Abstract
We theoretically investigate the low-temperature magnetic and quantum properties of hexanuclear Fe\(^{3+}_6\) complexes under an external magnetic field. We primarily study the impact of competing exchange interactions and their asymmetries induced by the Jahn-Teller distortion on the quantum properties of the complexes. The inequality in exchange interactions lifts the ground-state degeneracy that gives rise to complex quantum behavior. By constructing the ground-state phase diagram and analyzing magnetization, we identify key magnetic phases and critical phenomena. We further quantify quantum correlations using tripartite entanglement negativity and conditional von Neumann entropy to unveil how the Jahn-Teller effect enhances intra-triangle entanglement while modulating inter-triangle correlations. Our findings highlight the Fe\(^{3+}_6\) complex as a promising molecular platform for tunable quantum correlations, with potential applications in quantum information processing and molecular qubits.
Similar content being viewed by others
Introduction
Molecular magnets1,2,3,4,5, particularly transition-metal complexes with intrinsic quantum correlations, offer promising applications in quantum information science including spintronics6,7,8, quantum communication9 and quantum computing10,11,12. This rapidly evolving field presents diverse opportunities by examining the unique magnetic and quantum properties of molecular systems13. The study of these materials has gained significant attention due to their interdisciplinary relevance to bridge quantum information science, condensed matter physics, and coordination chemistry14,15,16,17,18. Among them, hexanuclear iron(III) compounds19,20,21,22 exhibit a rich interplay of competing magnetic interactions, leading to unconventional quantum critical behaviors. A deeper understanding of these fundamental properties is essential for the development of next-generation molecular-based quantum technologies.
However, under the influence of the Jahn-Teller (JT) effect22,23,24,25, these compounds undergo a spontaneous symmetry-breaking distortion that lifts the degeneracy of their electronic states22. As predicted by Jahn and Teller in 1937, a non-linear system in a degenerate electronic state is inherently unstable and will distort to remove the degeneracy, thereby its total energy is lowered23. In the case of Fe\(^{3+}_6\) complexes, the JT effect alters the geometric and electronic structure of the Fe\(_3\)O subunits, subtly modifying the exchange interactions and consequently reshaping the magnetic ground state. This distortion introduces anisotropy into the system, affecting both the intra- and inter-triangle couplings and influencing the quantum correlations and spin frustration within the molecule. Hence, the JT effect plays a crucial role in determining the fine structure of the energy landscape, where it leads to distinct magnetic behavior that would not be observed in an idealized symmetric model with equilateral triangular subunits.
When an external field is applied, the competition between exchange interactions leads to intriguing quantum phenomena, including field-induced phase transitions and entanglement structures that remain robust at low temperatures. Here, we systematically investigate the ground-state phase diagram and low-temperature quantum properties of the isotropic XXX Heisenberg model on a hexanuclear spin-1/2 system possessing three different exchange couplings that characterize the Fe\(^{3+}_6\) complexes such as \(\text {Fe}^{3+}_6(\mu _3\text {-}\text {O})_2(\mu \text {-}\text {OH})_2\{\mu \text {-}(\text {C}_6\text {H}_{11})_2\text {PO}_2\}_6(\mu \text {-}t\text {BuCO}_2)_6 (\eta ^1\text {-}\text {OH}_2)_2 2\text {CH}_3\text {CN} \text {CH}_2\text {Cl}_2\)19. A key feature of hexanuclear Fe\(^{3+}_6\) complexes is the presence of multiple exchange interactions, which determine the ground-state spin configuration and influence the response of the system to external perturbations such as magnetic field19,20,21,22. In particular, the Fe\(^{3+}_6\) molecular structure comprises two almost identical Fe\(_3\)O triangular subunits that exhibit a quantum ground state with \(S=1/2\) per triangular subunit. These iron-based molecular systems exhibit competing exchange interactions, \(J_1\), \(J_2\), and \(J_3\) under the influence of the JT effect, leading to \(S = \frac{1}{2}\) ground states for both \(\text {Fe}_3\text {O}\) triangular subunits. The inequality of \(J_{ij}\) lifts the degeneracy of the ground states (\(S \ge \frac{1}{2}\)) that is a consequence of magnetic JT distortion. The two triangular subunits are coupled via the inter-triangle interaction \(J_3\), which plays a crucial role in the quantumness of the system, particularly when this interaction is non-negligible19.
