Abstract
Organic matter distribution patterns and soil aggregate stability (SAS) are critical factors for comprehending the environmental evolution of reservoirs and their surroundings. However, it remains unclear how SAS and aggregate-related N and C respond to external environmental factors (e.g., land use, water level fluctuation) in the newly formed reservoirs’ buffer strips. In this work, we examined the impacts of the distance from the watercourse and different land use types on SAS and the patterns of organic matter distribution before and after seasonal water level fluctuations (in April and June 2021) in the Chushandian Reservoir (CR) buffer strips. The research discovered that the mean weight diameter (MWD) and geometric mean diameter (GMD) of soil aggregates varied across land uses, ranking as: woodland > grassland > abandoned cropland. Moreover, both MWD and GMD increased as the distance from the watercourse grew. Based on variation partitioning analysis and partial least squares path modelling results, distance from the watercourse showed less effect on nutrient content and SAS than land uses, and aggregate fractions played a mediating role in this process. Furthermore, the relative contribution of coarse aggregate fractions (macroaggregates, > 0.25 mm) to soil N and C levels was greater than that of fine aggregate fractions (microaggregates, < 0.25 mm). The research findings illustrate that various protection measures should be considered for different land use strategies to enhance SAS and promote the accumulation of N and C associated with aggregates in the CR buffer strips. In addition, these findings can provide valuable references for ecological restoration efforts in regions with comparable situations.
Similar content being viewed by others
Introduction
Soil organic carbon (SOC) is a complex and diverse amalgamation of organic compounds that experience incremental decomposition and transformation1. In the global soil C pool, which holds 2500 Gt, SOC constitutes approximately 62% of the total2. Any slight alternation in the storage and behavior of SOC can have a substantial effect on atmospheric CO₂ concentrations and consequently exert a significant influence on climate change3,4. SOC can be artificially separated into two fractions of soil labile C and stable C5. The quantity of soil labile C and stable C within the total SOC serves as a crucial determinant of SOC stability6.
Soil aggregates are the primary structural units of soil7. SOC has a close connection with the formation and stability of soil aggregates. Soil aggregates are the primary repository of SOC and play a crucial part in offering physical protection to SOC. Meanwhile, SOC functions as the principal cementing substances that contribute to the formation and stability of soil aggregates8,9. Soil aggregates are typically classified into four fractions: large macroaggregates (> 2 mm), small macroaggregates (0.25–2 mm), microaggregates (0.053–0.25 mm), and silt and clay fraction (< 0.053 mm)10,11. The composition of various soil aggregates affects soil structure and soil aggregate stability (SAS), subsequently influencing soil erosion resistance and soil quality12,13. Enhancing SAS represents an efficient approach to improve soil quality and alleviate environmental concerns related to soil degradation14.
A variety of indicators have been demonstrated to be the prominent factors influencing soil aggregate fluctuations15,16, among which land use17,18 and water level fluctuations19,20 are the two most dominant elements. In terrestrial ecosystems, the impact of land use on SAS and nutrient cycling have been widely documented21,22,23,24. For instance, as discovered by Guo et al.25 in the Chengdu Plain, land use had an impact on C physical sequestration principally due to modifications in surface area, pore development, and the Fe oxides content within macroaggregates. Farahani et al.26 reported that cultivation disrupted soil aggregates, causing soil structure degradation and C accumulation reduction, whereas vegetation restoration increased SAS and C content. Furthermore, adopting appropriate land use patterns tailored to local conditions can minimize harm to soil aggregates, preserve soil structure stability, and enhance nutrient accumulation12,13. However, within the context of a flooding regime, the influence of land use on soil C and nitrogen (N) dynamics might deviate from that observed in terrestrial ecosystems11. The soil nutrient and structure fluctuations in the riparian ecosystems are more susceptible to a variety of external factors compared to typical terrestrial ecosystems27. Zhu et al.28 and Ran et al.11 found that frequent wet–dry alternations triggered aggregate disintegration, expedited organic matter release, and promoted organic N and C mineralization, thus changing the nutrient status and ecological functions of soil. Moreover, drying and wetting cycles alter the conventional land use patterns and land management strategies, affecting the SOC stocks and local C cycle indirectly17. However, despite the acknowledged significance of both land use and hydrological changes, the interaction between these factors and their additive or synergistic effects on SAS and nutrient dynamics in the riparian ecosystems has remained insufficiently investigated10,11.
Situated in Xinyang City, Henan province, China, the Chushandian Reservoir (CR) stands as the only large-scale reservoir in the upper reaches of the main stream of the Huaihe River. With flood control as its main function, it also has comprehensive utilization functions such as water supply, power generation, irrigation, and tourism29. It is of great significance for improving the flood control standards of the Huaihe River, ensuring food security, promoting regional economic development and protecting the ecological environment30. Despite its significant functions and positive impacts, the CR has unfortunately encountered several environmental issues and the ecological function has degraded, which are causing growing anxiety and warranting urgent attention. For example, due to the significant disturbance caused by the dam construction and the altered hydrological regime, the soil erosion has intensified and the ecological degradation has become more severe in the CR area31,32. The “14th Five-Year Plan” for Water Security Guarantee and Water Ecological Environmental Protection in Henan Province has provided planning guidance at the macro level for the construction of the irrigation area project of the CR and its ecological environment protection. Reservoir buffer strips are critical for retaining water and soil, improving water quality, accumulating nutrients, and detaining non-point pollution, which demonstrated significant effects on maintaining environmental benefits and ecosystem functions of the reservoir33,34. However, few studies have made attempts to characterize the aggregate-related N and C levels and SAS in the buffer strips of the CR, considering the impacts of land use and water level fluctuations31. Additionally, the corresponding mechanisms remain to be further explored. Therefore, in order to understand the initial development of soil structure during the early phases of reservoir construction and furnish a scientific foundation for subsequent ecological conservation and land use strategies, it is essential to pinpoint the primary factors influencing SAS and nutrient dynamics within the buffer strips of the CR.
