Abstract
This study aims to explore the impact of physical exercise on BrainRot behavior, as well as the mediating roles of Resilience and Ego depletion in the relationship between Physical exercise and BrainRot behavior. A total of 1091 adolescents from Sichuan and Hunan provinces completed self-report surveys on physical exercise, BrainRot behavior, resilience, and ego depletion. Descriptive analysis, correlation analysis, and mediation effect testing were conducted. After controlling for demographic variables, ego depletion was found to have an independent mediating effect between physical exercise and BrainRot behavior. Physical exercise was found to negatively predict ego depletion, which in turn significantly and positively predicted BrainRot behavior. The hypothesis that resilience played a mediating role between physical exercise and BrainRot behavior was not supported. Physical exercise significantly predicted resilience, but resilience did not significantly predict BrainRot behavior. Resilience and ego depletion exhibited a chained mediating effect between physical exercise and BrainRot behavior. Resilience could negatively predict ego depletion. Physical exercise could significantly predict BrainRot behavior. Moreover, during the analysis of the indirect effect, it was revealed that the negative predictive effect of physical exercise on BrainRot behavior remained significant. This study further investigates the multivariate mechanisms of influence between physical exercise and BrainRot behavior among adolescents.
Similar content being viewed by others
Introduction
With the rapid development of the Internet, people have entered the era of information technology1. While it has brought tremendous convenience to people’s work and life, it also has some drawbacks2. For instance, a considerable number of adolescents find it difficult to control their browsing time on prevalent short-video apps such as “Douyin”, “Kuaishou” and “Bilibili”3, and become addicted to them4, ultimately having a negative impact on their academic performance5. Recently, the Oxford English Dictionary has introduced the term “BrainRot”, which is employed to depict the deterioration of brain function and cognitive abilities among adolescents as a result of excessive viewing of worthless short videos. Moreover, during the viewing of short videos, the activities in certain regions of the brain, such as the default mode network (DMN) and the midbrain, are remarkably enhanced6. This phenomenon has been gradually revealed in recent neuroscience research. Some scholars have utilized functional magnetic resonance imaging (fMRI) techniques to monitor the evolving roles of task - based and resting - state fMRI in different environments7. The results indicate that, compared with the resting state, the activation levels of the default mode network (DMN) associated with self - referential thinking, memory retrieval, and mental simulation are significantly enhanced. In recent years, given the escalating global popularity, short video applications have emerged as a crucial research topic. Presently, the number of users in China has surpassed one billion8. According to the ‘5th National Survey Report on Internet Use among Minors’ (China Internet Network Information Center, 2023), the Internet penetration rate among minors increased from 93.7% in 2018 to 97.2% in 2022, indicating near-saturation levels. Meanwhile, the proportion of minor netizens who frequently watch short videos rose from 40.5 to 54.1%. Browsing short videos has already become an important avenue for us to obtain external information and culture in daily life. Numerous traditional Chinese cultural elements are also disseminated through short videos, enhancing public engagement9. However, it also gives rise to some new issues, among which the BrainRot behavior by adolescents is one2,10. Currently, research on the BrainRot behavior has increasingly drawn the attention of a vast number of scholars. The academic community generally holds that the BrainRot behavior means that the ease of use and entertainment features of short-video applications strengthen people’s propensity for overuse, making it difficult for them to restrain their impulses. This is mainly manifested by young people spending a substantial amount of time on these short-video apps2. According to existing research findings, BrainRot behavior brings about numerous negative impacts on adolescents2,11,12. For instance, addiction may lead to mental health problems13, a decline in academic and work performance, as well as poor interpersonal communication quality and other issues10. Many existing studies have explored the relationship between physical exercise, Internet addiction, short-video addiction, and excessive short-video use14. However, there are few studies specifically focused on the relatively new concept of “BrainRot”. Most studies mainly focus on the behavioral characteristics and direct consequences brought about by Internet addiction, short-video addiction, and excessive smartphone use15,16,17,18,19 . For example, in a cross - sectional study of Chinese college students (n = 950), it was found that physical exercise could significantly and negatively predict the Internet addiction of college students20. However, if no timely intervention measures are taken21, ultimately, Internet addiction will lead to problems such as a decline in their academic performance and low social skills. In contrast, the term “BrainRot” in this study emphasizes more on the degradation of cognitive functions, rather than just staying at the description of the behavioral level. In other words, short-video addiction is the behavioral antecedent of “BrainRot”, and “BrainRot” is its cognitive consequence. Therefore, this study aims to establish a chain-mediating model between adolescent physical exercise and “BrainRot” behavior to explore the relationship and influence mechanism between them.
Meanwhile, a substantial body of research has revealed that physical exercise confers a multitude of benefits22,23,24;. Most scholars concur that physical exercise, which is a form of physical activity aiming to enhance cardiopulmonary function and augment muscle strength, is carried out under planned, regular, and repetitive conditions25. According to existing research, active participation in physical exercise can not only strengthen the body but also enhance the self-control ability of adolescents, reducing the probability of BrainRot behavior. This, in turn, promotes and contributes to the mental health of adolescents and guides their healthy growth26. In a recent national investigation, 61.8% and 65.1% of junior and senior high school students in China used short videos, and 72.1% and 77.0% used social media, respectively27. Evidently, adolescents account for a significant proportion among current short-video users. Physical exercise, as a non-pharmacological and efficacious approach to breaking addictive behaviors, can serve as a crucial means for preventing and treating various forms of addiction28,29,30,31,32. Some scholars have also implemented action research to conduct sports intervention experiments on adolescents with Internet addiction. The results demonstrated that employing physical exercise as a means to intervene in adolescents’ Internet addiction yields remarkable effects33,34;. Aken together, this study formulates the first hypothesis (H1): Physical exercise exerts a significant predictive effect on BrainRot behavior among adolescents.
According to relevant research, physical exercise also exerts a positive influence on mental health, enabling a significant enhancement in an individual’s resilience35,36. Resilience40 refers to an individual’s capacity to maintain or swiftly recover to a healthy mental state when confronted with stress, challenges, or adversities. Regular participation in physical exercise can positively predict the resilience of adolescents41, as it facilitates the release of positive chemicals such as endorphins in the brain42, augments an individual’s self-efficacy43, ameliorates and mitigates emotional states like anxiety and depression15,36,37,38,39, thereby assisting individuals in better coping with the stress and challenges in life44. Based on existing research, individuals with higher resilience are more capable of managing their emotions and behaviors45, resisting temptations, maintaining focus and self-discipline, and thus can effectively control and alleviate the BrainRot behavior46. Conversely, individuals with lower resilience lack healthy mechanisms to cope with stress and boredom, making them more prone to relying on short videos to seek immediate gratification and escape from the current situation, resulting in BrainRot behavior47. To sum up, this study formulates the second hypothesis (H2), that resilience has a significant mediating role between physical exercise and BrainRot behavior.