In this paper, we construct the ground-state phase diagram in the plane of external magnetic field \(B\), intra-triangle exchange coupling \(J_2\) and inter-triangle exchange coupling \(J_3\). Then, we analyze the magnetization process and explore how the entanglement structure evolves with varying field strengths under JT distortion. To quantify quantum entanglement26 within the subunits, we use the tripartite entanglement negativity27,28,29, a concept introduced by Peres and Horodecki30,31,32. We also examine the conditional von Neumann entropy33,34,35,36, a key measure that captures quantum correlations between different Fe\(_3\)O triangular subunits. This approach provides a comprehensive overivew of how quantum information is distributed across the molecular system.
Our findings contribute to the broader understanding of entanglement in molecular magnets at low temperature and highlight the potential of hexanuclear Fe\(^{3+}\) complexes as testbeds for quantum correlations in condensed matter systems. By unveiling the fundamental entanglement mechanisms in these systems, this work opens new avenues for their potential applications in emerging quantum technologies.
The structure of this paper is as follows. In Sec. 2, we introduce the model and outline the key magnetic interactions governing the hexanuclear Fe\(^{3+}_6\) complex. In Sec. 3, we first construct the ground-state phase diagram in different parameter planes to characterize the quantum phase spectra. We also present an analysis of the low-temperature magnetization behavior as a function of the external magnetic field. Then, we investigate tripartite entanglement together with conditional von Neumann entropy as a measure of quantum correlations within the system, focusing on entanglement within individual Fe\(_3\)O subunits and the amount of correlation between different subunits. Finally, Sec. 4 provides a summary of our findings.
The model
The model depicted in Fig. 1 consists of two identical isosceles Fe\(_3(\mu _3\)-O) triangles. The magnetic interactions between the spin-only Fe\({}^{3+}\) ions (with \(S = \frac{1}{2}\)) are governed by three exchange coupling constants (\(J_1\), \(J_2\), and \(J_3\)). These interactions can be described by the following Hamiltonian:
This Hamiltonian represents six spin-1/2 particles and three different isotropic Heisenberg exchange interactions. Here, \(\hat{S}^{\alpha }_j\) (\(\alpha =x,y,z\)) are the spin-1/2 operators assigned to the \(\text {Fe}^{3+}\) ions. Fitting performed between theoretical analysis and the experimental data of the magnetization and susceptibility constrains the three exchange constants (\(J_1, J_2, J_3\)) to maintain their antiferromagnetically relative order \(J_1> J_2 > J_3\). The resulting fits show an agreement with the experimental data. Here, \(g = 2.0\) is the gyromagnetic ratio, \(\mu _\text {B}\) is Bohr magneton and B is the magnetic field applied along the z-direction. According to the experimental analysis of the \(\text {Fe}^{3+}\) complex reported in19, the two triangular units are not equilateral, most probably due to the JT effect. The three distinct coupling constants in this iron compound are found to be antiferromagnetic, with values \(J_1 = 42.2 \, \text {cm}^{-1}\), \(J_2 = 34.2 \, \text {cm}^{-1}\), and \(J_3 = 0.015 \, \text {cm}^{-1}\).
The partition function \(Z = \sum _i e^{-\beta E_i}\) of the system is given by the summation over the Boltzmann-weighted eigenenergies \(E_i\) of the Hamiltonian (1), where \(\beta = \frac{1}{k_\text {B} T}\), with \(k_\text {B}\) being the Boltzmann constant and \(T\) the temperature. The Gibbs free energy follows from the partition function as \(G = -k_\text {B} T \ln Z\). From this, the magnetization can be determined via \(M = -\left( \frac{\partial G}{\partial B} \right) _T\).
Results and discussion
Ground-state phase diagram and magnetization
We present the ground-state phase diagram of the model defined by the Hamiltonian (1) using pie charts in Fig. 2a, in a spanned parameter space \((J_2, B) \in ([0, 60]; [0, 80])\) for four representative values of \(J_3\). The charts illustrate that the ground state with magnetization \(M/M_\textrm{s} = \frac{1}{3}\) overwhelmingly dominates compared to other ground states. This pronounced predominance highlights a remarkable stability of the \(\frac{1}{3}\)-plateau phase that suggests the Fe\(^{3+}\) complex as a promising platform for qubit initialization and manipulation in near-term quantum computing applications.