In the present study, we assessed the distribution and stability of soil aggregates along with the N and C content associated with these aggregates, across three land use types (abandoned cropland, grassland and woodland) and at three distances from the watercourse (2, 10, and 20 m). We conducted this evaluation before and after seasonal water level fluctuations (in April and June 2021) within the buffer strips of the CR. We proposed that (1) within the buffer strips of recently established reservoirs, land use significantly affects SAS more than water level changes do; (2) aggregate fractions might regulate the effects of land use and distance from the watercourse on nutrient content and SAS. The specific objectives of this study were to: (1) compare the variations in soil aggregate contents and aggregate stability indices under different land uses and flooding intensities; (2) identify the distribution characteristics of total carbon (TC) and total nitrogen (TN) in aggregate fractions under different land uses and distances from watercourse; (3) evaluate the impact of aggregate fractions on the nutrient content and SAS.
Materials and methods
Experimental reservoir
The CR is located in central China, with its dam positioned in the Huaihe River mainstream of Xinyang City, Henan Province29 (Fig. 1). The CR ceased operations for storage in May 2019 and achieved its standard level by October 202031. Above the dam site, along a stretch of 100 km to the origin of the Huaihe River channel, the reservoir control basin covers an area of 2.9 × 103 km2, with a total reservoir capacity of 12.51 × 108 m3. The climate of the CR basin transitions from subtropical to warm temperate, characterized by warm winters and humid summers, with average annual precipitation and temperature recorded at 1130 mm and 11–16 °C, respectively35. Precipitation across the year varied unevenly, reaching its peak in summer. The dominant soil type in the CR is yellow–brown power clay, categorized as Alfisols in USDA Taxonomy or Luvisols in FAO Taxonomy29. The key plant species include Populus, Camellia sinensis, Castanea mollissima, Imperata cylindrica, Xanthium sibiricum and Conyza canadensis31,36.
Positions of the CR region in China’s Huaihe River Basin (left) and the sampling locations within the buffer strips of the CR (right). Solid green square represents grassland; Solid orange circle represents abandoned cropland; Solid blue diamond represents woodland (Software: ArcGIS v. 10.8 https://www.esri.com/en-us/home).
Within the CR buffer strips (N32° 22’ –32° 32’, E113° 89’–113° 96’), three different land uses, covering abandoned cropland, grassland, and woodland were selected as targets in this study (Fig. 1). In each land use, three replicate plots were conducted (nine in total). The plots were predominantly located along the western bank-line of the CR, characterized by more agricultural land and less construction land30. The distance between each plot did not exceed 1.5 km, and the sample plots had similar elevation, geology, slope and historical land utilization, which can be found in our prior research31. The width of sample plots ranged from 25 to 30 m, and we set the sampling strip distance accordingly. To eliminate the boundary effects of adjacent plots, in each land use, sample strips with different distances (2, 10, and 20 m) were carried out along the reservoir bank36. For convenience, the types of land use and scales of distance have been collectively labelled as C2, C10, and C20 for abandoned cropland, G2, G10, and G20 for grassland, and W2, W10, and W20 for woodland. During the discharge period (April 2021), the CR was at the lowest water level, while during the rainstorm period (June 2021), it was at the highest water level. In April and June 2021, within each site before and after seasonal variations in water levels in the CR buffer strips, four soil samples were gathered, totaling 72 samples.
Soil sampling and property analysis
Five intact soil cores were extracted at a depth of 10 cm from each site, merged to generate a uniform composite sample, put in self-sealing bags, and immediately delivered to the laboratory for further analysis. The physicochemical properties of the sample were assessed, including pH, total carbon (TC), total nitrogen (TN), dissolved organic carbon (DOC), ammonium nitrogen (NH4-N), and soil aggregates. An extra intact soil core sample was maintained to quantify soil water content (SWC) and bulk density (BD). All the methodologies were elaborated in Yan et al.31.
Water-stable soil aggregates were analyzed using a modified Yoder apparatus10,37. In summary, a series of 200 mm diameter sieves with mesh sizes of 0.053, 0.25, and 2 mm, holding 20 g of air-dried soil on the uppermost sieve, were submerged in distilled water for 5 min at ambient temperature. Subsequently, the soil samples were filtered underwater by repeatedly lifting and lowering the sieves for a period of 10 min, and the materials retained on the top surfaces of all the sieves were carefully collected. Meanwhile, the material mixture (consisting of water and soil) that had passed through the sieve with a mesh size of < 0.053 mm was gathered in buckets and then centrifuged at 2500 × g for 10 min38. This centrifugation process was intended to effectively separate the aggregate fractions from the mineral particles, thus facilitating further analysis and characterization of each component. Before the measurement of TC and TN levels, all the gathered samples were transferred into an oven and dried at 60 °C for 48 h39.
Data analysis
SAS was evaluated by MWD and GMD, based on formulas established in earlier researches40,41:
where \({\text{x}}{\text{i}}\) signifies the mean diameter of the aggregate fraction (mm), \({\text{y}}{\text{i}}\) indicates the fraction’s proportional representation within the whole sample, and \({\text{w}}{\text{i}}\) denotes the weight of the aggregate fraction (g).
Levene’s test and Kolmogorov–Smirnov test were conducted to evaluate the homogeneity and normality of variances of all variables, while those that did not meet the assumptions were transformed with the natural logarithm42. Two-way ANOVA with a LSD test was executed to evaluate the differences in SAS, soil properties, N and C contents, and particle size fractions among sampling sites. The correlations among the above-mentioned indicators were assessed using Pearson correlation analysis (PCA). Variance partitioning analysis (VPA) was utilized to evaluate the combined and individual effects of distance from the watercourse and land use on soil aggregate fractions and their stability.