Furthermore, relevant research has revealed that physical exercise can also augment an individual’s cognitive energy when they are experiencing a lack of personal energy and their cognitive resources are depleted by various life events, thereby reducing Ego depletion. Persisting in a task may temporarily impair one’s capacity to persevere in subsequent tasks. This occurrence is termed “ego depletion”48. The positive effects of physical exercise on ego depletion include helping individuals to recover their energy and reducing the feeling of ego depletion.According to existing research, it is known that physical exercise can negatively predict ego depletion39,49. The theory of ego depletion posits50, that after an individual engages in activities requiring self-control, their self-control resources will be temporarily diminished51, rendering them more likely to succumb to temptations. The rapid and stimulating content provided by short-video platforms can readily capture users’ attention and prompt them to spend copious amounts of time browsing. Thus, when individuals are in a state of ego depletion deficiency, they are more prone to become addicted to short videos, resulting in BrainRot behavior52. The instant gratification and addictive nature of short videos may further deplete an individual’s self-control resources, creating a vicious cycle. According to the behaviorist theory, individuals who receive rewards for certain behaviors are more likely to respond to those behaviors. For instance, individuals with low social adaptability are more prone to experiencing frustration and failure in reality. In contrast, those with negative emotions and dissatisfaction with life can temporarily escape from their troubles via mobile phones. They achieve a sense of pleasure and relaxation by engaging in online games, online socializing, and accessing videos and music through mobile networks. Precisely due to these reasons, their frequent use of mobile phones leads to mobile phone addiction53. Ego depletion, as a psychological state, can be intervened through physical exercise, subsequently reducing the BrainRot behavior. Specifically, when an individual engages in physical exercise, it can diminish and alleviate the state of ego depletion54, thereby curtailing the BrainRot behavior. In this context, ego depletion serves as an intermediary variable, linking physical exercise and the BrainRot behavior. Hence, this study formulates the third hypothesis (H3): Ego depletion plays a significant mediating role between physical exercise and the BrainRot behavior.
Individuals who engage in regular physical exercise typically possess higher levels of resilience41,55,56;;. Consequently, when they encounter ego depletion, those with stronger resilience are more capable of effectively managing their psychological resources. Even when confronted with consecutive tasks, they are likely to experience less ego depletion57, enabling them to recover from adversity more swiftly. This implies that, even if individuals undergo ego depletion, they have a greater propensity to rebound from such a state in a shorter period46. Furthermore, individuals with high resilience are likely to possess a greater variety of coping strategies. For instance, they can mitigate anxiety and depression45, modulate their emotions58, and seek social support. These strategies can assist them in recovering more rapidly after experiencing ego depletion, consequently reducing the BrainRot behavior. Integrating the above viewpoints, this study formulates the fourth hypothesis (H4): Resilience and ego depletion have a chain mediating effect between physical exercise and the BrainRot behavior.
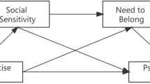
Scholars have investigated the impact of physical exercise on adolescents’ short-form video addiction, incorporating self-control and cumulative ecological risk as mediating moderators. The results revealed that physical exercise significantly negatively predicts short-form video addiction26. Furthermore, a cross-sectional study on college students’ short-form video usage behaviors demonstrated that physical exercise showed direct correlation with reduced nighttime video consumption, while exhibiting no significant effect on daytime usage59. Current research consistently identifies substantial associations between short-form video addiction and psychological factors, with physical exercise demonstrating capacity to enhance psychological resilience. In light of the preceding research, this study constructs an explanatory model regarding the impact of physical exercise on BrainRot behavior, employing resilience and ego depletion as significant mediating variables to offer an explanatory theory for the behavior of adolescents’ BrainRot behavior. This study can not only augment the relevant theories associated with BrainRot behavior but also uncover the influence mechanism of adolescents’ physical exercise on such excessive use, thereby providing theoretical support for resolving issues like BrainRot behavior among adolescents (see Fig. 1).
Methods
Participants
This study was conducted in November 2024. A total of 1,098 students were selected from 6 middle schools in Sichuan Province and 2 middle schools in Hunan Province, China, using the convenience sampling method. Through potential cooperative institutions, communication was conducted with the class teachers in advance, and 854 students from Chengdu, Sichuan Province and 237 students from Changsha, Hunan Province were selected respectively.
The study adopted the form of offline questionnaires, which were distributed through class groups. Before distributing the questionnaires, the survey content, data anonymization, confidentiality, and usage instructions of this study were clearly explained. Informed consent forms have been obtained from all participants and their guardians. During data collection, access to raw data was restricted to research team members directly involved in the study. These team members are bound by strict confidentiality agreements and are not allowed to disclose any information related to the participants. After the data collection is completed, the questionnaires are sealed and stored. Participants could generally complete the paper questionnaires within about 15 min. The collected data were screened. If two consecutive scales in a questionnaire selected the same answer, or the answers were incomplete, or the answers of the entire questionnaire showed regular patterns such as a wavy shape, the questionnaire would be regarded as invalid and removed. The final analysis sample of this study included 1,091 participants (gender: 533 boys and 558 girls; grade: 40 primary school students, 433 junior high school students, and 618 senior high school students; place of residence: 772 urban residents and 319 rural residents; only child or not: 238 only children and 853 non-only children; boarding or not: 355 boarders and 736 day students), with an average age of 14.77 years (SD = 1.58). The descriptive statistical results of the demographic variables are shown in detail in Table 1. The general process of this study is shown in Fig. 2.
Measurement tools
Physical exercise
In this study, the Physical Activity Rating Scale (PARS-3) developed by the psychologist Hashimoto Kimitake60, was adopted for the measurement of physical exercise. Subsequently, the Chinese version revised by Chinese scholars such as Liang Deqing et al., was utilized, which reflects the physical activity status of the subjects over the past month61. The questionnaire employed in this research consists of three items, aiming to evaluate the level of physical activity, encompassing exercise intensity, duration, and frequency. Each item was rated using a 5-point Likert scale. Specifically, the ratings for exercise intensity and exercise frequency ranged from 1 to 5, while the rating for duration ranged from 0 to 4. The total score of physical activity was calculated as the product of exercise intensity, duration, and exercise frequency. A higher score indicates a greater level of participation in physical activities among adolescents. In the current study, the Cronbach’s α value was 0.601.
BrainRot behavior
Regarding the measurement of BrainRot behavior, it was carried out by using a scale with short videos. Specifically, the short video use scale edited by Mao Zheng and Jiang Yongzhi et al., was mainly adopted, which can be utilized to evaluate the level of adolescents’ short video addiction62. This scale encompasses three dimensions and a total of 13 questions. The score range for each question is from 1 (strongly disagree) to 5 (strongly agree), and the total score ranges from 13 to 65. A higher total score indicates a greater degree of BrainRot behavior. In this study, the Cronbach’s α coefficient of this scale was 0.879.
