Abstract
Conventional superconductors are robust diamagnets that expel magnetic fields through the Meissner effect. It would therefore be unexpected if a superconducting ground state would support spontaneous magnetics fields. Such broken time-reversal symmetry states have been suggested for the high—temperature superconductors, but their identification remains experimentally controversial. We present magnetization, heat capacity, zero field and transverse field muon spin relaxation experiments on the recently discovered caged type superconductor Y5Rh6Sn18 ( TC= 3.0 K). The electronic heat capacity of Y5Rh6Sn18 shows a T3 dependence below Tc indicating an anisotropic superconducting gap with a point node. This result is in sharp contrast to that observed in the isostructural Lu5Rh6Sn18 which is a strong coupling s—wave superconductor. The temperature dependence of the deduced superfluid in density Y5Rh6Sn18 is consistent with a BCS s—wave gap function, while the zero-field muon spin relaxation measurements strongly evidences unconventional superconductivity through a spontaneous appearance of an internal magnetic field below the superconducting transition temperature, signifying that the superconducting state is categorized by the broken time-reversal symmetry.
Similar content being viewed by others
Introduction
Although an enormous amount of progress has been made to understand the unconventional behaviors of superconductors beyond the conventional BCS theory, many obstacles remain to be overcome1,2. BCS superconductors expel magnetic field through the Meissner effect. It would be a very rare phenomenon if a superconducting (SC) ground state would support spontaneous internal fields. Similar kind of broken symmetry states are hitherto proposed for the high-temperature superconductors, but their identification remains experimentally questionable. Broken symmetry can revise the physics of a system and is causal to novel behavior, such as unconventional or magnetic mediated superconductivity. Recently it has been shown that spin-orbit coupling with locally broken symmetry enables a giant spin polarization in a semiconductor3. Time—reversal symmetry (TRS) breaking is exceptional and has been detected directly in only a few unconventional superconductors, e.g., Sr2RuO44,5, (U;Th)Be136 and UPt37, PrPt4Ge128, (Pr;La)(Os;Ru)4Sb129, LaNiGa210, LaNiC211 and Re6Zr12. Zero field muon spin relaxation (ZF—μSR) is a powerful technique to search for TRS breaking fields below the superconducting transition temperature (Tc).
Skutterudites (RT4X12), β—pyrochlore oxides (AOs2O6) and clathrates (Ge/Si-based) are materials classes with cage—like crystal structure and have received considerable research interest in recent years and are the breeding ground of several unusual phenomena such as heavy fermion superconductivity, exciton—mediated superconductivity and Weyl fermions13. RT4X12 and RT2X20 exhibit a strong interplay between quadrupolar moment and superconductivity14,15. The zero field (ZF)—muon spin relaxation (μSR) measurements in PrOs4Sb12 (first unconventional superconductor amongst Pr—based metallic compounds) have revealed a significant upturn in the internal magnetic fields below the onset of superconductivity (Tc = 1.82 K)16. The low—lying crystal field excitations of Pr ions play a vital role in the superconductivity16. On the other hand, PrV2Al20 exhibits superconductivity below 50 mK in the antiferro—quadrupole ordered state, is an unusual specimen of a heavy-fermion superconductor based on strong hybridization among conduction electrons and nonmagnetic quadrupolar moments of the cubic Γ3 ground doublet17. For PrV2Al20, the gapless mode associated with the quadrupole order is reflected in a cubic temperature dependence of electronic heat capacity. Non Fermi liquid behaviors are observed in PrIr2Zn20 and PrRh2Zn20 in the resistivity, specific heat and quadrupole ordering18.
