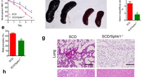
Yujin Zhang et al. discovered that the concentration of adenosine in the blood is increased both in a mouse model of sickle cell disease and in humans with this disease. Adenosine seems to have a pathological role in this disease, as it induced sickling of human erythrocytes through a mechanism involving activation of the A2B adenosine receptor. Treatment of the mouse model of sickle cell disease with an agent to lower adenosine levels or with an A2B adenosine receptor antagonist had beneficial effects, pointing to new therapeutic strategies for this disease.
- Yujin Zhang
- Yingbo Dai
- Yang Xia