Ego depletion
Ego depletion was gauged by means of a scale devised by Lin and Johnson63, which was grounded in the research conducted by Twenge et al.64. This particular scale consists of 5 items and utilizes a 5-point Likert scale, with scores ranging from 1 (strong disagreement) to 5 (strong agreement). The total score spans from 5 to 25. A higher score implies a more profound degree of ego depletion. In this sample, the Cronbach’s α was 0.901.
Resilience
The Connor-Davidson Resilience Scales (CD-RISC) was adopted to evaluate resilience65. It has been ascertained in prior investigations that the first and fifth items within the CD-RISC were also capable of effectively gauging resilience6667;. Additionally, in the research carried out by Waddimba et al., it was determined that the second and ninth items exhibited enhanced reliability in assessing resilience68. Hence, in line with the recommendation of Waddimba et al., this study utilized these two specific items to appraise the resilience of the sample under consideration. This scale consists of a total of 2 items and employs a 5-point scoring system, with scores ranging from 1 (never) to 5 (always), and the total score spanning from 2 to 10. A higher score signifies stronger resilience. In this sample, the Cronbach’s α was 0.610.
Data processing and analysis
After the data is retrieved, the invalid data should be eliminated first, then the valid data should be entered into an excel table, and subsequently imported into SPSS 26.0 for analysis. Common method bias tests and correlation analyses were conducted for these data. Then, the data were standardized and mediated model tests were carried out. Finally, Bootstrap robustness analysis was performed. In the process of conducting the mediating effect test analysis in this study, gender and age were controlled, and α < 0.05 was taken as the significance test level.
Results
Common method bias
To evaluate the impact of common method bias, we employed Harman’s single-factor test. The analysis results revealed that, without performing principal component factor rotation, there were three factors with eigenvalues greater than 1. The variance explained by the first factor (25.06%) fell below the 40% threshold. Consequently, this study did not exhibit significant common method bias.
Correlation analysis
As presented in Table 2, the results indicate that there exist significant negative correlations between physical exercise and both BrainRot behavior (r = -0.247, p < 0.001) and ego depletion (r = -0.204, p < 0.001), while a significant positive correlation is observed between physical exercise and resilience (r = 0.146, p < 0.001). BrainRot behavior demonstrates a significant negative correlation with resilience (r = -0.144, p < 0.001) and a significant positive correlation with ego depletion (r = 0.507, p < 0.001). Moreover, a significant negative correlation is also found between resilience and ego depletion (r = -0.198, p < 0.001).
Mediating model test
After controlling for demographic variables such as gender and age, physical exercise was found to significantly and negatively predict BrainRot behavior (β = -0.143, SE = 0.030, p < 0.001). Furthermore, during the indirect effect analysis, it was revealed that the negative predictive effect of physical exercise on BrainRot behavior remained significant (β= -0.103, SE = 0.028, p < 0.001). Meanwhile, physical exercise could positively predict resilience (β = 0.091, SE = 0.032, p < 0.01) and negatively predict ego depletion (β = -0.075, SE = 0.030, p < 0.05). In addition, resilience could also significantly and negatively predict ego depletion (β= -0.146, SE = 0.028, p < 0.001), yet its prediction on BrainRot behavior was not significant (β = -0.025, SE = 0.026, p > 0.05). Ego depletion could significantly and positively predict BrainRot behavior (β = 0.427, SE = 0.028, p < 0.001). For detailed information regarding the mediating effect analysis between physical exercise and BrainRot behavior, please refer to Table 3; Fig. 2.
Analysis of mediating effects
This study employed path - analysis to test a chain - mediation model, and here we mainly interpret the following three paths. Among the specific mediating paths, the path “Physical exercise → Resilience → BrainRot behavior” (Effect size = − 0.002, SE = 0.003, Bootstrap 95% CI = [− 0.009, 0.004]) had a non - significant mediating effect, while the paths “Physical exercise → Ego depletion → BrainRot behavior” (Effect size = − 0.032, SE = 0.015, Bootstrap 95% CI = [− 0.061, − 0.003], mediating effect proportion = 22.377%) and “Physical exercise → Resilience → Ego depletion → BrainRot behavior” (Effect size = − 0.006, SE = 0.003, Bootstrap 95% CI = [− 0.011, − 0.001], mediating effect proportion = 4.195%) had significant mediating effects. For detailed information, please refer to Table 4.
Discussion
This study uncovers the influence mechanism of physical exercise on BrainRot behavior and further explores the mediating roles of resilience and ego depletion therein. The results indicate that physical exercise significantly and negatively predicts BrainRot behavior, suggesting that increasing physical exercise can mitigate an individual’s excessive reliance on short videos. Meanwhile, physical exercise positively predicts resilience and negatively predicts ego depletion. Moreover, resilience and ego depletion respectively exert different predictive effects on BrainRot behavior. Specifically, resilience negatively predicts ego depletion, yet its predictive effect on BrainRot behavior is not significant, in contrast, ego depletion significantly and positively predicts BrainRot behavior. These findings provide novel insights and empirical evidence that physical exercise mitigates BrainRot behavior through its impact on psychological states.
Interpretation of research results
This study has revealed that physical exercise demonstrates a significant negative predictive effect on BrainRot behavior, and this finding has been validated in previous research69. The root cause lies in the positive influences that physical exercise imposes on individuals’ mental health and self-control capabilities29. It is capable of enhancing individuals’ cognitive functions and emotion regulation abilities70, consequently bolstering their self-control regarding short-video content and diminishing the probability of overuse71,72,73. Furthermore, physical exercise, as an active behavioral activity, can serve as an alternative pastime to short videos. It enables individuals to attain a sense of satisfaction and achievement during the exercise process74, thereby diminishing their reliance on short videos. Additionally, physical exercise is capable of strengthening individuals’ social interactions, alleviating feelings of loneliness and boredom75, which are psychological triggers for BrainRot behavior76. Consequently, regular participation in physical exercise, as a healthy lifestyle habit, can reduce BrainRot behavior through multiple channels. Based on the above evidence, it is demonstrated that physical exercise can negatively predict BrainRot behavior among adolescents, confirming the research hypothesis (H1).