Furthermore, partial least squares path modelling (PLS-PM) was employed to assess how aggregate fractions, distance from watercourse, soil properties and land uses affect the nutrient content and SAS43. PLS-PM demonstrates excellent proficiency in handling small sample datasets and complex model frameworks, thus making it a significant analytical instrument in diverse research fields44,45. The model functioned on the basis of two essential constituents: the measurement model and the structural model. Acquired variables were presented as rectangles, and composite variables were illustrated as ellipses, which cannot be directly measured11. The combined impact of multiple predictor variables on response variables was determined by load coefficients. The direct correlations between predictor and response variables were quantified through path coefficients. To guarantee the dependability of the outcomes, both the coefficient of determination (R2) and path coefficients were validated via 5000 bootstraps. The comprehensive performance of the model was evaluated using the Goodness of Fit (GOF) statistic46,47. All statistical analysis and calculations were executed in R 4.0.3.
Results
Soil properties
Although the investigated area had consistent soil types, topography, and meteorological characteristics, distinct soil properties were observed due to diverse land uses among the sampling sites (Table 1). The abandoned cropland contained the lowest levels of TC, DOC, and C:N ratios but the highest NH4-N value. The grassland had the lowest NH4-N content and the woodland held the highest DOC content.
Different sampling months also lead to significant changes in soil properties (Table 1). From April to June 2021, the SWC and NH4-N of abandoned cropland, grassland, and woodland increased evidently, whereas the C:N ratios of these three land use types decreased remarkably. The TC content of abandoned cropland decreased, while the TN value of grassland increased. In addition, the DOC content of woodland increased, in contrast to the decrease in TC.
Two-way ANOVA demonstrated that soil DOC and NH4-N were remarkably impacted by land use and distance from the watercourse (Table S1). According to PCA, TC and TN exhibited a positive relationship, and they displayed significantly positive correlations with MWD and GMD at different monitoring sites and sampling months (Fig. 2).
Aggregate size distribution and stability
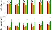
Generally, land uses and distance from the watercourse had significant effects on the proportions of four aggregate fractions, MWD and GMD in the CR buffer strips (Table 2). In contrast to woodland, abandoned cropland and grassland showed a reduction in the > 2 mm and 0.053–0.25 mm fractions, while the 0.25–2 mm and < 0.053 mm fractions saw an increase. Between April and June 2021, the three types of land use decreased the percentage of the > 2 mm fraction, while increasing the percentages of the 0.25–2 mm and < 0.053 mm fractions. Notable variations in MWD and GMD were detected across various land use categories, distances from the watercourse, and different sampling periods (Fig. 3). MWD and GMD were ranked as woodland > grassland > abandoned cropland, and increased with the increase of distance from watercourse. An overall decrease in MWD and GMD was shown from April to June 2021.
The responses of soil aggregate fractions and stability with respect to land uses and distance from the watercourse are presented in Fig. 4. In April 2021, the contributions of land use to soil aggregate fractions and stability were 22.50% (p < 0.01) and 22.38% (p < 0.01), individually, whereas those of distance from the watercourse were 17.68% (p < 0.01) and 15.22% (p < 0.01). In June 2021, the contribution of land uses to soil aggregate fractions and stability increased to 26.79% and 27.73% with p < 0.01, and those of distance from the watercourse decreased to 12.77% and 12.16% with p < 0.01. For both seasons, approximately 60% of the variation in aggregate fractions and stability has remained unexplained. This suggests that the factors influencing soil aggregate fractions and SAS are highly complex and multifaceted.
TC and TN contents in aggregate fractions
In soil aggregates, TC and TN levels were profoundly affected by aggregate sizes, land uses and distance from watercourse (Fig. 5, Table S2). Typically, the 0.25–2 mm fraction in various land uses presented the maximum TC and TN levels, followed in order by the > 2 mm, < 0.053 mm and 0.053–0.25 mm fractions. The levels of TC and TN in aggregate fractions varied by land use, ranking as: woodland > grassland > abandoned cropland. As the distance from the watercourse increased, the levels of TC and TN in aggregate fractions raised across the three land use types. In general, the levels of TC and TN in aggregate fractions declined between April and June 2021.
The ratio of C:N in soil aggregates was significantly influenced by different land uses (Fig. 6, Table S2). Across various aggregate fractions, the C:N ratio in woodland peaked in April 2021, while they reached their lowest levels in June 2021, as opposed to abandoned cropland and grassland. Significant variations in the C:N ratio was observed among aggregate fractions across different land uses. Furthermore, the C:N ratio in aggregate fractions was faintly influenced by distance from the watercourse. From April to June 2021, the C:N ratio in different aggregate fractions increased.
Generally, the proportional impacts of the four aggregate fractions on TC and TN levels exhibited comparable patterns in both April and June 2021 (Fig. 7). The relative contribution of macroaggregates was more prominent compared to microaggregates. From April to June 2021, the relative contribution of the > 2 mm fraction in grassland to TC and TN levels increased, whereas the relative contribution of the 0.25–2 mm fraction, 0.053–0.25 mm fraction and < 0.053 mm fraction decreased. The opposite trend was observed in woodland.
The influence of aggregate fractions on nutrient content and SAS
PLS-PM analysis identified causal relationships among soil properties, aggregate fractions, aggregate nutrient content, and stability in April and June 2021 (Fig. 8). All variables demonstrated a composite reliability surpassing 0.7, and the average variance extracted (AVE) values were larger than 0.5 (Table S3). These results strongly indicate that the measurement model is highly robust and reliable. The GoF indices of the PLS-PM for April and June 2021 were recorded as 0.52 and 0.67 respectively, which evidently implies a rather satisfactory overall performance of the model. The nutrient content and stability of aggregates were closely associated with land uses and distance from watercourse, and aggregate fractions served as mediators. Specifically, in April 2021, the explained path coefficients of land uses, distance from the watercourse, soil properties, and aggregate fractions on aggregate nutrient content were 0.10 (p < 0.01), 0.05 (p < 0.05), 0.21 (p < 0.001), and 0.27 (p < 0.05), individually (Fig. 8a, Table S4). The explained path coefficients of land uses, distance from the watercourse, and aggregate fractions on SAS were 0.16 (p < 0.01), 0.14 (p < 0.01), and 0.99 (p < 0.001), individually. Being significantly influenced by land uses (0.64, p < 0.001), soil properties had an important impact on aggregate fractions (0.48, p < 0.01).
