M.F. wrote the paper with feedback from all authors.
Corresponding author
Ethics declarations
Competing interests
The authors declare no competing interests.
Peer review
Peer review information
Nature Physics thanks Laure Mercier de Lépinay, and the other, anonymous, reviewer(s) for their contribution to the peer review of this work.
Additional information
Publisher’s note Springer Nature remains neutral with regard to jurisdictional claims in published maps and institutional affiliations.
Supplementary information
Supplementary Information
Supplementary Figs. 1–6, Table 1 and discussion.
Source data
Source Data Fig. 1
Data for Fig. 1.
Source Data Fig. 2
Data for Fig. 2.
Source Data Fig. 3
Data for Fig. 3.
Source Data Fig. 4
Data for Fig. 4.
Rights and permissions
Open Access This article is licensed under a Creative Commons Attribution 4.0 International License, which permits use, sharing, adaptation, distribution and reproduction in any medium or format, as long as you give appropriate credit to the original author(s) and the source, provide a link to the Creative Commons licence, and indicate if changes were made. The images or other third party material in this article are included in the article’s Creative Commons licence, unless indicated otherwise in a credit line to the material. If material is not included in the article’s Creative Commons licence and your intended use is not permitted by statutory regulation or exceeds the permitted use, you will need to obtain permission directly from the copyright holder. To view a copy of this licence, visit http://creativecommons.org/licenses/by/4.0/.
About this article
Cite this article
Marti, S., von Lüpke, U., Joshi, O. et al. Quantum squeezing in a nonlinear mechanical oscillator. Nat. Phys. 20, 1448–1453 (2024). https://doi.org/10.1038/s41567-024-02545-6
Received:
Accepted:
Published:
Version of record:
Issue date:
DOI: https://doi.org/10.1038/s41567-024-02545-6
This article is cited by
-
Exceptional-point-induced nonequilibrium entanglement dynamics in bosonic networks
npj Quantum Information (2025)
-
Generation of large amplitude phonon states in quantum acoustics
Nature Communications (2025)
-
Optomechanical control of long-lived bulk acoustic phonons in the quantum regime
Nature Physics (2025)
-
Exposing hidden periodic orbits in scanning force microscopy
Communications Physics (2025)
-
Coherent phonon flatband generated in GaAs/AlAs superlattices via layer-selective optical pumping
Nature Communications (2025)






