Skip to main content

Thank you for visiting nature.com. You are using a browser version with limited support for CSS. To obtain the best experience, we recommend you use a more up to date browser (or turn off compatibility mode in Internet Explorer). In the meantime, to ensure continued support, we are displaying the site without styles and JavaScript.

Original Article in 2010

Filter By:

Article Type
Year
  • A new class of perfluorocyclobutyl poly(arylene ether)s containing 1H-1,2,3-triazoles rings were prepared. The polymer backbones and 1H-1,2,3-triazoles rings are connected by flexible oligo(ethylene oxide) side chains. The preparation process, structure and properties of these polymers of these polymers were investigated.

    • Yuanqin Zhu
    • Haihua Chen
    • Chuanglong He
    Original Article
  • The maximum radial growth rate of spherulites of the novel stereocomplexationable blend of poly(L-2-hydroxybutyrate) (P(L-2HB)) and poly(D-2-hydroxybutyrate) (P(D-2HB)) was observed to be substantially higher than those of pure P(L-2HB) and P(D-2HB). The hydrolytic/thermal degradation rate of the P(L-2HB)/P(D-2HB) blend was retarded as compared with those of pure P(L-2HB) and P(D-2HB). These results indicate that the intermolecular interaction between P(L-2HB) and P(D-2HB) chains having opposite configurations was higher than that between P(L-2HB) or P(D-2HB) chains with the same configurations and are very useful for designing novel P(L-2HB)/P(D-2HB) stereocomplex-based biodegradable materials.

    • Hideto Tsuji
    • Ayaka Okumura
    Original Article
  • This paper describes the synthesis and characterization of exfoliated modified syndiotactic polystyrene/Mg–Al-layered double-hydroxide nanocomposite. Synthesized modified syndiotactic polystyrene were characterized by means of Fourier transform infrared (FT-IR) and 1H nuclear magnetic resonance spectroscopy. The exfoliated sPS-g-(PS-b-PMS)/MgAl-LDH nanocomposite was characterized by means of FT-IR, thermogravimetric analysis, differential scanning calorimetry, X-ray diffraction and transmission electron microscopy.

    • Mehdi Jaymand
    Original Article
  • Four novel poly(arylene ether)s were prepared as functional flexible films with varied morphology, remarkable thermal stability, high optical transmittance, a low dielectric constant of ∼1.9 and good mechanical property. In addition, the influence of arylene ether positions and phenyl substituents on the physical properties of fluorinated polymers was experimentally verified and provides high potential as a substrate for various flexible electronics.

    • Chun-Che Lee
    • Wen-Yao Huang
    Original Article
  • The cloud points in aqueous solutions of poly(N-isopropylacrylamide) samples synthesized by aqueous redox polymerization (R) were found to be definitely higher than those of samples previously synthesized by radical polymerization using azobis(isobutyronitrile) as an initiator in tert-butanol (T) and benzene (B). Further, dependence of the cloud point on the weight-average molecular weight Mw for the R sample was found to be opposite to those for the T and B samples.

    • Tomoyo Ise
    • Kouta Nagaoka
    • Takenao Yoshizaki
    Original Article
  • Physical gel formation of glycopolymers obtained from chemical modification of ethylene-vinyl alcohol copolymers with aminosaccharides is observed. Tgel is located in EVOH68F-Gl at slightly higher temperatures than that for EVOH56F-Gl, indicating a higher hindrance of hydrophilic interactions responsible for network formation, which are related to overall hydroxyl composition and their spatial position.

    • Maria L Cerrada
    • Carolina Ruiz
    • Marta Fernández-García
    Original Article
  • Time dependencies of the mechanical breaking stress (BS) of draglines secreted by a diurnal Nephila clavata spider and a nocturnal Yaginumia sia spider. The draglines were irradiated with UV-A* rays, which were prepared by cutting wavelengths shorter than 320 nm from a xenon-arc lamp with special filters. ○: N. clavata, •: Y. sia. In this study, the normalized BS is used by dividing the observed values of BS by the initial value before UV-A* irradiation.