(a) Pie charts show the dominance of the ground states of the \(\text {Fe}^{3+}\) complex described by the Hamiltonian (1) in the \((J_2, B)\) parameter space, assuming \(J_1 = 42.2\, \text {cm}^{-1}\) and four different values of \(J_3\). Different ground states are represented by distinct colors, with the corresponding magnetization values labeled on each chart. The magnetization values (\(M/M_\textrm{s}\)) are indicated on each slice, with purple for 0, light blue for \(\frac{1}{3}\), yellow for \(\frac{2}{3}\), and brown for 1. (b) Ground-state phase diagram in the \(B-J_3\) plane for fixed values of \(J_1 = 42.2\, \text {cm}^{-1}\) and \(J_2 = 34.2\, \text {cm}^{-1}\). (c) Ground-state phase diagram in the \(B-J_2\) plane, assuming \(J_1 = 42.2\, \text {cm}^{-1}\) and \(J_3 = 0.015\, \text {cm}^{-1}\). (d) Magnetization as a function of the magnetic field B for various fixed temperatures T. Experimental data from 19 are shown as black circles, while theoretical magnetization curves are represented by lines. The blue solid line corresponds to the best-fit magnetization curve, obtained using the parameter set \(J_1 = 42.2\, \text {cm}^{-1}\), \(J_2 = 34.2\, \text {cm}^{-1}\), and \(J_3 = 0.015\, \text {cm}^{-1}\), as reported in 19.
The diagram displays four distinct regions, each represented by a different symbol corresponding to ground states with magnetization values \(M/M_\text {s} = 0\), \(1/3\), \(2/3\), and \(1\), where \(M_\text {s}\) denotes the saturation magnetization of the model, given by \(M_\text {s} = NSg\mu _B = 6 \times \frac{1}{2} \times 2\mu _B = 6\mu _B\). From this figure, it is evident that the phase with \(M/M_\text {s} = \frac{1}{3}\) is the most dominant across the parameter space. To further illustrate this, Fig. 2b displays the ground-state phase diagram in the B-\(J_3\) plane for fixed values of \(J_1 = 42.2\, \text {cm}^{-1}\) and \(J_2 = 34.2\,\text {cm}^{-1}\). As the inter-triangle interaction \(J_3\) increases, two narrow phase regions emerge, corresponding to the zero-magnetization phase and the intermediate plateau at \(M/M_\text {s} = \frac{2}{3}\), as indicated by the cyan triangle symbols in Fig. 2a.
To investigate the influence of JT distortion on the phase boundaries, we present in Fig. 2c the ground-state phase diagram in the B-\(J_2\) plane for the fixed \(J_1 = 42.2\, \text {cm}^{-1}\) and \(J_3 = 0.015\,\text {cm}^{-1}\). It should be noted that below \(J_2 = J_1\), where the JT distortion is present, the extent of the \(M/M_\text {s} = \frac{1}{3}\) phase remains unchanged. However, for \(J_2 > J_1\), the phase boundary of the \(M/M_\text {s} = \frac{1}{3}\) state expands, indicating an increased stability of this phase.
In order to verify the theoretical phase diagram through magnetization behavior, Fig. 2d depicts the magnetization of the Fe\(^{3+}\) complex as a function of the magnetic field at various temperatures, assuming \(J_1 = 42.2\, \text {cm}^{-1}\), \(J_2 = 34.2\,\text {cm}^{-1}\) and \(J_3 = 0.015\,\text {cm}^{-1}\). The low-temperature magnetization curve (orange dashed line) in Fig. 2d exhibits a broad intermediate plateau at \(M/M_\text {s} = 1/3\), which aligns with the vertical dotted line in Fig. 2c. As the temperature increases, this plateau gradually vanishes due to the quantum superposition of other magnetic states. Furthermore, the best fit of the theoretical results (blue solid line) with the experimental magnetization data for the Fe\(^{3+}\) compound at \(2\,\text {K}\) (black circles) up to \(5\,\text {T}\) is shown, reinforcing the validity of our modelling.