R5Rh6Sn18 (R = Sc, Y, Lu) compounds also having a cage-like structure, crystallize in the tetragonal structure (see Fig. 1) with the space group I41/acd and Z = 8, where R occupies two sites of different symmetry19, exhibit superconductivity20 below 5 K (Sc), 3 K (Y) and 4 K (Lu). The crystal structure is analogous to the skutterudite structure with a Pr—based heavy fermion superconductor21. Lu5Rh6Sn18 is a conventional BCS type superconductor, the gap structure of Y5Rh6Sn18 is found to be strongly anisotropic as exposed from the specific heat (CP) measurements; the heat capacity coefficient (γ) of Y5Rh6Sn18 in the mixed state is found to follow a square root field dependence. This is a sign of anisotropic superconducting gapping. The superconducting properties of Y5Rh6Sn18 thus have a correspondence with those of the anisotropic s—wave superconductor YNi2B2C except for the difference in superconducting transition temperature22. On the other hand, the γ of Lu5Rh6Sn18 shows linear field dependence, which points to an isotropic superconducting gap. The unconventional superconductivity of nonmagnetic YNi2B2C draws considerable attention from several standpoints, such as high—Tc superconductivity among intermetallics23,24,25 and anisotropic superconducting gap26,27. Numerous measurements indicate that YNi2B2C has an anisotropic superconducting gap (point-node type). K. Izawa et al.28 suggest that the superconducting gap structure of YNi2B2C has point nodes located along the a and b axes by thermal conductivity measurements. For Y5Rh6Sn18 the field-angle-resolved specific heat CP(ϕ) measurements in a rotating magnetic field H exposes a clear fourfold angular oscillation of CP(ϕ), signifying that the field—induced quasiparticle density of state is strongly anisotropic29. Additionally no considerable angular oscillation was observed in CP(ϕ) of Lu5Rh6Sn18, a reference compound of an isotropic superconducting gap.
We have recently reported superconducting properties of the caged type compound Lu5Rh6Sn18 using magnetization, heat capacity and muon spin relaxation measurements30. ZF—μSR measurements reveal the spontaneous appearance of an internal magnetic field below the superconducting transition temperature, which indicates that the superconducting state in this material is characterized by the broken time-reversal symmetry30. From a series of experiments22 on R5Rh6Sn18 (R = Lu, Sc, Y and Tm), it was concluded that the superconducting gap structure is strongly dependent on the rare earth atom, but whose origin remains undetermined29. In this work, we address these matters by ZF—μSR measurements for the Y5Rh6Sn18 system. The results unambiguously reveal the spontaneous appearance of an internal magnetic field in the SC state, providing clear evidence for broken time reversal symmetry.
Results and Discussion
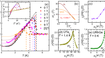
The bulk nature of superconductivity in Y5Rh6Sn18 was established by the magnetic susceptibility χ(T), as shown in Fig. 2(a). The low-field susceptibility displays a robust diamagnetic signal due to a superconducting transition at Tc = 3.0 K. Figure 2(b) shows the magnetization M(H) curve at 2 K, which is typical for type—II superconductivity. Remarkably, the electrical resistivity ρ(T) of Y5Rh6Sn18 shows uncommon (not shown here) non-metallic behavior29 on cooling down to just above Tc with a high residual resistivity ρ0 of 350 μΩ cm. A moderately rare state in which the anisotropic superconductivity persists in an incoherent metallic state is suggested to occur in Y5Rh6Sn18.
(a) Temperature dependence of the dc susceptibility χ(T) of Y5Rh6Sn18 under the field of 50 Oe for zero field cooled (ZF) and field cooled (FC) sequences. (b) Low field part of the magnetization loop at 2.0 K. (c) shows the T2 dependence of the specific heat divided by T .i.e. CP/T vs. T2. The solid line shows the fit (using CP/T = γ + βT2 + δT4). (d) temperature dependence of electronic specific heat Ce under zero field after subtracting the lattice contribution for Y5Rh6Sn18.