    • Shigeyoshi Osaki
    • Masao Osaki
    Original Article
  • Seven novel types of acetylene monomers (PSRs) having a 4′-substituted phenyl moiety or 4′-substituted biphenyl moiety as a pendant group were synthesized from 4-oxo-4-(prop-2-ynyloxy)butanoic acid with phenol derivatives, and polymerized with the rhodium-catalyzed system. All four PSRs having 4′-substituted biphenyl moiety as a pendant group showed a liquid crystalline phase and two of these polymers showed a nematic phase.

    • Kenichi Mizuta
    • Noriyuki Hiraga
    • Tsutomu Oishi
    Original Article
  • Time dependence of ultraviolet UV-B* irradiation (prepared by excluding wavelengths shorter than 290 nm from a xenon-arc lamp) on the breaking stress (BS) and elastic limit stress (ES) of draglines (mean value±s.e.) secreted from a female Nephila clavata spider. UV-A* irradiation changed the BS markedly but the ES remained almost constant. The probability of the breaking of draglines is very high in the BS as the maximal limit of the nonlinear region, but very low in the ES as the maximal limit in the linear region. Thus, spiders could not trust all the mechanical functions of the nonlinear region. In contrast, spiders could trust the ES as they can estimate the limit in the linear region. Closed circles represent ES and open circles represent BS.

    • Shigeyoshi Osaki
    Original Article
  • Asymmetric anionic homopolymerizations of N-substituted maleimides bearing an azo group (RMI: R=4-(phenylazo)phenyl (PAPMI), 4-(phenylazo)-1-naphthyl (PANMI)) were performed with n-BuLi or Et2Zn—chiral ligand ((1-ethylpropylidene) bis (4-benzyl-2-oxazoline) (Bnbox) or (−)-sparteine (Sp)) complexes to obtain optically active polymers. Trans–cis photoisomerizations of poly(PAPMI) and poly(PANMI) caused by ultraviolet (UV) irradiation were observed from UV spectra. The Cotton effects for trans isomers of poly(PAPMI) and poly(PANMI) were relatively small, but those for cis isomers of poly(PAPMI) and poly(PANMI) clearly exhibited a split circular dichroism curve.

    • Tsutomu Oishi
    • Motohisa Azechi
    • Kenjiro Onimura
    Original Article
  • Ionic Liquids (ILs) are design solvents for free radical polymerization and preparation of composite materials! There is NO general rule for choosing of ionic solvent, but by means of design it is possible to select the best one for a concrete process. CF3SO3 and CF3COO based ILs provide the formation of highest molecular weight polyacrylonitrile (PAN, Mn≈8.8 × 105) and polymethylmethacrylate (PMMA, Mw≈18.9 × 105) in a quantitative yield (PAN – 96%, PMMA – 92%). (CF3CF2)3PF3 ILs promote the formation of high molecular weight PMMA even upon the polymerization under the atmospheric pressure with the presence of air oxygen. Nature of the IL stongly influences the properties of the resulted composites films, namely, their flexibility, transparency and surface morphology. Composite films derived from PAN and B(CN)4 ionic liquids possess ionic conductivity as high as 1.0 × 10−2 S cm−1 at 25°C.

    • Yakov S Vygodskii
    • Dmitrii A Sapozhnikov
    • Inna A Malyshkina
    Original Article
  • The static structure of polyrotaxane (PR) possessing a supramolecular structure in which cyclic molecules are threaded into an axial polymer was investigated. Using contrast variation small-angle neutron scattering, the conformation of the axial linear polymer and the alignment of cyclic molecules within the axial polymer in a good solvent were evaluated quantitatively, together with derivation of detailed scattering theory. The entropic origin of the stiffing of PR due to the array of cyclic molecules was also discussed.

