Filter By:

Journal Check one or more journals to show results from those journals only.

Choose more journals

Article type Check one or more article types to show results from those article types only.
Subject Check one or more subjects to show results from those subjects only.
Date Choose a date option to show results from those dates only.

Custom date range

Clear all filters
Sort by:
Showing 51–100 of 559 results
Advanced filters: Author: Z. Yuan Clear advanced filters
  • Analysis of mitochondrial genomes (mtDNA) by using whole-genome sequencing data from 2,658 cancer samples across 38 cancer types identifies hypermutated mtDNA cases, frequent somatic nuclear transfer of mtDNA and high variability of mtDNA copy number in many cancers.

    • Yuan Yuan
    • Young Seok Ju
    • Christian von Mering
    ResearchOpen Access
    Nature Genetics
    Volume: 52, P: 342-352
  • There’s an emerging body of evidence to show how biological sex impacts cancer incidence, treatment and underlying biology. Here, using a large pan-cancer dataset, the authors further highlight how sex differences shape the cancer genome.

    • Constance H. Li
    • Stephenie D. Prokopec
    • Christian von Mering
    ResearchOpen Access
    Nature Communications
    Volume: 11, P: 1-24
  • In somatic cells the mechanisms maintaining the chromosome ends are normally inactivated; however, cancer cells can re-activate these pathways to support continuous growth. Here, the authors characterize the telomeric landscapes across tumour types and identify genomic alterations associated with different telomere maintenance mechanisms.

    • Lina Sieverling
    • Chen Hong
    • Christian von Mering
    ResearchOpen Access
    Nature Communications
    Volume: 11, P: 1-13
  • Analysis of cancer genome sequencing data has enabled the discovery of driver mutations. Here, as part of the ICGC/TCGA Pan-Cancer Analysis of Whole Genomes (PCAWG) Consortium the authors present DriverPower, a software package that identifies coding and non-coding driver mutations within cancer whole genomes via consideration of mutational burden and functional impact evidence.

    • Shimin Shuai
    • Federico Abascal
    • Christian von Mering
    ResearchOpen Access
    Nature Communications
    Volume: 11, P: 1-12
  • Many tumours exhibit hypoxia (low oxygen) and hypoxic tumours often respond poorly to therapy. Here, the authors quantify hypoxia in 1188 tumours from 27 cancer types, showing elevated hypoxia links to increased mutational load, directing evolutionary trajectories.

    • Vinayak Bhandari
    • Constance H. Li
    • Christian von Mering
    ResearchOpen Access
    Nature Communications
    Volume: 11, P: 1-10
  • Using spin-entangled baryon–antibaryon pairs, the BESIII Collaboration reports on high-precision measurements of potential charge conjugation and parity (CP)-symmetry-violating effects in hadrons.

    • M. Ablikim
    • M. N. Achasov
    • J. H. Zou
    ResearchOpen Access
    Nature
    Volume: 606, P: 64-69
  • Sun et al. report human lifespan changes in the brain’s functional connectome in 33,250 individuals, which highlights critical growth milestones and distinct maturation patterns and offers a normative reference for development, aging and diseases.

    • Lianglong Sun
    • Tengda Zhao
    • Yong He
    Research
    Nature Neuroscience
    Volume: 28, P: 891-901
  • This study explores the magnitude, spatiotemporal variation and drivers of nitrous oxide emissions from Chinese livestock production over the past four decades. Scenario analysis is used to estimate emissions mitigation potential of different measures, their associated marginal abatement costs and the social benefits.

    • Peng Xu
    • Benjamin Z. Houlton
    • Anping Chen
    Research
    Nature Food
    Volume: 3, P: 356-366
  • With ever more experiments involving ever fewer photons, there is increasing need for detectors capable of accurately resolving low numbers of photons. By modulating the electric field on a silicon avalanche diode, Thomaset al. show a high-speed device that can discriminate signals from just a few photons.

    • O. Thomas
    • Z.L. Yuan
    • A.J. Shields
    Research
    Nature Communications
    Volume: 3, P: 1-5
  • Sparse labelling and whole-brain imaging are used to reconstruct and classify brain-wide complete morphologies of 1,741 individual neurons in the mouse brain, revealing a dependence on both brain region and transcriptomic profile.

    • Hanchuan Peng
    • Peng Xie
    • Hongkui Zeng
    ResearchOpen Access
    Nature
    Volume: 598, P: 174-181
  • Fine-scale geospatial mapping of overweight and wasting (two components of the double burden of malnutrition) in 105 LMICs shows that overweight has increased from 5.2% in 2000 to 6.0% in children under 5 in 2017. Although overall wasting decreased over the same period, most countries are not on track to meet the World Health Organization’s Global Nutrition Target of <5% in over half of LMICs by 2025.