Figure 2(c) displays CP(T) at H = 0 and 6.0 T. Below 3.0 K in zero field a sharp anomaly is detected demonstrating the superconducting transition which matches well with χ(T) data. Subsequently the normal—state specific heat was found to be invariable under external magnetic fields. The normal-state electronic specific heat coefficient γ and the lattice specific heat coefficient β were deduced from the data in a field of 6.0 T by a least-square fitting of the CP/T data to CP/T = γ + βT2 + δT4. This analysis provides a Sommerfeld coefficient γ = 38.13(3) mJ/(mol-K2) and the Debye temperature ΘD = 183(2) K. We found the specific heat jump ΔCP(Tc) = 223 mJ/(mol K) and Tc = 3.0 K, which yields ΔC/γTc = 1.95.
Figure 2(d) shows the electronic specific heat Ce which was obtained after subtraction of the phonon part, to illuminate the superconducting gap symmetry. In case of line-nodes in the superconducting gap structure, T2 dependence of the Ce is anticipated below Tc. We find a power law Ce = cTα with an exponent close to 3 (α = 2.93) over a comprehensive temperature region. This cubic temperature dependence suggest that Y5Rh6Sn18 has an anisotropic superconducting gap with a point node, such as has been found for the borocarbides YNi2B2C and LuNi2B2C. Analogous behavior is also detected in the heavy fermion superconductor UBe13, which reveals a T2.9 dependence of the specific heat below Tc together with a higher fraction31 of the ratio ΔC/γTc = 2.5. On the other hand, Ce of Lu5Rh6Sn18 behaves as an exponential dependence. We obtained the specific heat jump ΔCP(Tc) = 397 ± (3) mJ/(mol K) and Tc = 4.0 ± (0.2) K, which yields ΔC/γTc = 2.06 ± (0.03) for Lu5Rh6Sn18. From the exponential dependence of Ce, we obtained 2Δ(0)/kBTc to be 4.26 ± (0.04) for Lu5Rh6Sn18. Because this value is relatively larger than that of the theoretical BCS limit of weak-coupling superconductor (3.53), the Lu5Rh6Sn18 compound is characterized as a strong-coupling superconductor29,30.
In order to determine the superfluid density or superconducting gap structure of Y5Rh6Sn18 we have carried out TF—μSR measurements at 400 G (well above lower critical field) applied magnetic field at 0.1 and 4.0 K as shown in Fig. 3(a,b). A clear difference is evident in the relaxation rate below and above Tc. Below Tc, the TF—μSR precession signal decays with time due to inhomogeneous field distribution of the flux-line lattice. The analysis of our TF—μSR asymmetry spectra was carried out in the time domain using the following functional form,

where vs and vbg are the frequencies of the muon precession signal and background signal, respectively with phase angle ϕi (i = 1, 2). The first term gives the overall sample relaxation rate σ; there are contributions from both the vortex lattice (σsc) and nuclear dipole moments (σnm, which is expected to be constant over the whole temperature region) below Tc [where σ = ]. The contribution from the vortex lattice was determined by quadratically subtracting the background nuclear dipolar relaxation rate obtained from spectra measured above Tc. The relaxation rate from the vortex lattice is directly associated to the magnetic penetration depth, the superconducting gap function can be demonstrated by,

where

is the Fermi function32. The T dependence of the superconducting gap function is estimated by the expression33

TF—field μSR spin precession signals of Y5Rh6Sn18 taken at applied magnetic field of H = 400 G.
Here we have shown only the real component: (a) in the normal state at 4.0 K and (b) in the superconducting state at 0.1 K. Solid lines represent fits to the data using Eq. (1). (c) Temperature dependence of the muon Gaussian relaxation rate σsc(T). The line is a fit to the data using an isotropic model (Eq. (2)).