Quantum properties
To quantify the degree of quantum correlation between all entities of a single triangular subsystem (\(\mathcal {A}\) or \(\mathcal {B}\)) of the hexanuclear Fe\(^{3+}\) system, we employ the tripartite entanglement negativity \(\mathcal {N}_{123}\)27,28,29. This measure is defined as the geometric mean of three bipartite negativities:
The bipartite negativities \(\mathcal {N}_{1|23}\), \(\mathcal {N}_{2|13}\), and \(\mathcal {N}_{3|12}\) are determined by tracing out the degrees of freedom associated with the subsystem \(\mathcal {B}\), thereby reducing the system to a the subsystem \(\mathcal {A}\) including Fe\(_1\), Fe\(_2\) and Fe\(_3\) (see Fig. 1). Each bipartite negativity quantifies the entanglement between an individual Fe\(^{3+}\) ion and the remaining two Fe\(^{3+}\) ions. This type of entanglement can be computed using the approach introduced by Vidal and Werner in32, which defines bipartite negativity as the sum of the absolute values of all negative eigenvalues of the partially transposed density matrix \(\hat{\rho }_{123}^{\text {T}_\text {a}}\), where the partial transposition is performed over subsubsystem “a” (Fe\(_1\), Fe\(_2\) or Fe\(_3\)). For example, this can be expressed as \(\mathcal {N}_{1|23} = \sum _{(\lambda _{1|23})_i < 0} |\lambda _{1|23}|\), where \(\lambda\) denotes the eigenvalues of the reduced density matrix \(\rho _{123}^{\text {T}_1}\) that is partially transposed with respect to Fe\(_1\). The reduced density matrices and their transpose along with the eigenvalues \(\lambda _i\) are obtained using exact numerical methods implemented in the QuTip package37.
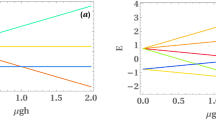
(a) Magnetic-field dependence of the tripartite negativity \(\mathcal {N}_{123}\) of the Fe\(^{3+}\) complex under JT effect at different temperatures. The coupling constants \(J_1 = 42.2\, \text {cm}^{-1}\), \(J_2 = 34.2\,\text {cm}^{-1}\), \(J_3 = 0.015\,\text {cm}^{-1}\), and the gyromagnetic factor \(g = 2.0\) are taken from previous experimental analysis19. (b) The negativity \(\mathcal {N}_{123}\) with equilateral triangle shape of subunits with \(J_1 = J_2 = 42.2\, \text {cm}^{-1}\) and \(J_3 = 0.015\,\text {cm}^{-1}\). (c) \(\mathcal {N}_{123}\) as a function of \(J_2\) for three fixed values of the magnetic field at \(T = 0.5\,\text {K}\), assuming \(J_1 = 42.2\, \text {cm}^{-1}\) and \(J_3 = 0.015\,\text {cm}^{-1}\).
Figure 3a shows the genuine tripartite negativity \(\mathcal {N}_{{123}}\) in the triangular subsystem \(\mathcal {A}\) under the influence of the JT effect, plotted as a function of the magnetic field at various fixed temperatures. This analysis is conducted using the exchange interaction parameters \(J_1 = 42.2\, \text {cm}^{-1}\), \(J_2 = 34.2\,\text {cm}^{-1}\), and \(J_3 = 0.015\,\text {cm}^{-1}\), where the JT distortion is reflected in the condition \(J_1 > J_2\). By inspecting this figure, it is evident that as the magnetic field increases, the tripartite negativity initially rises from a nonzero value before stabilizing into a broad, flat plateau at \(\mathcal {N}_{123} \approx 0.4\). This plateau corresponds to the ground state characterized by \(M/M_\text {s} = \frac{1}{3}\). However, as the field approaches the transition point near \(B \approx 68\,\text {T}\), the tripartite negativity undergoes a sharp decline, indicating a transition to a fully polarized state. As the temperature increases, this distinct stepwise behavior gradually fades, leading to a smooth, monotonic decrease in tripartite negativity with increasing magnetic field.
To further investigate the role of the JT effect on tripartite entanglement, we plot in Fig. 3b the tripartite negativity \(\mathcal {N}_{123}\) as a function of the magnetic field for the case where both triangular subsystems \(\mathcal {A}\) and \(\mathcal {B}\) are equilateral (\(J_1 = J_2\)). It is evident that under this condition, the degree of entanglement significantly decreases, reaching a value of \(\mathcal {N}_{123} \approx 0.25\), which is approximately half of the value observed in the presence of the JT effect (see Fig. 3a). This finding suggests that the JT effect can substantially enhance entanglement between the spins of the subunits of the hexanuclear Fe\(^ {3+}\) complexes, potentially playing a crucial role in optimizing quantum correlations within such molecular systems.