The mediating role of resilience between physical exercise and BrainRot behavior elucidates the mechanism through which physical exercise impacts the BrainRot behavior. Abundant research in the academic field has already demonstrated the positive predictive effect of physical exercise on resilience77,78,79. As an ability to cope with stress and challenges, resilience enables individuals to maintain better self-control when confronted with the allure of short videos. Individuals with higher resilience are more proficient in managing their emotions and behaviors80, thereby curtailing their BrainRot behavior. Nevertheless, this study has found that the direct predictive effect of resilience on BrainRot behavior is not significant. One potential explanation is that the resilience scale, comprising limited items, may lack specificity to addictive behaviors or tendencies. In this study, resilience was able to significantly and negatively predict ego depletion, which indicates that resilience mainly exerts its influence through other mediating variables such as ego depletion. It also suggests that resilience may play a more prominent role in an individual’s internal psychological processes81, rather than directly controlling behavior. Based on this, the research hypothesis (H2) in this study, which posited that resilience has a significant mediating role between physical exercise and BrainRot behavior, was not validated.
Furthermore, this study also discovered that ego depletion could be negatively predicted by physical exercise. The underlying reason is that through physical exercise, adolescents can better maintain concentration and enhance their self-management abilities, reducing the feeling of self-fatigue82. As a mediating variable between physical exercise and BrainRot behavior, the significant positive predictive effect of ego depletion on BrainRot behavior indicates that as ego depletion increases, an individual’s tendency to overuse short videos also rises83. It is because ego depletion occurs when an individual’s self-control resources are temporarily depleted after exerting self-control, leading to a decline in self-control ability when facing temptations51, and consequently resulting in BrainRot behavior. Individuals can reduce ego depletion through physical exercise8485;, thereby decreasing the BrainRot behavior. This is consistent with the view of limited self-control in the ego depletion theory50, as individuals with sufficient self-control resources can more effectively resist the allure of short videos. To sum up, the research hypothesis (H3) in this study, which posited that ego depletion serves as a mediating variable between physical exercise and BrainRot behavior, has been verified.
Resilience and ego depletion exhibited significant negative predictive effects in this study. Their interplay between physical exercise and BrainRot behavior uncovers how individuals manage self-control resources through resilience. As a positive psychological resource, resilience can assist individuals in strengthening their self-control86. Among them, the Resilience Factor (RF) represents a psychological resource that buffers the potential negative impacts of stress on mental health and enables rapid recovery during stressor exposure87. Therefore, when individuals maintain a positive attitude in the face of challenges, the occurrence of ego depletion can be reduced, consequently diminishing the BrainRot behavior. Conversely, ego depletion, as a negative psychological resource, its reduction further mitigates the risk of BrainRot behavior. This interaction reveals that physical exercise not only directly impacts individuals’ resilience41, but also influences their BrainRot behavior behavior by decreasing ego depletion. Therefore, the fourth research hypothesis (H4) in this study, which posited that resilience and ego depletion have a chain mediating effect between physical exercise and BrainRot behavior, has been validated.
Significance and implications of the research
The results of this study hold certain warning implications for families, schools and even society at large. Physical exercise, as a widely recommended positive lifestyle88, exhibits intervention effects on BrainRot behavior that are applicable to a broad range of populations. Resilience and ego depletion, as psychological factors influencing BrainRot behavior, are prevalent across different cultural and age groups. These findings are of great significance for devising intervention measures against BrainRot behavior, particularly among adolescent and adult populations. Moreover, the research results also emphasize the potential value of physical exercise in promoting mental health41,89,90, and reducing ego depletion. Physical exercise not only promotes adolescents’ learning in terms of interpersonal relationships and skills91,92, but also contributes to the development of the brain, including its organic structure and the default mode network93,94,95,96,97, and subsequently ameliorates the so-called “BrianRot behavior” among adolescents.
These research results hold special significance for Chinese adolescents. They emphasize the necessity of integrating physical exercise into daily life98,99. The reasons are two - fold: the increasing use of short - form videos and the limited time for physical activities due to academic pressure. Understanding the roles of resilience and ego - depletion can help reduce the likelihood of them developing BrainRot behavior. Compared with the data of Westerners using their leisure time for physical activities100, our sample shows that only a small number of people exercise regularly. This indicates that there are cultural barriers in translating health awareness into behavior. Such differences highlight the urgency of formulating intervention programs that are adaptable to the cultural background. Overall, the negative prediction of physical exercise on BrainRot behavior and the mediating roles of resilience and ego - depletion provide multi - faceted perspectives. Therefore, the discoveries of this study can offer guidance to subsequent researchers and relevant educators, assisting them in designing and implementing effective intervention measures to mitigate the phenomenon of BrainRot behavior.
Although this study examined the relationship between physical exercise and adolescents’ BrainRot behavior through the lens of resilience and ego depletion, several additional factors warrant attention. First, external environmental influences—including family and school climate, social support systems, interpersonal relationships, and developmental experiences—play a critical role in adolescents’ mental health17,101,102,103,104,105,106,107,108,109 . A nurturing environment fosters psychological well-being, whereas adverse conditions (e.g., emotional distress) may increase vulnerability to technology addiction110,111,112, including BrainRot behavior. Second, intrinsic factors and behavioral tendencies, such as emotion-regulation strategies, personality traits, and engagement in positive physical activities, significantly modulate these relationships113,114. Effective self-regulation and proactive lifestyles can mitigate the impact of negative experiences, while poor regulatory capacity may exacerbate the link between psychological distress and maladaptive behaviors. To address these issues, schools and families should implement targeted interventions for at-risk adolescents, fostering supportive relationships, promoting physical activity, and strengthening adaptive coping skills. Such efforts could create a protective environment to reduce adolescents’ susceptibility to BrainRot behavior.
Limitations of the research
This study comprehensively considered the relationships among physical exercise, resilience, ego depletion, and BrainRot behavior, and employed the method of controlling demographic variables for exploration, reflecting the rigor of this research. However, there are also some limitations in this study. Firstly, the sample size was not extensive enough, which restricted the universal applicability of the results. Secondly, the resilience scale contained relatively few items, indirectly leading to an insignificant correlation between it and BrainRot behavior. Finally, this study mainly relied on cross-sectional data, presenting certain limitations in explaining the causal relationships among variables.
Conclusion
This study has revealed a significant negative predictive relationship between physical exercise and BrainRot behavior among adolescents, with resilience and ego depletion acting as mediating factors in this relationship. The implications of these findings are multifaceted.
Theoretical significance
From a theoretical perspective, this research enriches the existing literature on the relationship between physical activity, psychological factors and BrainRot behavior in adolescents. It provides a more in - depth understanding of the underlying mechanisms through the chain mediation model, and enriches the development of theories related to physical exercise and BrainRot behavior.
Practical significance
In practical terms, the results offer valuable guidance for families, schools, and society. For families, they can be more aware of the importance of encouraging their adolescent children to engage in regular physical exercise. This can not only promote physical health but also reduce the occurrence of BrainRot behavior. Schools should focus on cultivating students’ regular exercise habits. This can not only alleviate problems such as anxiety and inattentiveness caused by the “BrainRot” behavior resulting from adolescents’ short-video addiction but also create a favorable growth environment and promote the comprehensive and healthy development of adolescents.
