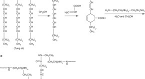
Three C21-based reactive polyamides with various amine values as epoxy-curing agents were synthesized from tung oil and different polyamines. It was found that the cured materials were superior to those cured by widely used C36-based polyamides with regard to mechanical properties. The glass transition temperatures of three cured C21-based polyamides were found to be higher than that of C36-based polyamides. The curing kinetics were studied and nonisothermal DSC curves show a good agreement with theoretically calculated ones.
- Kun Huang
- Jianling Xia
- Haiyang Ding