By June 2021, the impact of land uses on aggregate nutrient content and stability increased to 0.17 (p < 0.01) and 0.22 (p < 0.01), respectively, whereas the influence of distance from the watercourse on these indices decreased to 0.03 (p < 0.05) and 0.10 (p < 0.01) (Fig. 8b, Table S4). From April to June 2021, the impact of soil properties on aggregate nutrient content was enhanced, and the impact of aggregate fractions on nutrient content was weakened.
Discussion
Impacts of land use strategies on SAS
Variations in land use strategies manifest primarily through alterations in species makeup and vegetation patterns17. Shifts in species makeup and plant structure can greatly affect the level of SOC, thereby influencing SAS in either direct or indirect manners10. In this study, the SAS indicators (MWD and GMD) exhibited significant positive correlations with TC and TN in the buffer strips of the CR (Fig. 2). This finding implies a favorable impact of TC and TN on the formation and stabilization of soil aggregates. The underlying mechanism could potentially be attributed to the fact that the organic materials and compounds encompassed within TC and TN function as binding agents. These agents have a vital role in enhancing soil aggregation and also confer a considerable degree of stability to the soil aggregates48.
Land use serves a crucial role regulating aggregate fluctuations23. In the terrestrial ecosystem, it is widely recognized that the stability of aggregates in undisturbed natural land is generally higher than that in agricultural land49,50,51. However, substantial distinctions exist between reservoir ecosystems and terrestrial ecosystems, with the variation characteristics of SAS under diverse land uses also differing. E.g., it has been proven that conservation agriculture is effective in enhancing the stabilization of aggregates in the Three Gorges Reservoir11. Our results indicated that, among the three land uses, the ranking of the SAS indicators in the CR buffer strips during April and June 2021 was woodland > grassland > abandoned cropland (Fig. 3), consistent with the findings of soil samples collected in December 202031. As possible explanations, the woodland boasted the richest species composition and vegetation structure compared with grassland and abandoned cropland. This leads to the maximum levels of SOC and humus, which facilitate the maintenance of SAS49. Second, anthropogenic disturbance, which encompasses activities such as tillage, directly ravages the vegetation cover and severely dismantles the soil structure. This twofold assault not only weakens the natural mechanisms that are crucial for maintaining soil integrity and cohesion but also leads to a reduction in SAS10. The woodland was virtually unaffected by anthropogenic disturbance, which reduces soil erosion, and contributes to the maintenance of SAS52. Furthermore, previous studies have demonstrated that the plentiful root exudates and plant debris present in the woodland serve to enrich the soil with highly polymerized binding substances53,54 and boost soil microbial activity55,56.
Within the CR buffer strips, we observed that the SAS indicators of woodland, grassland and abandoned cropland all decreased from April to June 2021 (Fig. 3). This result was possibly due to wet–dry alternations caused by the seasonal water level fluctuations. When elaborating on the underlying mechanisms from a physical perspective, the alternating wet and dry conditions initiate soil shrinkage and expansion. These processes subsequently disrupt the connections among soil particles, thereby resulting in a reduction in SAS31. At the chemical level, previous research has shown that such wet–dry alternations modify the ionic concentration and redox conditions in the soil, which affects the formation and decomposition of organic and inorganic cementing substances, and ultimately influences the stability of aggregates57. Biologically, it has been reported that wet–dry alternations induce changes in the composition and function of soil microbes, indirectly influencing SAS56.
Impacts of distance from watercourse on SAS
Water level fluctuation constitutes another dominant factor affecting SAS20,31. Comprehensive investigations have revealed the response mechanisms of soil aggregate fractions and their stability within the reservoir riparian zone during seasonal dynamics and long-term wet–dry cycles19,58, and have reached a consensus. For instance, SAS tends to increase in sites with low flooding intensity and decrease in those with strong flooding intensity28. In the current study, at distance scale, the SAS indicators in the CR buffer strips in April and June 2021 followed the order: C20 > C10 > C2 for abandoned cropland, G20 > G10 > G2 for grassland, and W20 > W10 > W2 for woodland (Fig. 3), indicating the SAS increased with the increasing distance from watercourse and the weakening of water level fluctuations. This finding aligns with the prevalent perspective presented in previous studies19,28,58. It is mainly due to the fact that soils near water are more susceptible to direct scouring and erosion induced by water currents, consequently leading to the disruption of the structure of soil aggregates59. In addition, within the CR buffer strips, as the distance from the watercourse increased, a decline in soil moisture and an improvement in soil aeration were observed. As certain scholars have pointed out, under such conditions of moderately low moisture, it is favorable for the bonding and aggregation between soil particles60. This also stimulated soil microbial activity and aids in the augmentation of SAS56.
