Filter By:

Journal Check one or more journals to show results from those journals only.

Choose more journals

Article type Check one or more article types to show results from those article types only.
Subject Check one or more subjects to show results from those subjects only.
Date Choose a date option to show results from those dates only.

Custom date range

Clear all filters
Sort by:
Showing 1–50 of 82 results
Advanced filters: Author: Cheryl H. Arrowsmith Clear advanced filters
  • PROTAC development has surged in popularity, however our ability to characterize PROTAC specificity in living cells has lagged behind. Here, the authors develop ProtacID, a flexible proximity-dependent biotinylation (BioID)-based approach to identify PROTAC-protein interactions in living cells.

    • Suman Shrestha
    • Matthew E. R. Maitland
    • Brian Raught
    ResearchOpen Access
    Nature Communications
    Volume: 16, P: 1-11
  • Human proteases TMPRSS2 and TMPRSS11D can be highjacked to mediate cell entry of respiratory viruses. This study examines the biochemical and structural basis of TMPRSS11D auto-activation and substrate specificity, informing peptidomimetic inhibitor development.

    • Bryan J. Fraser
    • Ryan P. Wilson
    • Cheryl H. Arrowsmith
    ResearchOpen Access
    Nature Communications
    Volume: 16, P: 1-13
  • Nie et al. describe a mechanism underlying the degradation of the histone methyltransferase NSD2 through the recruitment of FBXO22 E3 ligase, providing a chemical probe for NSD2 function study and targeted protein degradation.

    • David Y. Nie
    • John R. Tabor
    • Cheryl H. Arrowsmith
    Research
    Nature Chemical Biology
    Volume: 20, P: 1597-1607
  • The p30 isoform of C/EBPα associated with leukemia interacts with WDR5, a component of the SET/MLL histone methyltransferase complex. A small molecule, OICR-9429, disrupted p30-WDR5 interactions, resulting in differentiation of p30-expressing leukemia cells.

    • Florian Grebien
    • Masoud Vedadi
    • Giulio Superti-Furga
    Research
    Nature Chemical Biology
    Volume: 11, P: 571-578
  • Owens et al. reported PFI-7, a selective and potent antagonist of GID4 of the CTLH E3 ligase complex, which enables identification of human GID4 targets. This study provides valuable insights into GID4 functions and a powerful tool for advancing new targeted protein degradation strategies.

    • Dominic D. G. Owens
    • Matthew E. R. Maitland
    • Cheryl H. Arrowsmith
    Research
    Nature Chemical Biology
    Volume: 20, P: 1164-1175
  • Type I PRMT inhibition elicits potent antitumor activity associated with increased interferon response and intron-retained dsRNA accumulation, suggesting its potential combination with immune checkpoint inhibitors for cancer treatment.

    • Qin Wu
    • David Y. Nie
    • Cheryl H. Arrowsmith
    ResearchOpen Access
    Nature Chemical Biology
    Volume: 18, P: 821-830
  • Triple negative breast cancer is a deadly form of breast cancer with limited therapeutic options. Here the authors show the efficacy of GLUT1 pharmacological inhibition against a subset of tumors expressing RB1, thereby identifying RB1 protein level as a biomarker of sensitivity to anti-GLUT1 therapy.

    • Qin Wu
    • Wail ba-alawi
    • Cheryl H. Arrowsmith
    ResearchOpen Access
    Nature Communications
    Volume: 11, P: 1-12
  • Design of cysteine-targeting analogs of a reversible SETDB1 triple Tudor domain (3TD) ligand, UNC6535, led to UNC10013, a potent covalent ligand with high selectivity. UNC10013 demonstrated allosteric inhibition of SETDB1-mediated Akt methylation in cells, a promising approach to SETDB1 therapeutics.

    • Mélanie Uguen
    • Devan J. Shell
    • Stephen V. Frye
    ResearchOpen Access
    Nature Communications
    Volume: 16, P: 1-16
  • Arrowsmith and Schapira review recent progress in the discovery of drug-like small molecules that antagonize the function of non-bromodomain chromatin readers.

    • Cheryl H. Arrowsmith
    • Matthieu Schapira
    Reviews
    Nature Structural & Molecular Biology
    Volume: 26, P: 863-869
  • The arginine methyltransferase PRMT5 is over-expressed in cancer and has a role in the maintenance of stem cells. Here, the authors show that PRMT5 inhibitors can block the growth of patient derived glioblastoma stem cell cultures in vitro and in vivo, suggesting that PRMT5 inhibition may be a useful therapeutic strategy

    • Patty Sachamitr
    • Jolene C. Ho
    • Peter B. Dirks
    ResearchOpen Access
    Nature Communications
    Volume: 12, P: 1-17
  • Protein methyltransferases (PMTs) are epigenetic regulatory enzymes with significant therapeutic relevance. Here the authors describe a collection of chemical inhibitors and antagonists to modulate most of the key methylation marks on histones H3 and H4, and use the collection to study of the role of PMTs in mouse and human T cell differentiation.