Future research directions
Regarding the limitations of this study, in future studies, a longitudinal design can be adopted to further explore the causal relationships among these variables. Additionally, we should fully consider the practicality of measurement tools and conduct research on a broader sample.
Data availability
The datasets generated and/or analysed during the current study are not publicly available due [our experimental team’s policy] but are available from the corresponding author on reasonable request.
References
Pan, M. et al. Internet development and carbon emission-reduction in the era of digitalization: Where will resource-based cities go?? Resour. Policy. 81, 103345 (2023).
Zhang, N., Hazarika, B., Chen, K. & Shi, Y. A. Cross-National study on the excessive use of Short-Video applications among college students. Comput. Hum. Behav. 145, 107752 (2023).
Zhang, Q., Wang, Y. & Ariffin, S. K. Keep scrolling: An investigation of short video users’ continuous watching behavior. Inf. Manage. 61, 104014 (2024).
Yang, H., Zhang, S., Diao, Z. & Sun, D. What motivates users to continue using current short video applications?? A Dual-Path examination of flow experience and cognitive Lock-in. Telemat Inf. 85, 102050 (2023).
Xu, Z., Gao, X., Wei, J., Liu, H. & Zhang, Y. Adolescent user behaviors on short video application, cognitive functioning and academic performance. Comput. Educ. 203, 104865 (2023).
Su, C. et al. Viewing personalized video clips recommended by TikTok activates default mode network and ventral tegmental area. Neuroimage 237, 118136 (2021).
Leskinen, S. et al. Applications of functional magnetic resonance imaging to the study of functional connectivity and activation in neurological disease: A scoping review of the literature. World Neurosurg. 189, 185–192 (2024).
Yuan, Y., Wang, Q. & Characteristics Hotspots, and Prospects of Short Video Research: A Review of Papers Published in China From 2012 to 2022. Heliyon. 10, e24885 (2024).
Zhao, H. Research on short videos to enhance the influence of international communication of traditional Chinese culture. Int. Commun. Chin. Cult. 9, 45–56 (2022).
Zhang, X., Wu, Y. & Liu, S. Exploring Short-Form video application addiction: Socio-Technical and attachment perspectives. Telemat Inf. 42, 101243 (2019).
Ye, J., Wu, Y., Wu, Y., Chen, M. & Ye, J. Effects of short video addiction on the motivation and Well-Being of Chinese vocational college students. Front. Public. Health 10, (2022).
Zhu, C., Jiang, Y., Lei, H., Wang, H. & Zhang, C. The relationship between Short-Form video use and depression among Chinese adolescents: examining the mediating roles of need gratification and Short-Form video addiction. Heliyon 10, e30346 (2024).
Zhang, D., Yang, Y. & Guan, M. A. Cross-Lagged analysis of the relationship between short video overuse behavior and depression among college students. Front. Psychol. 15, (2024).
Cai, P. et al. Physical exercise/sports ameliorate the internet addiction from college students during the pandemic of COVID-19 in China. Front. Public. Health. 11, 1310213 (2023).
Liu, Y, Duan, L, Shen, Q. et al. The mediating effect of internet addiction and the moderating effect of physical activity on the relationship between alexithymia and depression. Sci Rep. 14(1), 9781 (2024).
Wang, J, Wang, N, Liu, P, Liu, Y. Social network site addiction, sleep quality, depression and adolescent difficulty describing feelings: a moderated mediation model. BMC Psychol. 13(1), 57 (2025).
Liu, Y, Wang, P, Duan, L, Shen, Q, Xu, L, Zhang, T. The mediating effect of social network sites addiction on the relationship between childhood psychological abuse and depression in college students and the moderating effect of psychological flexibility. Psychol Psychother. 98(2), 534–548 (2025).
Peng, J, Wang, J, Chen, J, et al. Mobile phone addiction was the mediator and physical activity was the moderator between bullying victimization and sleep quality. BMC Public Health. 25(1), 1577 (2025).
Shen, Q, Wang, H, Liu, M, et al. The impact of childhood emotional maltreatment on adolescent insomnia: a chained mediation model. BMC Psychol. 13(1), 506 (2025).
Zhihao, D., Tao, W., Yingjie, S. & Feng, Z. The influence of physical activity on internet addiction among Chinese college students: The mediating role of Self-Esteem and the moderating role of gender. BMC Public. Health. 24, 935 (2024).
Zhou, Z. et al. Effectiveness of sports intervention: A Meta-Analysis of the effects of different interventions on adolescent internet addiction. J. Affect. Disord. 365, 644–658 (2024).
Warburton, D. E. R. & Bredin, S. S. D. Health benefits of physical activity: A Strengths-Based approach. J. Clin. Med. 8, 2044 (2019).
Nystoriak, M. A. & Bhatnagar, A. Cardiovascular effects and benefits of exercise. Front. Cardiovasc. Med. 5, (2018).
Shen Q, Wang S, Liu Y, Wang Z, Bai C, Zhang T. The chain mediating effect of psychological inflexibility and stress between physical exercise and adolescent insomnia. Sci Rep. 14(1), 24348 (2024).
Ji Liu, W. Xiao Zan. Physical Exercise and Mental Health (Journal of East China Normal University, 2006).
Jianfeng, H., Xian, Z. & Zexiu, A. Effects of Physical Exercise On Adolescent Short Video Addiction: A Moderated Mediation Model. Heliyon. 10, e29466 (2024).
Liu, M., Zhuang, A., Norvilitis, J. M. & Xiao, T. Usage patterns of short videos and social media among adolescents and psychological health: A latent profile analysis. Comput. Hum. Behav. 151, 108007 (2024).
Su Xuan, Y. & Song Xiang Qin. The influence of physical exercise on short video addiction among teenagers and suggestions. Psychol. Month. 19, 215–217 (2024).
Liu, Y., Xiao, T., Zhang, W., Xu, L. & Zhang, T. The relationship between physical activity and internet addiction among adolescents in Western China: A chain mediating model of anxiety and inhibitory control. Psychol. Health Med. 29, 1–17 (2024).
Liu, Y, Tan, D, Wang, P, Xiao, T, Wang, X, Zhang, T. Physical activity moderated the mediating effect of self-control between bullying victimization and mobile phone addiction among college students. Sci Rep. 14(1), 20855 (2024).
Liu, Y, Jin, Y, Chen, J, et al. Anxiety, inhibitory control, physical activity, and internet addiction in Chinese adolescents: a moderated mediation model. BMC Pediatr. 24(1), 663 (2024).