To provide a clearer understanding of the quantum aspects of the JT effect in our model, we show in Fig. 3c the tripartite entanglement negativity \(\mathcal {N}_{123}\) of the subsystem \(\mathcal {A}\) as a function of \(J_2\), at low temperature \(T = 0.5\,\text {K}\), for three different magnetic field strengths. This figure demonstrates the interplay between quantum entanglement and JT distortion more explicitly. Specifically, we observe that within the magnetic field range \(B < 80\,\text {T}\), the tripartite entanglement remains nonzero when \(J_2\) is close to \(J_1\), indicating that the distortion is weak or symmetric. The two parameter sets in panels Fig. 3a and b chosen as \(\{J_1 = 42.2\,\text {cm}^{-1}, J_2 = 34.2\,\text {cm}^{-1}\}\) and \(\{J_1 = J_2 = 42.2\,\text {cm}^{-1}\}\), represent distinct JT scenarios: the former corresponds to a moderately distorted triangle, and the latter to a fully symmetric case. By varying \(J_2\) between these values, we confirm that the degree of entanglement interpolates smoothly, reflecting the sensitivity of the quantum correlations to the strength of JT distortion. This provides a more comprehensive picture of how JT effects influence entanglement in the system.
Interestingly, a pronounced drop in the tripartite negativity is observed near the point \(J_2 \approx J_1\), which likely corresponds to a coexistence region between the ground state with magnetization \(M/M_\text {s} = \frac{1}{3}\) and another state exhibiting a different entanglement structure that does not appear in the ground-state phase diagram shown in Fig. 2c. This coexistence leads to a mixed state that significantly suppresses the tripartite entanglement. For larger values of \(J_2\), the tripartite negativity vanishes, that may suggest a transition to a biseparable phase characterized by the absence of genuine tripartite entanglement. From this investigation, we find that while the tripartite negativity, computed via a partial trace over the full density matrix, can detect the ground-state phase transitions of the total system, it may also exhibit anomalous behavior near specific points that are not captured by the ground-state phase diagram.
(a) Magnetic-field dependence of the conditional entropy \(\mathcal {S}_\mathcal {A|B}\) of the Fe\(^{3+}\) complex under JT effect at different temperatures. The coupling constants are \(J_1 = 42.2\, \text {cm}^{-1}\), \(J_2 = 34.2\,\text {cm}^{-1}\), \(J_3 = 0.015\,\text {cm}^{-1}\), and the gyromagnetic factor is \(g = 2.0\)19. (b) The conditional entropy \(\mathcal {S}_\mathcal {A|B}\) of the equilateral triangle shape of the subsystems \(\mathcal {A}\) and \(\mathcal {B}\) with \(J_1 = J_2 = 42.2\, \text {cm}^{-1}\) and \(J_3 = 0.015\,\text {cm}^{-1}\). (c) Conditional von Neumann entropy \(\mathcal {S}_\mathcal {A|B}\) in the (\(B, J_3\)) plane, assuming \(J_1 = 42.2\, \text {cm}^{-1}\) and \(J_2 = 34.2\,\text {cm}^{-1}\).
We present in Fig. 4a the magnetic field dependence of the conditional von Neumann entropy \(\mathcal {S}_\mathcal {A|B}=\mathcal {S}_{\mathcal{A}\mathcal{B}}-\mathcal {S}_\mathcal {B}\) at various fixed temperatures to further explore the impact of JT distortion on the degree of quantum correlation between the two triangular subsystems \(\mathcal {A}\) and \(\mathcal {B}\) of the hexanuclear Fe\(^ {3+}\) complex. This analysis is based on the exchange interaction parameters \(J_1 = 42.2\, \text {cm}^{-1}\), \(J_2 = 34.2\,\text {cm}^{-1}\), and \(J_3 = 0.015\,\text {cm}^{-1}\)19. Abrupt changes in the conditional entropy occur near the transition fields, which can be attributed to quantum superposition among multiple phases. This serves as a strong indication of quantum correlations between the two triangular subunits. At low temperatures and within the field range \(5\,\text {T}< B < 65\,\text {T}\), the conditional entropy remains zero, signifying the absence of inter-subunit correlations. However, as the temperature increases, \(\mathcal {S}_\mathcal {A|B}\) also increases, reflecting the strengthening of quantum correlations between subsystems \(\mathcal {A}\) and \(\mathcal {B}\). Figure 4b illustrates the conditional von Neumann entropy \(\mathcal {S}_\mathcal {A|B}\) for the case where the triangular subunits are equilateral, i.e. \(J_1 = J_2 = 42.2\, \text {cm}^{-1}\). Comparing Figs. 4a and 4b, we observe that the entropy \(\mathcal {S}_\mathcal {A|B}\), which quantifies inter-triangle quantum correlations, is higher when \(J_1 = J_2\). This suggests that JT distortion enhances the degree of tripartite entanglement within each triangular subunit, while simultaneously reducing quantum correlations between the two triangular subunits. This characteristic of the JT effect is particularly advantageous for quantum information processing, as it facilitates the development of molecular qubits for quantum computing applications.