Figure 3(c) shows the T dependence of the term σsc which can be directly connected to the superfluid density. From this, the nature of the superconducting gap can be determined. The data can be well modeled using a single isotropic s—wave gap of 0.5 ± 0.05 meV. This gives a gap of 2Δ/kBTc = 3.91 ± 0.03. For Lu5Rh6Sn18, the analysis of temperature dependence of the magnetic penetration depth suggest an isotropic s—wave character for the superconducting gap with a gap value 2Δ/kBTc = 4.4 ± 0.02, which is significantly higher than the 3.53 expected for BCS superconductors. This is an indication of the strong electron—phonon coupling in the superconducting state. Y5Rh6Sn18 is a type II superconductor, supposing that approximately all the normal state carriers (ne) contribute to the superconductivity (i.e. ns ~ ne), we have estimated the values of effective mass of the quasiparticles m* ≈ 1.21 me and superconducting electron density ≈ 2.3 × 1028 m−3 respectively. Additional details on these calculations can be found in Ref. 34, 35, 36.
Figure 4(a) shows the time evolution of the zero field muon spin relaxation asymmetry spectra in Y5Rh6Sn18 at temperatures above and below Tc. A constant background signal arising from muons stopping in the silver sample holder has been deducted from the data. Below Tc, we observed that muon spin relaxation became faster with decreasing temperature down to lowest temperature, which is indicating the appearance of the spontaneous local field in the superconducting phase. No signature of muon spin precession is visible, which excludes internal fields produced by magnetic ordering as the origin of the spontaneous field. The only possibility is that the muon—spin relaxation is due to static, randomly oriented local fields associated with the nuclear moments at the muon site. The ZF—μSR spectra for Y5Rh6Sn18 can be well described by the damped Gaussian Kubo—Toyabe (K—T) function,

where

is the K—T functional form expected from an isotropic Gaussian distribution of randomly oriented static (or quasistatic) local fields at muon sites. λ is the electronic relaxation rate, A1 is the initial asymmetry, Abg is the background. The parameters σKT, A1 and Abg [not shown here] are found to be temperature independent all across the phase transition.
(a) Zero-field μSR time spectra for Y5Rh6Sn18 measured across the superconducting transition temperature 3 K, are shown together with lines that are least squares fits to the data using Eq. (5). (b) shows the temperature dependence of the exponential relaxation rate measured in zero magnetic field of Y5Rh6Sn18. The lines are guides to the eye. The extra relaxation below Tc indicates additional internal magnetic fields and, consequently, suggests the superconducting state has broken time reversal symmetry. Longitudinal field μSR time spectrum taken at (c) 0.1 K and (d) 3.8 K in presence of various applied magnetic fields.
Figure 4(b) shows the temperature dependence of λ. In the normal state above Tc, λ is due to dipolar fields from neighboring nuclear magnetic moments. It is extraordinary that λ shows a substantial rise below Tc, signifying the presence of a spontaneous internal field associated with the superconductivity. Further the temperature dependent λ exhibits nearly linear increase with decreasing temperature below Tc. This observation provides unequivocal sign that TRS is broken in the SC state, below Tc that may suggest a possibility of an unusual superconducting mechanism below 2 K, of Y5Rh6Sn18. Such a change in λ has only been detected in superconducting Sr2RuO4, LaNiC2 and Lu5Rh6Sn184,11,30. This rise in λ can be described in terms of a considerable internal field with a very small frequency as conferred by Luke et. al.4 for Sr2RuO4. This proposes that the field distribution is Lorentzian in nature analogous to Sr2RuO4. The temperature dependence of λ compares quantitatively with that in in Sr2RuO4, Lu5Rh6Sn18, LaNiC2 and Y5Rh6Sn18 and thus we attribute this behavior of λ to the TRS breaking below Tc in Y5Rh6Sn18. A longitudinal magnetic field of just 25 G [Fig. 4(c)] removes any relaxation due to the spontaneous fields and is sufficient to fully decouple the muons from this relaxation channel. This in turn shows that the associated magnetic fields are in fact static or quasistatic on the time scale of the muon precession. These observations further support the broken TRS in the superconducting state of Y5Rh6Sn18. The increase in the exponential relaxation for Lu5Rh6Sn18 below Tc is, 0.045 μs−1, which corresponds to a characteristic field strength λ/γμ = 0.5 G. For Y5Rh6Sn18, the rise in the exponential relaxation below Tc is, 0.0184 μs−1, which resembles a characteristic field strength λ/γμ = 0.21 G, where γμ is the muon gyromagnetic ratio = 13.55 MHz/T. This is about half the value as observed in Lu5Rh6Sn18, the B phase of UPt3 and Sr2RuO47. No theoretical estimates of the characteristic fields strength in Y5Rh6Sn18 are yet presented; however, we presume them to be analogous to those in Sr2RuO4 and UPt3 as the fields should arise from an analogous mechanism.