Xiao, T, Pan, M, Xiao, X, Liu, Y: The relationship between physical activity and sleep disorders in adolescents: a chain-mediated model of anxiety and mobile phone dependence. BMC PSYCHOL 12(1), 751 (2024).
Yan, Y., Qin, X., Liu, L., Zhang, W. & Li, B. Effects of exercise interventions on internet addiction among college students: A systematic review and Meta-Analysis of randomized controlled trials. Addict. Behav. 160, 108159 (2025).
Hai, L. Y., Yujin, D. & Lian Yong, S. U. Action research on sports intervention of internet addiction youth. Sports Sci. 31, 9–13 (2010).
Belcher, B. R. et al. The roles of physical activity, exercise, and fitness in promoting resilience during adolescence: effects on mental Well-Being and brain development. Biol. Psychiatry: Cogn. Neurosci. Neuroimaging. 6, 225–237 (2021).
Mikkelsen, K., Stojanovska, L., Polenakovic, M., Bosevski, M. & Apostolopoulos, V. Exerc. Mental Health Maturitas 106, 48–56 (2017).
Liu, Y, Yin, J, Xu, L, Luo, X, Liu, H, Zhang, T. The Chain Mediating Effect of Anxiety and Inhibitory Control and the Moderating Effect of Physical Activity Between Bullying Victimization and Internet Addiction in Chinese Adolescents. J Genet Psychol. 1–16 (2025).
Luo, X, Liu, H, Sun, Z, et al. Gender mediates the mediating effect of psychological capital between physical activity and depressive symptoms among adolescents. Sci Rep. 15(1), 10868 (2025).
Wang, J, Xiao, T, Liu, Y, Guo, Z, Yi, Z. The relationship between physical activity and social network site addiction among adolescents: the chain mediating role of anxiety and ego-depletion. BMC Psychol. 13(1), 477 (2025).
Den Hartigh, R. J. R. & Hill, Y. Conceptualizing and measuring psychological resilience: What can we learn from physics?? New. Ideas Psychol. 66, 100934 (2022).
Li, N., Wang, D., Zhao, X., Li, Z. & Zhang, L. The association between physical exercise behavior and psychological resilience of teenagers: an examination of the chain mediating effect. Sci. Rep. 14, 9372 (2024).
Bhattacharya, P., Chatterjee, S. & Roy, D. Impact of exercise on brain neurochemicals: A comprehensive review. Sport Sci. Health. 19, 405–452 (2023).
Ghayour Baghbani, S. M., Arabshahi, M. & Saatchian, V. The impact of exercise interventions on perceived Self-Efficacy and other psychological outcomes in adults: A systematic review and Meta-Analysis. Eur. J. Integr. Med. 62, 102281 (2023).
Salmon, P. Effects of physical exercise on anxiety, depression, and sensitivity to stress: A unifying theory. Clin. Psychol. Rev. 21, 33–61 (2001).
Song, S. et al. Psychological resilience as a protective factor for depression and anxiety among the public during the outbreak of COVID-19. Front. Psychol. 11, 618509 (2020).
Wu, Y., Sang, Z., Zhang, X. & Margraf, J. The relationship between resilience and mental health in Chinese college students: A longitudinal Cross-Lagged analysis. Front. Psychol. 11, 108 (2020).
Li, R. et al. Exploring the relationship between resilience and internet addiction in Chinese college students: The mediating roles of life satisfaction and loneliness. Acta Psychol. (Amst). 248, 104405 (2024).
Dorris, D. C., Power, D. A. & Kenefick, E. Investigating the effects of Ego depletion on physical exercise routines of athletes. Psychol. Sport Exerc. 13, 118–125 (2012).
Englert, C. Ego depletion in sports: Highlighting the importance of Self-Control strength for High-Level sport performance. Curr. Opin. Psychol. 16, 1–5 (2017).
Baumeister, R. F., André, N., Southwick, D. A. & Tice, D. M. Self-Control and limited willpower: Current status of Ego depletion theory and research. Curr. Opin. Psychol. 60, 101882 (2024).
Job, V., Dweck, C. S. & Walton, G. M. Ego Depletion–Is it all in your head?? Implicit theories about willpower affect Self-Regulation. Psychol. Sci. 21, 1686–1693 (2010).
Wang, Y., Wang, G., Chen, Q., Li, L. & Depletion Moral identity, and unethical behavior: why people behave unethically after Self-Control exertion. Conscious. Cogn. 56, 188–198 (2017).
Wang, W., Qian, Y., Wang, Y. & Zhang, Y. Mindfulness and cell phone dependence: The mediating role of social adaptation. Social Behav. Personality: Int. J. 49, 1–7 (2021).
Tikac, G., Unal, A. & Altug, F. Regular exercise improves the levels of self-efficacy, self-esteem and body awareness of young adults. J. Sports Med. Phys. Fit. 62, 157–161 (2022).
Zhang, Z. et al. The roles of exercise tolerance and resilience in the effect of physical activity on emotional States among college students. Int. J. Clin. Health Psychol. 22, 100312 (2022).
Liu, R., Menhas, R. & Saqib, Z. A. Does physical activity influence health behavior, mental health, and psychological resilience under the moderating role of quality of life?? Front. Psychol. 15, 1349880 (2024).
Baumeister, R. F. & Self-Regulation Ego depletion, and Inhibition. Neuropsychologia 65, 313–319 (2014).
Wang, Y., Xu, W. & Luo, F. Emotional resilience mediates the relationship between mindfulness and emotion. Psychol. Rep. 118, 725–736 (2016).
Yang, Z. et al. The impacts of physical activity on Domain-Specific short video usage behaviors among university students. BMC Public. Health. 25, 1078 (2025).
K, H. Stress, Exercise and Quality of Life. In Beijing: Asian Games Scientific Congress, (1990).
Liang De Qing. The stress level of college students and its relationship with physical exercise. Chin. Mental Health J. 5–6 (1994).
Mao, Z. & Jiang Yong Zhi. Relationship between extrovert personality, loneliness and problematic short video use among adolescents in the context of COVID-19. China J. Health Psychol. 31, 700–705 (2023).
Lin, S. J. & Johnson, R. E. A suggestion to improve a day keeps your depletion away: Examining promotive and prohibitive voice behaviors within a regulatory focus and Ego depletion framework. J. Appl. Psychol. 100, 1381–1397 (2015).
Twenge, J. M. M. T. Measuring State Self-Control: Reliability,Validity, and Correlations with Physical and Psycho-Logical Stress (San Diego State University, 2004).
Wang, L., Shi, Z., Zhang, Y. & Zhang, Z. Psychometric properties of the 10-Item Connor-Davidson resilience scale in Chinese earthquake victims. Psychiatry Clin. Neurosci. 64, 499–504 (2010).