Figure 4c shows the conditional von Neumann entropy \(\mathcal {S}_\mathcal {A|B}\) in the \(B-J_3\) plane, assuming \(J_1 = 42.2\, \text {cm}^{-1}\) and \(J_2 = 34.2\,\text {cm}^{-1}\). Clearly, the inter-triangle exchange interaction \(J_3\) plays a crucial role in shaping the nature of quantum correlations between the two subunits. In particular, stronger \(J_3\) leads to negative values of the conditional entropy \(\mathcal {S}_\mathcal {A|B}\), indicating that the two triangular subunits become entangled38.
To better align our theoretical analysis with potential experimental realizations, we emphasize that the model parameters used in this study, particularly the magnitudes of the exchange interactions and field ranges, are consistent with values reported for Fe-based molecular magnets in previous experimental work19. The observed predominance of the one-third magnetization plateau phase, as well as the enhancement of intra-triangle quantum correlations due to JT distortions, aligns with known behavior in distorted triangular Fe\(^{3+}\) units under high magnetic fields. These distortions are experimentally accessible via ligand modification or external pressure that may offer pathways for validating our predictions. Furthermore, the tunability of quantum correlations through JT-driven asymmetries indicates a practical mechanism for engineering entangled molecular states, which may directly impact the design of molecular qubits. Our findings thus provide a bridge between microscopic quantum modeling and experimentally viable strategies for developing functional quantum materials.
Conclusions
In this work, we investigated the ground-state phase diagram and quantum correlations in the hexanuclear Fe\(^ {3+}\) complex under the influence of the JT effect. Our findings indicate that the magnetic phase with one-third magnetization plateau dominates across the parameter space. This state remains stable in the presence of the JT effect characterized by \(J_1 > J_2\). The role of JT effect in modifying tripartite entanglement within a triangular subunit has been studied. Our results demonstrate that the JT distortion enhances multipartite entanglement in the subunits. When the JT effect is absent and the triangular units are equilateral, tripartite entanglement is significantly reduced, confirming that the JT distortion plays a key role in strengthening quantum correlations at the molecular level. Moreover, our analysis of the conditional von Neumann entropy demonstrated that the JT effect may diminish inter-triangle quantum correlations. At low temperatures, the two triangular subunits remain uncorrelated in a moderate field range, but increasing temperature leads to a rise in conditional entropy, which suggests enhanced quantum correlations. We have found that stronger inter-triangle interaction leads to negative conditional entropy, signifying entanglement between the two subunits.
Overall, our study demonstrates that JT effect increases intra-triangle tripartite entanglement, but may decrease the inter-triangle correlations. These findings suggest that JT distortions could be harnessed for optimizing molecular qubits in quantum information processing. By controlling exchange interactions and external magnetic fields, Fe\(^ {3+}\) complexes may serve as promising candidates for designing quantum computing architectures. These results establish a clear theoretical foundation that can guide future experimental efforts, while offering insight into how structural distortions like the JT effect can be strategically leveraged to realize entangled states for molecular quantum technologies.
Data Availability
The data supporting the results reported in this paper can be obtained from the corresponding author.
References
Kahn, O. Molecular Magnetism (VCH, 1993).
Chiesa, A., Santini, P., Garlatti, E., Luis, F. & Carretta, S. Molecular nanomagnets: a viable path toward quantum information processing?. Rep. Prog. Phys. 87, 034501. https://doi.org/10.1088/1361-6633/ad1f81 (2024).
Chilton, N. F., Anderson, R. P., Turner, L. D., Soncini, A. & Murray, K. S. PHI: A powerful new program for the analysis of anisotropic monomeric and exchange-coupled polynuclear d- and f-block complexes. J. Comp. Chem. 34, 1164. https://doi.org/10.1002/jcc.23234 (2013).
J. M. Law, Identification and investigation of new low-dimensional quantum spin systems, https://dspace.lboro.ac.uk/2134/8963Thesis, Doctor of Philosophy of Loughborough University, (2011).
J. Schnack: Quantum Theory of Molecular Magnetism, pp.F1.1–F1.36 in Magnetism goes Nano, 36th IFF Spring School (Forschungszentrum Jülich, 2005).
Fursina, A. A. & Sinitskii, A. Toward molecular spin qubit devices: Integration of magnetic molecules into solid-state devices. ACS Appl. Electron. Mater. 5, 3531. https://doi.org/10.1021/acsaelm.3c00472 (2023).
Kandala, A. et al. Hardware-efficient variational quantum eigensolver for small molecules and quantum magnets. Nature 549, 242. https://doi.org/10.1038/nature23879 (2017).