Time reversal symmetry breaking in the superconducting state has significant consequences for the symmetry of pairing and for the quasi-particle spectrum. A typical symmetry analysis37 carried out under the theory of strong spin orbit coupling, yields two possibilities, one with singlet pairing (d + id character) and additional one triplet pairing (non-unitary). The singlet pairing state has a line node and two point nodes and the non-unitary triplet state has two point nodes. Below the superconducting transition temperature the thermodynamics of the singlet state would be dominated by the line node, yielding quadratic temperature dependence of the electronic specific heat. Likewise, the non-unitary triplet pairing state would be dominated by the point nodes, which happen to be shallow (a result protected by symmetry) and consequently also lead to Ce ~ T2 38. Though, because of the location of the nodes in the triplet case, fully-gapped behavior may be recovered depending on the topology of the Fermi surface. Furthermore certain limiting cases of the triplet state correspond to regular, i.e. linear point nodes (cubic temperature dependence of the electronic heat capacity) as well as to a more unusual state with a nodal surface (gapless superconductivity, Ce ~ T). The allowed pairing states and their quasiparticle spectra are discussed in detail in the Supplementary Online Material39.
Conclusions
In summary, we have investigated the vortex state in Y5Rh6Sn18 by using zero field and transverse field muon spin relaxation measurements. Below the superconducting transition temperature, the ZF-μSR measurements revealed an appreciable increase in the internal magnetic fields which does not coincide with the superconducting phase transition at Tc = 3.0 K and which may indicate different nature of SC below and above 2 K. The appearance of spontaneous magnetic fields in our ZF-μSR measurements, deliver undoubted evidence for TRS breaking in this material and an unconventional pairing mechanism. TF—μSR measurements yield a magnetic penetration depth that is exponentially flat at low temperatures and so our data can be fit to a single-gap BCS model. Symmetry analysis suggests either a singlet d + id state with a line node or, alternatively, nonunitary triplet pairing with point nodes, which may be linear or shallow and can become fully gapped depending on the Fermi surface topology39. The heat capacity below Tc exhibits ~T3 supporting point nodes scenario.
Methods
An important step to study the intrinsic, particularly anisotropic properties is to grow sizable single crystals. The single crystals of Y5Rh6Sn18 were grown by liquefying the constituent elements in an excess of Sn—flux in the proportion of Y:Rh:Sn = 1:2:20. The quartz tube was heated up to 1323 K, kept at this temperature for about 3 h and cooled down to 473 K at a rate of 5 °C/h, taking 168 hr in total. The excess flux was detached from the crystals by spinning the ampoule in a centrifuge20. Several single crystals of Y5Rh6Sn18 were obtained having typical dimensions of 3 × 3 × 2 mm3. Laue patterns were recorded with a Huber Laue diffractometer. Well defined Laue diffraction spots indicates the high quality of the single crystals. The phase purity was inferred from the powder x—ray patterns, which were indexed as the Y5Rh6Sn18 phase with the space group20 I41/acd [lattice parameters: a = 1.375(3) nm, c = 2.745(1)]. The magnetization data were measured using a Quantum Design Superconducting Quantum Interference Device. The heat capacity were measured down to 500 mK using Quantum Design Physical Properties Measurement System equipped with a 3He refrigerator.