Vaishnavi, S., Connor, K. & Davidson, J. R. T. An abbreviated version of the Connor-Davidson resilience scale (CD-RISC), the CD-RISC2: Psychometric properties and applications in psychopharmacological trials. Psychiatry Res. 152, 293–297 (2007).
Kuiper, H., van Leeuwen, C. C. M., Stolwijk-Swüste, J. M. & Post, M. W. M. Measuring resilience with the Connor–Davidson resilience scale (CD-RISC): which version to choose?? Spinal Cord. 57, 360–366 (2019).
Waddimba, A. C. et al. Psychometric validity and reliability of the 10- and 2-Item Connor-Davidson resilience scales among a National sample of Americans responding to the Covid-19 pandemic: an item response theory analysis. Qual. Life Res. 31, 2819–2836 (2022).
Feng, H. J. & Ai Ze Xiu. Zhuo Xian, &. The effect of physical exercise on adolescent short video addiction: the mediating role of self-control and the modulating role of cumulative ecological risk. Abstract Collection of the 13th National Sports Science Conference -- Wall Newspaper Exchange (Sports Psychology Branch). Tianjin, China. :3. (2023).
Wang, X., Liu, T., Jin, X. & Zhou, C. Aerobic exercise promotes emotion regulation: A narrative review. Exp. Brain Res. 242, 783–796 (2024).
Liu, Y, Jin, C, Zhou, X, et al. The chain mediating effect of anxiety and inhibitory control between bullying victimization and internet addiction in adolescents. Sci Rep. 14(1), 23350 (2024).
Wang, A, Guo, S, Chen, Z, Liu, Y. The chain mediating effect of self-respect and self-control on the relationship between parent-child relationship and mobile phone dependence among middle school students. Sci Rep. 14(1), 30224 (2024).
Guo, S, Zhang, J, Wang, A, Zhang, T, Liu, Y, Zhang, S. The chain mediating effect of self-respect and self-control on peer relationship and early adolescent phone dependence. Sci Rep. 15(1), 11825 (2025).
White, R. L., Ryan, D., Young, C., Elston, R. & Rossi, T. How does the context of physical activity influence perceived mood and wellbeing after exercise?? Ment Health Phys. Act. 24, 100504 (2023).
Ahn, J., Falk, E. B. & Kang, Y. Relationships between physical activity and loneliness: A systematic review of intervention studies. Curr. Res. Behav. Sci. 6, 100141 (2024).
Exploring the Causes and Solutions for Short. Video Addiction Among College Students in China.
Neumann, R. J. et al. The impact of physical fitness on resilience to modern life stress and the mediating role of general Self-Efficacy. Eur. Arch. Psychiatry Clin. Neurosci. 272, 679–692 (2022).
Hegberg, N. J. & Tone, E. B. Physical activity and stress resilience: Considering those at-Risk for developing mental health problems. Ment Health Phys. Act. 8, 1–7 (2015).
Fossati, C. et al. Physical exercise and mental health: The routes of a reciprocal relation. Int. J. Environ. Res. Public Health. 18, 12364 (2021).
Tugade, M. M. & Fredrickson, B. L. Resilient individuals use positive emotions to bounce back from negative emotional experiences. J. Pers. Soc. Psychol. 86, 320–333 (2004).
Palamarchuk, I. S. & Vaillancourt, T. Mental resilience and coping with stress: A comprehensive, Multi-Level model of cognitive processing, decision making, and behavior. Front. Behav. Neurosci. 15, (2021).
Zhang Yuxuan. The Impact of Acute Aerobic Exercise on Helping Behavior among College Students: the Mediating Role of self-efficacy and Ego Depletion (Capital Sports Institute, 2024).
Chen, Y., Zhang, W., Zhong, N. & Zhao, M. Motivations behind problematic short video use: A Three-Level Meta-Analysis. Telemat Inf. 95, 102196 (2024).
Yang, T., Xiao, H., Fan, X. & Zeng, W. Exploring the effects of physical exercise on inferiority feeling in children and adolescents with disabilities: A test of chain mediated effects of Self-Depletion and Self-Efficacy. Front. Psychol. 14, (2023).
Zou, Z., Liu, Y., Xie, J. & Huang, X. Aerobic exercise as a potential way to improve Self-Control after Ego-Depletion in healthy female college students. Front. Psychol. 7, (2016).
Morrison, R. & Pidgeon, A. Cultivating resilience and Self-Control among university students: An experimental study. Univers. J. Psychol. 5, 1–7 (2017).
Schäfer, S. K. et al. Interrelations of resilience factors and their incremental impact for mental health: Insights from network modeling using a prospective study across seven timepoints. Transl Psychiatry. 13, 328 (2023).
Bull, F. C. et al. World health organization 2020 guidelines on physical activity and sedentary behaviour. Br. J. Sports Med. 54, 1451–1462 (2020).
Parra, E. et al. Impact of physical exercise on psychological Well-Being and psychiatric disorders. J. ReAttach Therapy Dev. Diversities. 3, 24–39 (2020).
Ruiz-Ranz, E., Asín-Izquierdo, I. & Physical Activity Exercise, and mental health of healthy adolescents: A review of the last 5 years. Sports Med. Health Sci. (2024).
Ortega-Gómez, S., Adelantado-Renau, M., Carbonell-Baeza, A., Moliner-Urdiales, D. & Jiménez-Pavón, D. Role of physical activity and Health-Related fitness on Self-Confidence and interpersonal relations in 14-Year-Old adolescents from secondary school settings: DADOS study. Scand. J. Med. Sci. Sports. 33, 2068–2078 (2023).
Liu, Y, Chen, Z, Wang, P, Xu, L: Relationship between bullying behaviors and physical activity in children and adolescents: A systematic review and meta-analysis. AGGRESS VIOLENT BEH 78, 101976 (2024).
Jing, J., Jia, S. & Yang, C. Physical activity promotes brain development through serotonin during early childhood. Neuroscience 554, 34–42 (2024).
Meijer, A. et al. The effects of physical activity on brain structure and neurophysiological functioning in children: A systematic review and Meta-Analysis. Dev. Cogn. Neurosci. 45, 100828 (2020).
Liang, J. et al. Physical exercise promotes brain remodeling by regulating epigenetics, neuroplasticity and neurotrophins. Rev. Neurosci. 32, 615–629 (2021).
Da Gomes, S. & Arida, R. M. Physical activity and brain development. Expert Rev. Neurother. 15, 1041–1051 (2015).
Liu, Y. et al. The beneficial effects of physical exercise in the brain and related pathophysiological mechanisms in neurodegenerative diseases. Lab. Invest. 99, 943–957 (2019).