Sanvito, S. Molecular spintronics. Chem. Soc. Rev. 40, 3336. https://doi.org/10.1039/c1cs15047b (2011).
Godfrin, C. et al. Operating quantum states in single magnetic molecules: Implementation of Grover’s quantum algorithm. Phys. Rev. Lett. 119, 187702. https://doi.org/10.1103/PhysRevLett.119.187702 (2017).
Leuenberger, M. & Loss, D. Quantum computing in molecular magnets. Nature 410, 789. https://doi.org/10.1038/35071024 (2001).
Pineda, E. M. & Wernsdorfer, W. Molecular nanomagnets for quantum technologies. Nat. Rev. Phys. 3, 645. https://doi.org/10.1038/s42254-021-00340-3 (2021).
Coronado, E. Molecular magnetism: From chemical design to spin control in molecules, materials and devices. Nat. Rev. Mater. 5, 87. https://doi.org/10.1038/s41578-019-0146-8 (2020).
Bode, B. E. et al. Dipolar-Coupled Entangled Molecular 4f Qubits. J. Am. Chem. Soc. 145, 2877. https://doi.org/10.1021/jacs.2c10902 (2023).
Carretta, S., Zueco, D., Chiesa, A., Gómez-León, Á. & Luis, F. A perspective on scaling up quantum computation with molecular spins. Appl. Phys. Lett. 118, 240501. https://doi.org/10.1063/5.0051285 (2021).
Ollitrault, P. J., Miessen, A. & Tavernelli, I. Molecular quantum dynamics: A quantum computing perspective. Account. Chem. Res. 54, 4229. https://doi.org/10.1021/acs.accounts.1c00514 (2021).
Chizzini, M. et al. Molecular nanomagnets with competing interactions as optimal units for qudit-based quantum computation. Phys. Rev. Res. 4, 043135. https://doi.org/10.1103/PhysRevResearch.4.043135 (2022).
Lockyer, S. J. et al. Five-spin supramolecule for simulating quantum decoherence of bell states. J. Am. Chem. Soc. 144(35), 16086. https://doi.org/10.1021/jacs.2c06384 (2022).
Soria, J. F. et al. A modular design of molecular qubits to implement universal quantum gates. Nat. Commun. 7, 11377. https://doi.org/10.1038/ncomms11377 (2016).
Goura, J., Oyarzabal, I., Colacio, E. & Chandrasekhar, V. Synthesis, structure, and magnetic properties of phosphinate-bridged hexanuclear \(\text{ Fe}^\text{ III }\) complexes containing two butterfly-shaped Fe\(_{3}O Cores\) Eur. J. Inorg. Chem. 2015, 5601. https://doi.org/10.1002/ejic.201500890 (2015).
Baca, S. G. et al. Avoiding magnetochemical overparametrization, exemplified by one-dimensional chains of hexanuclear iron(III) pivalate clusters. Inorg. Chem. 52, 4154. https://doi.org/10.1021/ic4003884 (2013).
Qian, J. et al. A new Fe\(_6\) ferric cluster: Synthesis, crystal structure and magnetic properties. Dalton Trans. 2008, 6948. https://doi.org/10.1039/b808916g (2008).
Boudalis, A. K., Sanakis, Y., Dahan, F., Hendrich, M. & Tuchagues, J.-P. Inorg. Chem. 45, 443. https://doi.org/10.1021/ic051652x (2006).
Jahn, H. & Teller, E. Stability of polyatomic molecules in degenerate electronic states. I. Orbital degeneracy. Proc. R. Soc. Lond. Ser. A 161, 220. https://doi.org/10.1098/rspa.1937.0142 (1937).
H. Köppel, D. R. Yarkony, and H. Barentzen (eds.), The Jahn-Teller Effect: Fundamentals and Implications for Physics and Chemistry, Springer Ser. Chem. Phys. 97, 915 (2009).
Halcrow, M. A. Jahn-Teller distortions in transition metal compounds, and their importance in functional molecular and inorganic materials. Chem. Soc. Rev. 42, 1784. https://doi.org/10.1039/c2cs35253b (2013).
Horodecki, R., Horodecki, P., Horodecki, M. & Horodecki, K. Quantum entanglement. Rev. Mod. Phys. 81, 865. https://doi.org/10.1103/RevModPhys.81.865 (2009).
Vargova, H. & Strecka, J. Distribution of a bipartite entanglement in a mixed spin-(1/2,1) Heisenberg tetramer. XXPhys. A 625, 129046. https://doi.org/10.1016/j.physa.2023.129046 (2023).