    • Sebastian Scheer
    • Suzanne Ackloo
    • Cheryl H. Arrowsmith
    ResearchOpen Access
    Nature Communications
    Volume: 10, P: 1-14
  • Here the authors suggest that in Atypical Teratoid Rhabdoid Tumors, EZH2 inhibition triggers a viral mimicry response via the activation of genes with intronic IR-Alu elements. This response also involves enhanced LINE-1 expression, leading to activation of cGAS/STING signalling.

    • Shengrui Feng
    • Sajid A. Marhon
    • Daniel D. De Carvalho
    ResearchOpen Access
    Nature Communications
    Volume: 15, P: 1-18
  • Over the past 30 years, the field of structural biology and its associated biological insights have seen amazing progress. In this Comment, I recount several milestones in the field and how we can apply lessons from the past toward an exciting future, especially as it relates to drug discovery.

    • Cheryl H. Arrowsmith
    Comments & Opinion
    Nature Structural & Molecular Biology
    Volume: 31, P: 395-396
  • Pirh2 is one of several ubiquitin ligases known to modify and negatively regulate p53. Solution studies reveal the structures of the three Pirh2 domains and indicate that the C-terminal domain of Pirh2 interacts with the p53 tetramerization domain. Additional data suggest that Pirh2 preferentially modifies the tetrameric, transcriptionally active form of p53 for proteasome-mediated degradation.

    • Yi Sheng
    • Rob C Laister
    • Cheryl H Arrowsmith
    Research
    Nature Structural & Molecular Biology
    Volume: 15, P: 1334-1342
  • DNA damage-induced micronuclei are linked to downstream viral signalling through the cGAS pattern recognition receptor. Here, the authors identify features of micronuclei chromatin that determine cGAS-MN recruitment and associated pathway activation.

    • Kate M. MacDonald
    • Shirony Nicholson-Puthenveedu
    • Shane M. Harding
    ResearchOpen Access
    Nature Communications
    Volume: 14, P: 1-15
  • Discovery of a chemical probe targeting the PWWP domain of NSD2 reveals insight into mechanisms that govern NSD2 localization. The compound and its negative control represent valuable tools for further defining NSD2 biology.

    • David Dilworth
    • Ronan P. Hanley
    • Matthieu Schapira
    Research
    Nature Chemical Biology
    Volume: 18, P: 56-63
  • PRDM9 is a PR domain containing histone methyl transferase which expression is normally restricted to the germline that has also been linked to a number of somatic cancers. Here the authors describe the identification of a small molecule that selectivity inhibits the methyltransferase activity of PRDM9 in biochemical and cellular assays

    • Abdellah Allali-Hassani
    • Magdalena M. Szewczyk
    • Masoud Vedadi
    ResearchOpen Access
    Nature Communications
    Volume: 10, P: 1-11
  • Bromodomains are conserved protein interaction modules that recognize acetyl-lysine modifications. Here the authors present a set of 25 selective small molecule inhibitors covering 29 human bromodomain targets and comprehensively evaluate the selectivity of this probe-set.

    • Qin Wu
    • David Heidenreich
    • Stefan Knapp
    ResearchOpen Access
    Nature Communications
    Volume: 10, P: 1-14
  • A chemical probe BI-9321 for the PWWP1 domain of NSD3 and its inactive analog were identified. BI-9321 binds to the methyl-lysine binding site, reduces the association of NSD3 with chromatin and inhibits proliferation of acute myeloid leukemia cells.

    • Jark Böttcher
    • David Dilworth
    • Darryl B. McConnell
    Research
    Nature Chemical Biology
    Volume: 15, P: 822-829
  • Protein arginine methyltransferases (PRMTs) are increasingly recognized as potential therapeutic targets but PRMT7 remains an understudied member of this enzyme family. Here, the authors develop a chemical probe for PRMT7 and apply it to elucidate the role of PRMT7 in the cellular stress response.

    • Magdalena M. Szewczyk
    • Yoshinori Ishikawa
    • Dalia Barsyte-Lovejoy
    ResearchOpen Access
    Nature Communications
    Volume: 11, P: 1-15
  • OICR-41103 is a potent, selective probe targeting the DCAF1 WDR domain and displacing viral Vpr protein. It enables new opportunities in cancer research, antiviral therapy, and targeted protein degradation via PROTACs.

    • Serah W. Kimani
    • Mahmoud Noureldin
    • Levon Halabelian
    ResearchOpen Access
    Communications Biology
    Volume: 8, P: 1-12
  • The tumor suppressor p53 protects the cell from cellular stress, and in so doing it decides between cell-cycle arrest and cell death. The high-resolution structure of four DNA binding domains of p53 in complex with DNA shows how the structural collaboration between protein and DNA may influence the biological outcomes of the tumor suppressor.