Xiang, C. et al. The effectiveness of child and adolescent sports engagement in China: an analysis of China’S results for the 2016–2022 global matrix report cards on physical activity. Humanit. Social Sci. Commun. 10, 949 (2023).
Chen, P. et al. Physical activity and health in Chinese children and adolescents: Expert consensus statement (2020). Br. J. Sports Med. 54, 1321–1331 (2020).
Hulteen, R. M. et al. Global participation in sport and Leisure-Time physical activities: A systematic review and Meta-Analysis. Prev. Med. 95, 14–25 (2017).
Liu, Y, Jin, C, Zhou, X, Chen, Y, Ma, Y, Chen, Z, Zhang, T, Ren, Y: The mediating role of inhibitory control and the moderating role of family support between anxiety and Internet addiction in Chinese adolescents. ARCH PSYCHIAT NURS 53, 165–170 (2024).
Liu, Y, Peng, J, Ding, J, et al. Anxiety mediated the relationship between bullying victimization and internet addiction in adolescents, and family support moderated the relationship. BMC Pediatr. 25(1), 8 (2025).
Peng, J, Liu, Y, Wang, X, Yi, Z, Xu, L, Zhang, F: Physical and emotional abuse with internet addiction and anxiety as a mediator and physical activity as a moderator. SCI REP-UK 15(1), 2305 (2025).
Yang, L, Tao, Y, Wang, N, Zhang, Y, Liu, Y. Child psychological maltreatment, depression, psychological inflexibility and difficulty in identifying feelings, a moderated mediation model. Sci Rep. 15(1), 8478 (2025).
Chen, Z, Zhang, J, Zhang, T, et al. The relationship between early adolescent bullying victimization and suicidal ideation: the longitudinal mediating role of self-efficacy. BMC Public Health. 25(1), 1000 (2025).
Jiale, Wang Yang, Liu Ting, Xiao Mengting, Pan The Relationship Between Bullying Victimization and Adolescent Sleep Quality: The Mediating Role of Anxiety and the Moderating Role of Difficulty Identifying Feelings Psychiatry 1–22.
Wang, J., Wang, N., Qi, T., Liu, Y., Guo, Z. The central mediating effect of inhibitory control and negative emotion on the relationship between bullying victimization and social network site addiction in adolescents. Front Psychol. 15, 1520404 (2025).
Xiao, T., Liu, Y., Xu, L., Zhang, T: A078: The Relationship Between Bullied Middle School Students and Depression: A Two-Modulated Model. Int. J. Phys. Act. & Health 3(3), 78 (2024).
Liu, Y., Xiao, T., Xu, L., Peng, J., Ma, Y., Chen, Y., Zhang, T., Zhang, W: A129: Middle School Students of Bullying Victimization and Internet Addiction: A Moderating Mediation Model. Int. J. Phys. Act. & Health 3(3), 129 (2024).
Liu, Y. et al. The relationship between childhood psychological abuse and depression in college students: A moderated mediation model. Bmc Psychiatry. 24, 410 (2024).
Liu, Y., Duan, L., Shen, Q., Xu, L. & Zhang, T. The relationship between childhood psychological abuse and depression in college students: internet addiction as mediator, different dimensions of alexithymia as moderator. Bmc Public. Health. 24, 2744 (2024).
Tan, X., Li, Z., Peng, H. et al. Anxiety and inhibitory control play a chain mediating role between compassion fatigue and Internet addiction disorder among nursing staff. Sci Rep. 15(1),12211 (2025).
Yi, Z., Wang, W., Wang, N., Liu, Y: The Relationship Between Empirical Avoidance, Anxiety, Difficulty Describing Feelings and Internet Addiction Among College Students: A Moderated Mediation Model. J GENET PSYCHOL 1–17 (2025).
Wang, J., Wang, N., Liu, Y., & Zhou, Z: Experiential avoidance, depression, and difficulty identifying emotions in social network site addiction among Chinese university students: a moderated mediation model. BEHAV INFORM TECHNOL 1–14 (2025).
Acknowledgements
Sometimes the second corresponding author is also at a loss. Because the first author kept this opinions about"One man’s trash is another man’s treasure” at least at this stage.
Funding
Not applicable.
Author information
Authors and Affiliations
Contributions
Yan Gan12345, Ziling He12345, Mengfen Liu356, Jian Ran1235, Pingfan Liu1235, Yang Liu123456, Liping Deng1235.1 Conceptualization; 2 Methodology; 3 Data curation; 4 Writing - Original Draft; 5 Writing - Review & Editing; 6 Funding acquisition.
Corresponding authors
Ethics declarations
Ethics approval and consent to participate
The study was approved by the Biomedicine Ethics Committee of Jishou University before the initiation of the project (Grant number: JSDX-2024-0086). Informed consent was obtained from the participants and their guardians before the start of the program. We confirm that all the experiment is in accordance with the relevant guidelines and regulations such as the declaration of Helsinki.
Consent for publication
Not applicable.
Competing interests
The authors declare no competing interests.
Additional information
Publisher’s note
Springer Nature remains neutral with regard to jurisdictional claims in published maps and institutional affiliations.
Rights and permissions
Open Access This article is licensed under a Creative Commons Attribution-NonCommercial-NoDerivatives 4.0 International License, which permits any non-commercial use, sharing, distribution and reproduction in any medium or format, as long as you give appropriate credit to the original author(s) and the source, provide a link to the Creative Commons licence, and indicate if you modified the licensed material. You do not have permission under this licence to share adapted material derived from this article or parts of it. The images or other third party material in this article are included in the article’s Creative Commons licence, unless indicated otherwise in a credit line to the material. If material is not included in the article’s Creative Commons licence and your intended use is not permitted by statutory regulation or exceeds the permitted use, you will need to obtain permission directly from the copyright holder. To view a copy of this licence, visit http://creativecommons.org/licenses/by-nc-nd/4.0/.
About this article
Cite this article
Gan, Y., He, Z., Liu, M. et al. A chain mediation model of physical exercise and BrainRot behavior among adolescents. Sci Rep 15, 17830 (2025). https://doi.org/10.1038/s41598-025-02132-6
Received:
Accepted:
Published:
DOI: https://doi.org/10.1038/s41598-025-02132-6
Keywords
This article is cited by
-
Anxiety and sleep hygiene among college students, a moderated mediating model
BMC Public Health (2025)
-
Gender differences in the relationship between bullying victimization and mobile phone addiction among adolescents: the mediating roles of depression and social anxiety
BMC Psychology (2025)
-
Physical exercise and depression in university students with psychological resilience as mediator and family support as moderator
Scientific Reports (2025)
-
Exploring the relationship between physical activity and social media addiction among adolescents through a moderated mediation model
Scientific Reports (2025)
-
Physical activity moderates the mediating role of depression between experiential avoidance and Internet addiction
Scientific Reports (2025)