In this study, variation partitioning and PLS-PM analysis yielded comparable results. The contribution of distance from watercourse to SAS in the CR buffer strips decreased from April to June 2021 (Figs. 4, 8). This finding may be related to soil samples had a relatively higher moisture content in June 2021 in comparison to April 2021, and the distribution of soil moisture did not exhibit significant disparities at the distance scale. As a result, the impact of the distance from the watercourse on SAS was weakened. Our results also suggested that within the buffer strips of the CR, the influence of land uses on SAS was more pronounced compared to the impact of the distance from watercourse (Fig. 4), which was in accordance with our initial hypothesis. Nevertheless, Ran et al.11 reported that, the intensity of dam-triggered flooding played a substantial role in elucidating SAS than land uses did. Therefore, the dominant driving mechanisms underlying SAS within the riparian zone remain a subject of contention. There are different impact mechanisms of land uses and distance from watercourse on the stability of aggregates. The disparities in vegetation cover and SOC content among various land use types have a direct impact on SAS23,41. In contrast, the distance from the watercourse mainly exerts an indirect influence on SAS by modulating the soil moisture conditions31. Moreover, land uses, which frequently encompass human activities, can significantly affect the soil structure and the stability of aggregates26,39.
Distributions of C, N, and C:N ratio in aggregate fractions
Generally, across the study locations within the buffer strips of the CR, the TC and TN levels in aggregate fractions exhibited similar patterns to the SAS, with the woodland showing the highest (Fig. 5, Table S2). These were significantly affected by land uses and distance from watercourse. This implies that varying protection measures should be taken to maintain SAS and aggregate-related N and C contents. Notably, the woodland in western Hubei and Guangdong Province also demonstrated the highest contents of aggregate-related organic carbon and TN47,49. This suggests that such a land use is conductive to retaining the N and C contents within soil aggregates. Besides land use and distance from watercourse, aggregate fractions’ TC and TN contents in the CR buffer strips were also impacted by aggregate sizes (Fig. 5, Table S2), consisting with the previous studies11,23. Furthermore, the coarse aggregate fractions (macroaggregates, > 0.25 mm) contained higher TC and TN levels than the fine aggregate fractions (microaggregates, < 0.25 mm) (Fig. 5, Table S2), compatible with the aggregate hierarchy model reported by Tisdall and Oades61, in which the levels of TC and TN have a positive relationship with aggregate size. It might be attributed to the formation process of larger aggregates from smaller ones through the bonding of polysaccharides derived from plants and microbes7,62. Consequently, macroaggregates contributed a larger proportion to aggregate fractions’ TC and TN than microaggregates (Fig. 7).
Essential factors that greatly impact the decomposition of fresh plant residues include C:N ratios, which are crucial for soil aggregation and C storage63,64. A considerable number of studies have documented soil aggregates’ C:N ratios in the riparian zone of reservoirs under various land use strategies and hydrological stress conditions10,11,65. However, the variation characteristics of aggregate C:N ratios with aggregate fractions are still controversial. Ran et al.11 concluded the C:N ratio of soil aggregates in reservoir riparian zone increased with increasing aggregate size. Zhu et al.10 argued in reservoir riparian zone, a negative correlation was observed between the C:N ratio of soil aggregates and their sizes, indicating that the C:N ratio diminished with larger aggregate sizes. In the current study, soil aggregate C:N ratios in the CR buffer strips generally decreased with increasing aggregate size in most but a few cases (Fig. 6, Table S2), akin to the findings of Zhu et al.10. The high C:N ratio represents a low decomposition and mineralization degree of soil organic matter, whereas the low C:N ratio reveals that the organic matter is readily decomposed in soil21,66. Therefore, coarse aggregate fractions in the CR buffer strips contained more labile organic C than fine aggregate fractions. Traditionally, carbon associated with microaggregates demonstrates a high level of SOC stability and a low turnover rate on account of the significant amount of stable carbon present in microaggregates. In contrast, carbon related to macroaggregates shows a low SOC stability and a high turnover rate as it is abundant in labile carbon content67,68.
Impacts of aggregate fractions on aggregate nutrient content and stability
Soil properties, such as pH, BD, SWC and DOC, directly impacted aggregate fractions (> 2 mm, 0.25–2 mm, 0.053–0.25 mm and < 0.053 mm) within the buffer strips of CR (Fig. 8, Table S4). This highlights that soil properties had a significant and direct effect on the formation and distribution of various-sized aggregates. Previous study has proved that the influence of soil properties on aggregate fractions ultimately affects the nutrient content and stability of aggregates, which in turn exerts an impact on soil quality and ecological functions11. In addition to their direct effects, both land uses and distance from watercourse also affected the nutrient content and stability of aggregates through their effects on aggregate fractions (Fig. 8, Table S4). This indicates that aggregate fractions served as essential mediators not only for nutrient distribution and availability in soils but also for soil structural stability within the buffer strips of CR. In alignment with the research findings in the terrestrial ecosystem, wherein aggregate fractions function as a mediator in the influence of land uses on C stabilization69, this further accentuates the significance and universality of aggregate fractions across diverse ecosystems.
Aggregate fractions could regulate the effects of external environmental variables on aggregate nutrient content and stability, which may be based on several factors. First, the physical structure of aggregates offers storage and protection for soil nutrients70. The complex pore systems constituted by different aggregate fractions decelerate the rate of nutrient loss, enabling nutrients to persist in the soil for an extended period. Secondly, the organic matter within aggregates interacts with soil microorganisms71. The microorganisms consume the organic material, decompose it, and release adhesive substances that enhance aggregate stability. Additionally, the mineral components of aggregates are involved in the adsorption and desorption of nutrients48. When external environmental conditions change, the equilibrium of nutrient adsorption and desorption by mineral shifts, thereby regulating the content and effectiveness of nutrients within aggregates. What’s more, the pore structure and aeration of aggregates have an impact on the redox conditions of the soil. This directly influences the chemical forms and transformation processes of specific nutrient elements such as nitrogen, iron, manganese, etc., consequently regulating their content and stability within aggregates72. In summary, through a variety of mechanisms, including complex physical structures, organic–inorganic interactions, and microbial activities, aggregate fractions modulated the effects of external environmental variables on the nutrient content and stability of aggregates to maintain the function and stability of reservoir ecosystems.