    • Seth Chitayat
    • Cheryl H Arrowsmith
    News & Views
    Nature Structural & Molecular Biology
    Volume: 17, P: 390-391
  • The immunoglobulin domain framework of antibodies has been a long standing design challenge. Here, the authors describe design rules for tailoring these domains and show they can be accurately designed, de novo, with high stability and the ability to scaffold functional loops.

    • Tamuka M. Chidyausiku
    • Soraia R. Mendes
    • Enrique Marcos
    ResearchOpen Access
    Nature Communications
    Volume: 13, P: 1-14
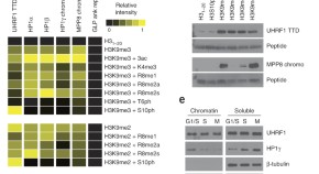
  • The E3 ubiquitin ligase UHRF1 has been genetically linked to the establishment and maintenance of DNA methylation in mammals. A new study now provides mechanistic insight by demonstrating that binding of UHRF1 to methylated histone H3 lysine 9 during mitosis is needed for stability of DNA methyltransferase 1 and the faithful propagation of DNA methylation.

    • Scott B Rothbart
    • Krzysztof Krajewski
    • Brian D Strahl
    Research
    Nature Structural & Molecular Biology
    Volume: 19, P: 1155-1160
  • Protein lysine methyltransferases modulate the activities of chromatin and non-chromatin proteins by specific methylation of lysine side chains. A large-scale structure-based design approach has yielded a new chemical probe that potently and selectively inhibits G9a and GLP methyltransferases in cells.

    • Masoud Vedadi
    • Dalia Barsyte-Lovejoy
    • Jian Jin
    Research
    Nature Chemical Biology
    Volume: 7, P: 566-574
  • Methylation of lysine residues regulates chromatin function in part by recruiting readers to these marks. UNC1215, a selective antagonist of the methyllysine reader L3MBTL3 with a polyvalent mode of interaction, reveals BCLAF1 as a methyllysine-dependent interaction partner for L3MBTL3.

    • Lindsey I James
    • Dalia Barsyte-Lovejoy
    • Stephen V Frye
    Research
    Nature Chemical Biology
    Volume: 9, P: 184-191
  • Using unique barcodes for tumour cells, the authors explore the dynamics of human glioblastoma subpopulations, and suggest that clonal heterogeneity emerges through stochastic fate decisions of a neutral proliferative hierarchy.

    • Xiaoyang Lan
    • David J. Jörg
    • Peter B. Dirks
    Research
    Nature
    Volume: 549, P: 227-232
  • A ChIP-seq analysis of the DNA-binding properties of mutant gain-of-function p53 protein compared to wild-type p53 reveals the gain-of-function proteins bind to and activate a distinct set of genes including chromatin modifying enzymes such as the histone methyltransferase MLL; small molecular inhibitors of MLL function may represent a new target for cancers with mutant p53.

    • Jiajun Zhu
    • Morgan A. Sammons
    • Shelley L. Berger
    Research
    Nature
    Volume: 525, P: 206-211
  • Adoptive T cell therapy using an allogeneic T cell graft is an encouraging therapeutic approach in cancer, but issues such as graft-versus-host disease can hinder applicability. Here, the authors show that DOT1L inhibition or DUSP6 overexpression in T cells attenuates graft-versus-host disease but retains anti-tumour activity in mouse models.

    • Yuki Kagoya
    • Munehide Nakatsugawa
    • Naoto Hirano
    ResearchOpen Access
    Nature Communications
    Volume: 9, P: 1-17
  • SUV4-20 members mediate the di- and trimethylation of lysine 20 on histone H4. A chemical screen led to the identification of A-196 as a potent and selective inhibitor of SUV4-20 that decreases H4K20 methylation and alters DNA damage response.

    • Kenneth D Bromberg
    • Taylor R H Mitchell
    • William N Pappano
    Research
    Nature Chemical Biology
    Volume: 13, P: 317-324
  • Eukaryotic elongation factor 1 alpha (eEF1A) is subject to extensive post-translational methylation but not all responsible enzymes are known. Here, the authors identify METTL13 as an eEF1A methyltransferase with dual specificity, which is involved in the codon-specific modulation of mRNA translation.

    • Magnus E. Jakobsson
    • Jędrzej M. Małecki
    • Pål Ø. Falnes
    ResearchOpen Access
    Nature Communications
    Volume: 9, P: 1-15
  • A substantial obstacle in basic research is the use of poorly validated tool compounds with purported useful biological functions. Here, the authors systematically profile widely used histone acetyltransferase inhibitors and find that the majority are nonselective interference compounds.

    • Jayme L. Dahlin
    • Kathryn M. Nelson
    • Michael A. Walters
    ResearchOpen Access
    Nature Communications
    Volume: 8, P: 1-14