Muon spin relaxation is a dynamic method to resolve the type of the pairing symmetry in superconductors40. The mixed or vortex state in case of type-II superconductors gives rise to a spatial distribution of local magnetic fields; which demonstrate itself in the μSR signal through a relaxation of the muon polarization. We further employed the muon spin relaxation technique to examine the superconducting ground state. The zero field, transverse field (TF) and longitudinal field (LF) measurements were performed at the MUSR spectrometer at the ISIS Pulsed Neutron and Muon Facility located at the Rutherford Appleton Laboratory, United Kingdom. The ZF—μSR experiments were conducted in the longitudinal geometry. The unaligned single crystals were mounted on a high purity silver plate (99.995%) using diluted GE Varnish for cryogenic heatsinking, which was placed in a dilution refrigerator with a temperature range of 100 mK to 4.4 K. TF—μSR experiments were performed in the superconducting mixed state in applied field of 400 G, well above the lower critical field of 18 G of Y5Rh6Sn18. Data were collected in the field—cooled mode where the magnetic field was applied above the superconducting transition and the sample was then cooled down to base temperature. Using an active compensation system the stray magnetic fields at the sample position were canceled to a level of 0.01 G. Spin-polarized muon pulses were implanted into the sample and the positrons from the subsequent decay were collected in positions either forward or backwards of the initial muon spin direction. The asymmetry of the muon decay is calculated by, Gz(t) = [NF(t) − αNB(t)]/[NF(t) + αNB(t)], where NB(t) and NF(t) are the number of counts at the detectors in the forward and backward positions and α is a constant determined from calibration measurements made in the paramagnetic state with a small (20 G) applied transverse magnetic field. The data were analyzed using the free software package WiMBDA41.
Additional Information
How to cite this article: Bhattacharyya, A. et al. Unconventional superconductivity in Y5Rh6Sn18 probed by muon spin relaxation. Sci. Rep. 5, 12926; doi: 10.1038/srep12926 (2015).
References
Bardeen, J., Cooper, L. N. & Schrieffer, J. R. Theory of superconductivity. Phys. Rev. 108, 1175–1204 (1957).
Sigrist, M. & Ueda, K. Phenomenological theory of unconventional superconductivity. Rev. Mod. Phys. 63, 239–311 (1991).
Schaibley, J. & Xu, X. Spintronics: A lucky break. Nature Physics 10, 798799 (2014).
Luke, G. et al. Time-reversal symmetry-breaking superconductivity in Sr2RuO4 . Nature 394, 558–561 (1998).
Xia, J., Maeno, Y., Beyersdorf, P. T., Fejer, M. M. & Kapitulnik, A. High resolution polar kerr effect measurements of Sr2RuO4: Evidence for broken time-reversal symmetry in the superconducting state. Phys. Rev. Lett. 97, 167002 (2006).
Heffner, R. H. et al. New phase diagram for (U,Th)Be13: A muon-spin-resonance and Hc1 study. Phys. Rev. Lett. 65, 2816–2819 (1990).
Luke, G. M. et al. Muon spin relaxation in UPt3 . Phys. Rev. Lett. 71, 1466–1469 (1993).
Maisuradze, A. et al. Evidence for time-reversal symmetry breaking in superconducting PrPt4Ge12 . Phys. Rev. B 82, 024524 (2010).
Aoki, Y. et al. Time-reversal symmetry-breaking superconductivity in heavy-fermion PrO4Sb12 detected by muon-spin relaxation. Phys. Rev. Lett. 91, 067003 (2003).
Hillier, A. D., Quintanilla, J., Mazidian, B., Annett, J. F. & Cywinski, R. Nonunitary triplet pairing in the centrosymmetric superconductor LaNiGa2 . Phys. Rev. Lett. 109, 097001 (2012).