Conclusions
This study presents new evidence regarding the influence of three types of land uses and water level fluctuations on soil aggregates and their corresponding N and C levels in the buffer strip ecosystem of the CR. The findings highlighted the distinct mechanisms of soil aggregate stabilization across various land uses, suggesting that tailored protection strategies are necessary for each land use to minimize soil erosion and promote vegetation recovery in the buffer strips. Land uses and distance from the watercourse were crucial factors in stabilizing soil structure and accumulating soil N and C. The impact of land uses was relatively more prominent. Meanwhile, soil aggregate fractions acted as crucial mediators of the effects of land uses and distance from the watercourse on soil aggregate nutrient content and stability. This research deepens comprehension of SAS mechanisms and offers crucial insights for devising strategies to efficiently control soil erosion and enhance soil quality in reservoir buffer strips. In addition, the buffer strips of the CR are popular destinations for fishing enthusiasts, and disturbance from anthropogenic activity may influence soil structure, leading to soil aggregate instability. Further research should investigate how human actions affect soil stability in the buffer strips of the CR.
Data availability
The datasets used during the current study available from the corresponding author on reasonable request.
References
Trivedi, P. Singh, B. P. & Singh, B. K. Soil carbon: Introduction, importance, status, threat, and mitigation. In Soil Carbon Storage 1–28 (Academic Press, 2018).
Lal, R. Soil carbon sequestration impacts on global climate change and food security. Science 304, 1623–1627 (2004).
Kumar, A. & Sharma, M. P. Estimation of soil organic carbon in the forest catchment of two hydroelectric reservoirs in Uttarakhand, India. Hum. Ecol. Risk Assess. Int. J. 22, 991–1001 (2016).
Dong, S. et al. Effect of grassland degradation on aggregate-associated soil organic carbon of alpine grassland ecosystems in the Qinghai-Tibetan Plateau. Eur. J. Soil Sci. 71, 69–79 (2020).
Kunmala, P., Jindaluang, W. & Darunsontaya, T. Labile and stable organic carbon fractions in water stable aggregates and their contribution to aggregate stability in paddy soils. Eur. Soil Sci. 57, 1204–1216 (2024).
Melkani, S., Singh, V. & Bhadha, J. H. Quantifying the impact of different agroforestry systems on soil carbon fractions lability and long-term carbon sequestration in Central Himalayas. Soil Use Manag. 40, e13012 (2024).
Six, J., Bossuyt, H., Degryze, S. & Denef, K. A history of research on the link between (micro)aggregates, soil biota, and soil organic matter dynamics. Soil Till. Res. 79, 7–31 (2004).
Edlinger, A. et al. The impact of agricultural management on soil aggregation and carbon storage is regulated by climate thresholds across a3000 km European gradient. Glob. Change Biol. 29, 3177–3192 (2023).
Yu, P. et al. The quantity and stability of soil organic carbon following vegetation degradation in a salt-affected region of Northeastern China. Catena 211, 105984 (2022).
Zhu, K. et al. Ameliorating soil structure for the reservoir riparian: The influences of land use and dam-triggered flooding on soil aggregates. Soil Till. Res. 216, 105263 (2022).
Ran, Y. et al. Conservative agriculture facilitates soil carbon, nitrogen accumulation, and aggregate stabilization under periodic flooding regimes. Catena 209, 105783 (2022).
Gholoubi, A., Emami, H. & Alizadeh, A. Soil quality change 50 years after forestland conversion to tea farming. Soil Res. 56, 509 (2018).
Gholoubi, A., Emami, H. & Caldwell, T. Deforestation effects on soil aggregate stability quantified by the high energy moisture characteristic method. Geoderma 355, 113919 (2019).
Yu, P. et al. Vegetation degradation reduces aggregate associated carbon by reducing both labile and stable carbon fraction in Northeast China. Sci. Total Environ. 954, 176789 (2024).
Merino-Martín, L. et al. Interacting effects of land use type, microbes and plant traits on soil aggregate stability. Soil Biol. Biochem. 154, 108072 (2021).
Zhao, J., Chen, S., Hu, R. & Li, Y. Aggregate stability and size distribution of red soils under different land uses integrally regulated by soil organic matter, and iron and aluminum oxides. Soil Till. Res. 167, 73–79 (2017).
Li, Y. et al. Effects of past land use on soil organic carbon changes after dam construction. Sci. Total Environ. 686, 838–846 (2019).
Abrishamkesh, S., Gorji, M. & Asadi, H. Long-term effects of land use on soil aggregate stability. Int. Agrophys. 25, 103–108 (2011).
Nsabimana, G. et al. Impacts of water level fluctuations on soil aggregate stability in the Three Gorges Reservoir, China. Sustainability 12, 9107 (2020).
Nsabimana, G. et al. Soil aggregate stability response to hydraulic conditions in water level fluctuation zone of the Three Gorges Reservoir, China. Catena 204, 105387 (2021).
Ayoubi, S., Mokhtari Karchegani, P., Mosaddeghi, M. R. & Honarjoo, N. Soil aggregation and organic carbon as affected by topography and land use change in western Iran. Soil Till. Res. 121, 18–26 (2012).
Ayoubi, S., Mirbagheri, Z. & Mosaddeghi, M. R. Soil organic carbon physical fractions and aggregate stability influenced by land use in humid region of northern Iran. Int. Agrophys. 34, 343–353 (2020).
Gelaw, A. M., Singh, B. R. & Lal, R. Organic carbon and nitrogen associated with soil aggregates and particle sizes under different land uses in Tigray, Northern Ethiopia. Land Degrad. Dev. 26, 690–700 (2013).
Zhu, H. et al. Unraveling the local and structured variation of soil nutrients using two-dimensional empirical model decomposition in Fen River Watershed, China. Arch. Agron. Soil Sci. 66, 1556–1569 (2020).
Guo, L. et al. Impacts of agricultural land use change on soil aggregate stability and physical protection of organic C. Sci. Total Environ. 707, 136049 (2020).