    • Hitoshi Endo
    • Koichi Mayumi
    • Mitsuhiro Shibayama
    Original Article
  • A bifunctional cobalt Salen complex containing a Lewis acid metal center and two covalent bonded Lewis base units on the ligand was designed and used for the coupling of carbon dioxide (CO2) and epoxides at mild conditions. The Tg of the propylene oxide/cyclohexene oxide/CO2 terpolymer can be easily adjusted between 40 and 118.9 °C.

    • Hongchun Li
    • Yongsheng Niu
    Original Article
  • A series of poly(multidimethylsiloxane-1,4-ethynylenephenyleneethynylene)s were synthesized by condensation reactions of 1,4-diethynylbenzene magnesium reagents with various α,ω-dichlorodimethylsiloxanes. These polymers can be thermally cured to produce highly crosslinked structures. The glass transition temperatures of the cured polymers decrease with an increase in the siloxane chain length. The cured polymers are thermally stable up to almost 450 °C in both N2 and air. The silicon oxycarbide ceramics were obtained when the cured polymers were pyrolyzed at 1200 °C under argon.

    • Fei Gao
    • Farong Huang
    • Lei Du
    Original Article
  • Cocrystallization phenomenon between the deuterated (D) and hydrogenated (H) species of a series of polyoxymethylene blends with various H/D ratios has been established on the basis of the detailed analysis of thermal and infrared (IR) spectral data. The melting and crystallization temperatures were found to shift continuously toward higher temperature side, with an increase of the D content. The IR spectra were found to change remarkably depending on the H/D blend content. These continuous changes have been interpreted reasonably by assuming the random arrays of the H and D chains in the crystal lattice.

    • Thontree Kongkhlang
    • Kummetha Raghunatha Reddy
    • Kohji Tashiro
    Original Article
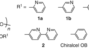
  • The cellulose derivatives bearing pyridyl and bipyridyl residues were synthesized, and their recognition abilities as chiral stationary phases for high-performance liquid chromatography were evaluated. Among them, the cellulose derivatives with regioselective substitution of bipyridyl residues exhibited a relatively high chiral recognition. The recognition ability of the derivatives was significantly influenced by the coordination of a Cu(II) ion to the bipyridyl residues. In addition, the derivatives were also used for the ligand-exchange chromatography with an eluent containing a copper salt in order to directly separate amino acids without derivatization.

    • Yasunaka Katoh
    • Yasutaka Tsujimoto
    • Yoshio Okamoto
    Original Article
  • A method to evaluate both the growth rate and the number of spherulites effectively growing with time at constant temperature is shown for a polyoxymethylene copolymer (POMC). It consists in following the development of the crystallinity with time by differential scanning calorimetry and in estimating the maximum radial dimension of coalesced spherulites in the crystallized sample by scanning electron microscopy. The method is applicable to any linear polymer to obtain information on the nucleation and growth processes.

    • Maria Raimo
    Original Article
  • A series of novel fluorinated crosslinkable poly(phthalazinone ether)s, bearing tetrafluorostyrene groups (FSt-FPPEs), have been prepared by polycondensation. The structures were identified using 1H-NMR and infrared spectroscopy measurements. The resulting polymers could be thermally crosslinked either at 160 °C in the presence of a free radical initiator dicumyl peroxide under vacuum or at 280 °C in the absence of any initiator under vacuum. The refractive indices of the crosslinked polymers could be well controlled over a wide range; crosslinked polymers also show low optical losses at 1550 nm. These results indicate that the application of FSt-FPPE in the field of optical waveguide seems feasible and promising.

    • Guanghui Li
    • Jinyan Wang
    • Mingshan Zhao
    Original Article
  • Three types of poly(4-diphenylaminostyrene) (PDAS) having different polymer chain structures were prepared by living anionic polymerization, and the electroluminescence of PDAS/tris(8-hydroxyquinoline) aluminum (Alq3) blend films was examined. The hole drift mobility of PDAS increased with an increase in the syndiotactic configuration. The current density, turn-on voltage and brightness were also improved with an increase in the syndiotactic configuration of PDAS.

    • Itaru Natori
    • Shizue Natori
    • Kenji Ogino
    Original Article

Search

Quick links