Hillier, A. D., Quintanilla, J. & Cywinski, R. Evidence for time-reversal symmetry breaking in the noncentrosymmetric superconductor LaNiC2 . Phys. Rev. Lett. 102, 117007 (2009).
Singh, R. et al. Detection of time-reversal symmetry breaking in the noncentrosymmetric superconductor Re6Zr using muon-spin spectroscopy. Phys. Rev. Lett. 112, 107002 (2014).
Hiroi, Z., ichi Yamaura, J. & Hattori, K. Rattling good superconductor: β—pyrochlore oxides AOs2O6 . Journal of the Physical Society of Japan 81, 011012 (2012).
Kuwahara, K. et al. Direct observation of quadrupolar excitons in the heavy-fermion superconductor PrOs4Sb12 . Phys. Rev. Lett. 95, 107003 (2005).
Onimaru, T. et al. Antiferroquadrupolar ordering in a pr-based superconductor PrIr2Zn20 . Phys. Rev. Lett. 106, 177001 (2011).
Koga, M., Matsumoto, M. & Shiba, H. Roles of multipoles and excitons in superconductor PrOs4Sb12 with th symmetry. Journal of the Physical Society of Japan 75, 014709 (2006).
Tsujimoto, M., Matsumoto, Y., Tomita, T., Sakai, A. & Nakatsuji, S. Heavy-fermion superconductivity in the quadrupole ordered state of PrV2Al20 . Phys. Rev. Lett. 113, 267001 (2014).
Onimaru, T. et al. Antiferroquadrupolar ordering in a pr-based superconductor PrV2Al20 . Phys. Rev. Lett. 106, 177001 (2011).
Miraglia, S., Hodeau, J. L., de Bergevin, F., Marezio, M. & Espinosa, G. P. Structural studies by electron and x-ray diffraction of the disordered phases ii’: (Sn1−xTbx)Tb4Rh6Sn18 and (Sn1−xDyx)Dy4Os6Sn18 . Acta Crystallographica Section B 43, 76–83 (1987).
Remeika, J. et al. A new family of ternary intermetallic superconducting/magnetic stannides. Solid State Communications 34, 923–926 (1980).
Bauer, E. D., Frederick, N. A., Ho, P.-C., Zapf, V. S. & Maple, M. B. Superconductivity and heavy fermion behavior in PrOs4Sb12 . Phys. Rev. B 65, 100506 (2002).
Kase, N., Inoue, K., Hayamizu, H. & Akimitsu, J. Highly anisotropic gap function in a nonmagnetic superconductor Y5Rh6Sn18 . Journal of the Physical Society of Japan 80 (2011).
Mazumdar, C. et al. Superconductivity at 12 K in Y2Ni2B2C system. Solid state communications 87, 413–416 (1993).
Cava, R. et al. Superconductivity in the quaternary intermetallic compounds Ln2Ni2B2C. Nature 367, 252–253 (1994).
Cava, R. et al. Superconductivity in lanthanum nickel boro-nitride. Nature 372, 245–247 (1994).
Nohara, M., Isshiki, M., Takagi, H. & Cava, R. J. Magnetic field dependence of the low-temperature specific heat of the borocarbide superconductor Lu2Ni2B2C. Journal of the Physical Society of Japan 66, 1888–1891 (1997).
Nohara, M., Isshiki, M., Sakai, F. & Takagi, H. Quasiparticle density of states of clean and dirty s-wave superconductors in the vortex state. Journal of the Physical Society of Japan 68, 1078–1081 (1999).
Izawa, K. et al. Gap function with point nodes in borocarbide superconductor YNi2B2C. Phys. Rev. Lett. 89, 137006 (2002).
Kase, N., Kittaka, S., Sakakibara, T. & Akimitsu, J. Anisotropic superconductivity of the caged compound Y5Rh6Sn18 with unusual normal-state electrical resistivity. JPS Conf. Proc. 3, 015042 (2014).