Farahani, E., Emami, H. & Forouhar, M. Effects of tillage systems on soil organic carbon and some soil physical properties. Land Degrad. Dev. 33, 1307–1320 (2022).
Cui, J., Tang, X., Zhang, W. & Liu, C. The effects of timing of inundation on soil physical quality in the water-level fluctuation zone of the Three Gorges Reservoir region, China. Vadose Zone J. 17, 1–12 (2018).
Zhu, K. et al. Intense wet-dry cycles weakened the carbon sequestration of soil aggregates in the riparian zone. Catena 212, 106117 (2022).
Gan, R., Li, D., Chen, C., Yang, F. & Ma, X. Impacts of climate change on extreme precipitation in the upstream of Chushandian Reservoir, China. Hydrol. Res. 53, 504–518 (2022).
Gao, J. et al. How to rebalance the land-use structure after large infrastructure construction? From the perspective of government attention evolution. Land 12, 1632 (2023).
Yan, T. et al. The relationship between soil particle size fractions, associated carbon distribution and physicochemical properties of historical land-use types in newly formed reservoir buffer strips. Sustainability 14, 8448 (2022).
Fang, Y. et al. Spatio-temporal heterogeneity of the ecological environment and its response to land use change in the Chushandian Reservoir Basin. Sustainability 16, 1385 (2024).
Shan, N., Ruan, X. H., Xu, J. & Pan, Z. R. Estimating the optimal width of buffer strip for nonpoint source pollution control in the Three Gorges Reservoir Area, China. Ecol. Model. 276, 51–63 (2014).
Cole, L. J., Stockan, J. & Helliwell, R. Managing riparian buffer strips to optimise ecosystem services: A review. Agric. Ecosyst. Environ. 296, 106891 (2020).
Chen, C., Gan, R., Feng, D., Yang, F. & Zuo, Q. Quantifying the contribution of SWAT modeling and CMIP6 inputting to streamflow prediction uncertainty under climate change. J. Clean. Prod. 364, 132675 (2022).
Yan, T., Kremenetska, Y., He, S., Melnyk, T. & Melnyk, A. The relationship between soil physicochemical properties and vegetation biodiversity in newly formed reservoir buffer strips. Appl. Ecol. Environ. Res. 21, 3153–3175 (2023).
Yoder, R. E. A direct method of aggregate analysis of soils and a study of the physical nature of erosion losses. Agron. J. 28, 337–351 (1936).
Mustafa, A. et al. Soil aggregation and soil aggregate stability regulate organic carbon and nitrogen storage in a red soil of southern China. J. Environ. Manag. 270, 110894 (2020).
Kabiri, V., Raiesi, F. & Ghazavi, M. A. Six years of different tillage systems affected aggregate-associated SOM in a semi-arid loam soil from Central Iran. Soil Till. Res. 154, 114–125 (2015).
Whalen, J. K., Hu, Q. & Liu, A. Compost applications increase water-stable aggregates in conventional and no-tillage systems. Soil Sci. Soc. Am. J. 67, 1842–1847 (2003).
Pinheiro, E. F. M., Pereira, M. G. & Anjos, L. H. C. Aggregate distribution and soil organic matter under different tillage systems for vegetable crops in a Red Latosol from Brazil. Soil Till. Res. 77, 79–84 (2004).
Norušis, M. J. SPSS 14.0 Guide to Data Analysis 1–647 (Prentice Hall, 2006).
Chin, W. W. & Dibbern, J. An introduction to a permutation based procedure for multigroup pls analysis: results of tests of differences on simulated data and a crosscultural analysis of the sourcing of information system services between Germany and the USA. In Handbook of Partial Least Squares: Concepts, Methods and Applications; 171–193 (Springer, 2010).
Willaby, H. W., Costa, D. S., Burns, B. D., MacCann, C. & Roberts, R. D. Testing complex models with small sample sizes: A historical overview and empirical demonstration of what partial least squares (PLS) can offer differential psychology. Personal. Individ. Differ. 84, 73–78 (2015).
Benitez, J., Henseler, J., Castillo, A. & Schuberth, F. How to perform and report an impactful analysis using partial least squares: Guidelines for confirmatory and explanatory IS research. Inf. Manag. 57, 103168 (2020).
Henseler, J. & Sarstedt, M. Goodness-of-fit indices for partial least squares path modeling. Comput. Stat. 28, 565–580 (2013).
Luo, T. et al. Impact of typical land use type on the stability and content of carbon and nitrogen of soil aggregates in western Hubei. Ecosphere 14, e4736 (2023).
Zhao, Z. et al. Organic carbon accumulation and aggregate formation in soils under organic and inorganic fertilizer management practices in a rice–wheat cropping system. Sci. Rep. 13, 3665 (2023).
Tang, X. et al. Responses of soil aggregate stability to organic C and total N as controlled by land-use type in a region of south China affected by sheet erosion. Catena 218, 106543 (2022).
Kasper, M., Buchan, G. D., Mentler, A. & Blum, W. E. H. Influence of soil tillage systems on aggregate stability and the distribution of C and N in different aggregate fractions. Soil Till. Res. 105, 192–199 (2009).
Ding, H. et al. Indirect estimation of subsoil aggregate indices based on hyperspectral Vis-NIR data in the loess hilly-gully region. J. Soil Sci. Plant Nutr. 24, 5915–5930 (2024).
Eze, S. et al. Impacts of conservation agriculture on soil structure and hydraulic properties of Malawian agricultural systems. Soil Till. Res. 201, 104639 (2020).
Xiao, L. et al. Increased soil aggregate stability is strongly correlated with root and soil properties along a gradient of secondary succession on the Loess Plateau. Ecol. Eng. 143, 105671 (2020).