Arian Zad, H., Strečka, J. & Plass, W. Multipartite entanglement and quantum sensing in a spin-\(\frac{5}{2}\) Heisenberg molecular iron(III) triangle. Phys. Rev. B 111, 024420. https://doi.org/10.1103/PhysRevB.111.024420 (2025).
Ghannadan, A. et al. Molecular nanomagnet Cu\(^{2+}\) Ni\(^{2+}\) Cu\(^{2+}\) as a resource for bipartite and tripartite quantum entanglement and coherence. Phys. Rev. A 111, 022605. https://doi.org/10.1103/PhysRevA.111.022605 (2025).
Peres, A. Separability criterion for density matrices. Phys. Rev. Lett. 77, 1413. https://doi.org/10.1103/PhysRevLett.77.1413 (1996).
Horodecki, M., Horodecki, P. & Horodecki, R. Separability of mixed states: Necessary and sufficient conditions. Phys. Lett. A 223, 1. https://doi.org/10.1016/S0375-9601(96)00706-2 (1996).
Vidal, G. & Werner, R. F. Computable measure of entanglement. Phys. Rev. A 65, 032314. https://doi.org/10.1103/PhysRevA.65.032314 (2002).
Cerf, N. J. & Adami, C. Negative entropy and information in quantum mechanics. Phys. Rev. Lett. 79, 5194. https://doi.org/10.1103/PhysRevLett.79.5194 (1997).
Lami, L., Regula, B. & Adesso, G. Non-negativity of conditional von Neumann entropy and global unitary operations. Phys. Rev. A 96, 062102. https://doi.org/10.1103/PhysRevA.96.062102 (2017).
Hirche, C., Wilde, M. M. & Winter, A. Witnessing negative conditional entropy. Phys. Rev. A 104, 012417. https://doi.org/10.1103/PhysRevA.104.012417 (2021).
Schwonnek, R., Kaniewski, J., Coladangelo, A. & Winter, A. Device-independent lower bounds on the conditional von Neumann entropy. Quantum 8, 1445. https://doi.org/10.22331/q-2024-08-27-1445 (2024).
Johansson, J. R., Nation, P. D. & Nori, F. QuTiP: An open-source Python framework for the dynamics of open quantum systems. Comp. Phys. Comm. 183, 1760. https://doi.org/10.1016/j.cpc.2012.02.021 (2012).
Horodecki, M., Oppenheim, J. & Winter, A. Quantum information can be negative. Nature 436, 673. https://doi.org/10.1038/nature03909 (2005).
Acknowledgements
H.A.Z. acknowledges the financial support provided under the postdoctoral fellowship program of P. J. Šafárik University in Košice, Slovakia. This research was funded by Slovak Research and Development Agency under the contract No. APVV-20-0150 and The Ministry of Education, Research, Development and Youth of the Slovak Republic under the grant number VEGA 1/0695/23.
Author information
Authors and Affiliations
Contributions
H.A.Z. provided the initial draft. M.J., A.A. S.A.-K., and S.H. completed and reviewed the manuscript.
Corresponding authors
Ethics declarations
Competing interests
The authors declare no competing interests.
Additional information
Publisher’s note
Springer Nature remains neutral with regard to jurisdictional claims in published maps and institutional affiliations.
Rights and permissions
Open Access This article is licensed under a Creative Commons Attribution-NonCommercial-NoDerivatives 4.0 International License, which permits any non-commercial use, sharing, distribution and reproduction in any medium or format, as long as you give appropriate credit to the original author(s) and the source, provide a link to the Creative Commons licence, and indicate if you modified the licensed material. You do not have permission under this licence to share adapted material derived from this article or parts of it. The images or other third party material in this article are included in the article’s Creative Commons licence, unless indicated otherwise in a credit line to the material. If material is not included in the article’s Creative Commons licence and your intended use is not permitted by statutory regulation or exceeds the permitted use, you will need to obtain permission directly from the copyright holder. To view a copy of this licence, visit http://creativecommons.org/licenses/by-nc-nd/4.0/.
About this article
Cite this article
Arian Zad, H., Jaščur, M., Ali, A. et al. Jahn-Teller effect for controlling quantum correlations in hexanuclear Fe\(^{3+}\) magnets. Sci Rep 15, 30381 (2025). https://doi.org/10.1038/s41598-025-15329-6
Received:
Accepted:
Published:
DOI: https://doi.org/10.1038/s41598-025-15329-6