Bhattacharyya, A. et al. Broken time-reversal symmetry probed by muon spin relaxation in the caged type superconductor Lu5Rh6Sn18 . Phys. Rev. B 91, 060503(R) (2015).
Ott, H. R. et al. p-wave Superconductivity in Ube13 . Phys. Rev. Lett. 52, 1915–1918 (1984).
Tinkham, M. Introduction to superconductivity (McGraw-Hill, New York), Chap 2 (1975).
Carrington, A. & Manzano, F. Magnetic penetration depth of MgB2 . Physica C: Superconductivity 385, 205–214 (2003).
Hillier, A. & Cywinski, R. The classification of superconductors using muon spin rotation. Applied Magnetic Resonance 13, 95–109 (1997).
Anand, V. K. et al. Physical properties of noncentrosymmetric superconductor LaIrSi3: A μSR study. Phys. Rev. B 90, 014513 (2014).
Adroja, D. T. et al. Probing the vortex state of PrRu4Sb12 through muon spin rotation and relaxation. Phys. Rev. B 72, 184503 (2005).
Sigrist, M. & Ueda, K. Phenomenological theory of unconventional superconductivity. Rev. Mod. Phys. 63, 239–311 (1991).
Mazidian, B., Quintanilla, J., Hillier, A. D. & Annett, J. F. Anomalous thermodynamic power laws near topological transitions in nodal superconductors. Phys. Rev. B 88, 224504 (2013).
Bhattacharyya, A. et al. See supplemental material at http://link.aps.org/supplemental/10.1103/physrevb.91.060503 for a grouptheoretical analysis of the allowed pairing states and their quasiparticle spectra. Phys. Rev. B 91, 060503 (2015).
Sonier, J. E., Brewer, J. H. & Kiefl, R. F. μsr studies of the vortex state in type-II superconductors. Rev. Mod. Phys. 72, 769–811 (2000).
Pratt, F. Wimda: a muon data analysis program for the windows pc. Physica B: Condensed Matter 289, 710–714 (2000).
Acknowledgements
A.B. would like to acknowledge FRC of UJ, SA-NRF and ISIS-STFC for funding support. D.T.A. and A.D.H. would like to thank CMPC-STFC, grant number CMPC-09108, for financial support. A.M.S. thanks the SA-NRF (Grant 93549) and UJ Research Committee and the Faculty of Science for financial support.
Author information
Authors and Affiliations
Contributions
Research problem was formulated by A.B., D.T.A. and A.M.S. The samples were prepared by N.K. and J.A. Experiments were carrier by A.B., A.D.H., D.T.A. and A.M.S. The data analysis and manuscript was prepared by A.B. All authors reviewed the manuscript.
Ethics declarations
Competing interests
The authors declare no competing financial interests.
Rights and permissions
This work is licensed under a Creative Commons Attribution 4.0 International License. The images or other third party material in this article are included in the article’s Creative Commons license, unless indicated otherwise in the credit line; if the material is not included under the Creative Commons license, users will need to obtain permission from the license holder to reproduce the material. To view a copy of this license, visit http://creativecommons.org/licenses/by/4.0/
About this article
Cite this article
Bhattacharyya, A., Adroja, D., Kase, N. et al. Unconventional superconductivity in Y5Rh6Sn18 probed by muon spin relaxation. Sci Rep 5, 12926 (2015). https://doi.org/10.1038/srep12926
Received:
Accepted:
Published:
DOI: https://doi.org/10.1038/srep12926
This article is cited by
-
Complex magnetic properties associated with competing local and itinerant magnetism in \({\text {Pr}}_2 {\text {Co}}_{0.86} {\text {Si}}_{2.88}\)
Scientific Reports (2021)
-
A brief review on μSR studies of unconventional Fe- and Cr-based superconductors
Science China Physics, Mechanics & Astronomy (2018)