Le Bissonnais, Y. et al. Soil aggregate stability in Mediterranean and tropical agro-ecosystems: Effect of plant roots and soil characteristics. Plant Soil 424, 303–317 (2018).
Lehmann, A., Zheng, W. & Rillig, M. C. Soil biota contributions to soil aggregation. Nat. Ecol. Evol. 1, 1828–1835 (2017).
Xie, Z. et al. Soil microbial metabolism on carbon and nitrogen transformation links the crop-residue contribution to soil organic carbon. Npj Biofilms Microb. 8, 14 (2022).
Farahani, E., Emami, H., Fotovat, A. & Khorassani, R. Effect of different K: Na ratios in soil on dispersive charge, cation exchange and zeta potential. Eur. J. Soil Sci. 70, 311–320 (2019).
Xie, W. P., Yang, J. S., Yao, R. J. & Wang, X. P. Impact study of impoundment of the Three Gorges Reservoir on salt-water dynamics and soil salinity in the Yangtze River Estuary. J. Environ. Inf. 36, 11–23 (2020).
An, J., Wu, Y., Wu, X., Wang, L. & Xiao, P. Soil aggregate loss affected by raindrop impact and runoff under surface hydrologic conditions within contour ridge systems. Soil Till. Res. 209, 104937 (2021).
Dowdeswell-Downey, E., Grabowski, R. C. & Rickson, R. J. Do temperature and moisture conditions impact soil microbiology and aggregate stability?. J. Soils Sediments 23, 3706–3719 (2023).
Tisdall, J. M. & Oades, J. M. Organic matter and water-stable aggregates in soils. J. Soil Sci. 33, 141–163 (1982).
Elliott, E. T. Aggregate structure and carbon, nitrogen, and phosphorus in native and cultivated soils. Soil Sci. Soc. Am. J. 50, 627–633 (1986).
An, S., Mentler, A., Mayer, H. & Blum, W. E. H. Soil aggregation, aggregate stability, organic carbon and nitrogen in different soil aggregate fractions under forest and shrub vegetation on the Loess Plateau, China. Catena 81, 226–233 (2010).
Wang, Y. et al. The potential for soil C sequestration and N fixation under different planting patterns depends on the carbon and nitrogen content and stability of soil aggregates. Sci. Total Environ. 897, 165430 (2023).
Ran, Y. et al. Soil types differentiated their responses of aggregate stability to hydrological stresses at the riparian zones of the Three Gorges Reservoir. J. Soils Sediments 20, 951–962 (2019).
Spohn, M. et al. The positive effect of plant diversity on soil carbon depends on climate. Nat. Commun. 14, 6624 (2023).
Yılmaz, E. et al. Effect of vineyard pruning residue application on soil aggregate formation, aggregate stability and carbon content in different aggregate sizes. Catena 183, 104219 (2019).
Liao, H. et al. Protists regulate microbially mediated organic carbon turnover in soil aggregates. Glob. Change Biol. 30, e17102 (2024).
Trivedi, P. et al. Soil aggregation and associated microbial communities modify the impact of agricultural management on carbon content. Environ. Microbial. 19, 3070–3086 (2017).
Zhong, X. L. et al. Physical protection by soil aggregates stabilizes soil organic carbon under simulated N deposition in a subtropical forest of China. Geoderma 285, 323–332 (2017).
Zhang, M. et al. Microbial regulation of aggregate stability and carbon sequestration under long-term conservation tillage and nitrogen application. Sustain. Prod. Consump. 44, 74–86 (2024).
Dorau, K., Uteau, D., Hövels, M. P., Peth, S. & Mansfeldt, T. Soil aeration and redox potential as function of pore connectivity unravelled by X-ray microtomography imaging. Eur. J. Soil Sci. 73, e13165 (2021).
Acknowledgements
We gratefully acknowledged the financial support of the Natural Science Foundation of Henan Province of China (222300420271), the Open Fund of Key Laboratory for Synergistic Prevention of Water and soil Environmental Pollution (KLSPWSEP-A13), the Youth Fund Projects of Xinyang Agriculture and Forestry University (QN2021038), and Doctoral Research Initiation Project (203052).
Author information
Authors and Affiliations
Contributions
Fei Gu and Tengfei Yan conceived and designed the experiment, Fei Gu, Yong Qin and Tiezhu Yang conducted the experiment, Xiumei Li analysed the results, Fei Gu and Tengfei Yan wrote the main manuscript text.
Corresponding author
Ethics declarations
Competing interests
The authors declare no competing interests.
Additional information
Publisher’s note
Springer Nature remains neutral with regard to jurisdictional claims in published maps and institutional affiliations.
Electronic supplementary material
Below is the link to the electronic supplementary material.
Rights and permissions
Open Access This article is licensed under a Creative Commons Attribution-NonCommercial-NoDerivatives 4.0 International License, which permits any non-commercial use, sharing, distribution and reproduction in any medium or format, as long as you give appropriate credit to the original author(s) and the source, provide a link to the Creative Commons licence, and indicate if you modified the licensed material. You do not have permission under this licence to share adapted material derived from this article or parts of it. The images or other third party material in this article are included in the article’s Creative Commons licence, unless indicated otherwise in a credit line to the material. If material is not included in the article’s Creative Commons licence and your intended use is not permitted by statutory regulation or exceeds the permitted use, you will need to obtain permission directly from the copyright holder. To view a copy of this licence, visit http://creativecommons.org/licenses/by-nc-nd/4.0/.
About this article
Cite this article
Gu, F., Qin, Y., Yang, T. et al. Impacts of land use and water level fluctuation on soil aggregates and nitrogen and carbon in newly formed reservoir buffer strips. Sci Rep 15, 11181 (2025). https://doi.org/10.1038/s41598-025-90224-8
Received:
Accepted:
Published:
Version of record:
DOI: https://doi.org/10.1038/s41598-025-90224-8