    • Damaris K. Kinyoki
    • Jennifer M. Ross
    • Simon I. Hay
    ResearchOpen Access
    Nature Medicine
    Volume: 26, P: 750-759
  • Drawing on 51,269 participants across 9 independent, geographically diverse datasets, an AI model identifies the etiologies contributing to dementia in individuals, harnessing a broad array of data, including demographics, medical history, medication use, neuropsychological assessments, functional evaluations, and multimodal neuroimaging.

    • Chonghua Xue
    • Sahana S. Kowshik
    • Vijaya B. Kolachalama
    ResearchOpen Access
    Nature Medicine
    Volume: 30, P: 2977-2989
  • Phylogenomic analysis of 7,923 angiosperm species using a standardized set of 353 nuclear genes produced an angiosperm tree of life dated with 200 fossil calibrations, providing key insights into evolutionary relationships and diversification.

    • Alexandre R. Zuntini
    • Tom Carruthers
    • William J. Baker
    ResearchOpen Access
    Nature
    Volume: 629, P: 843-850
  • A high-resolution, global atlas of mortality of children under five years of age between 2000 and 2017 highlights subnational geographical inequalities in the distribution, rates and absolute counts of child deaths by age.

    • Roy Burstein
    • Nathaniel J. Henry
    • Simon I. Hay
    ResearchOpen Access
    Nature
    Volume: 574, P: 353-358
  • Although progress in the coverage of routine measles vaccination in children in low- and middle-income countries was made during 2000–2019, many countries remain far from the goal of 80% coverage in all districts by 2019.

    • Alyssa N. Sbarra
    • Sam Rolfe
    • Jonathan F. Mosser
    ResearchOpen Access
    Nature
    Volume: 589, P: 415-419
  • Multi-ancestry meta-analyses of genome-wide association studies for self-reported physical activity during leisure time, leisure screen time, sedentary commuting and sedentary behavior at work identify 99 loci associated with at least one of these traits.

    • Zhe Wang
    • Andrew Emmerich
    • Marcel den Hoed
    ResearchOpen Access
    Nature Genetics
    Volume: 54, P: 1332-1344
  • High-resolution subnational mapping of child growth failure indicators for 105 low- and middle-income countries between 2000 and 2017 shows that, despite considerable progress, substantial geographical inequalities still exist in some countries.

    • Damaris K. Kinyoki
    • Aaron E. Osgood-Zimmerman
    • Simon I. Hay
    ResearchOpen Access
    Nature
    Volume: 577, P: 231-234
  • A study establishes a scalable approach to engineer and characterize a many-body-localized discrete time crystal phase on a superconducting quantum processor.

    • Xiao Mi
    • Matteo Ippoliti
    • Pedram Roushan
    ResearchOpen Access
    Nature
    Volume: 601, P: 531-536
  • Therapies for treating bacterial infection and increasing wound healing are needed. Here the authors report a liposozyme that combines reactive oxygen species generation and scavenging for antibacterial action and modulation of redox and immune homeostasis, increasing wound healing.

    • Tingting Wei
    • Tiezheng Pan
    • Chunqiu Zhang
    Research
    Nature Nanotechnology
    Volume: 19, P: 1178-1189
  • The CMS Collaboration reports the study of three simultaneous hard interactions between quarks and gluons in proton–proton collisions. This manifests through the concurrent production of three J/ψ mesons, which consist of a charm-quark–antiquark pair.

    • A. Tumasyan
    • W. Adam
    • W. Vetens
    ResearchOpen Access
    Nature Physics
    Volume: 19, P: 338-350
  • The efficiency and operating lifetimes of perovskite light-emitting diodes is improved by using a fluorinated triphenylphosphine oxide additive to control the cation diffusion during film deposition and passivate the surface.

    • Dongxin Ma
    • Kebin Lin
    • Edward H. Sargent
    Research
    Nature
    Volume: 599, P: 594-598
  • The fast radio burst FRB 20200120E is shown to originate from a globular cluster in the galaxy M81, and may be a collapsed white dwarf or a merged compact binary star system.

    • F. Kirsten
    • B. Marcote
    • W. Vlemmings
    Research
    Nature
    Volume: 602, P: 585-589
  • A human–SARS-CoV-2 protein interaction map highlights cellular processes that are hijacked by the virus and that can be targeted by existing drugs, including inhibitors of mRNA translation and predicted regulators of the sigma receptors.

    • David E. Gordon
    • Gwendolyn M. Jang
    • Nevan J. Krogan
    Research
    Nature
    Volume: 583, P: 459-468
  • Bioresorbable electronic stimulators can deliver electrical stimulation in rodents to enhance functional muscle recovery after nerve injury. Here, the authors present a bioresorbable dynamic covalent polymer that enables reliable, long-lived operation of soft, stretchable devices of this type.

    • Yeon Sik Choi
    • Yuan-Yu Hsueh
    • John A. Rogers
    ResearchOpen Access
    Nature Communications
    Volume: 11, P: 1-14
  • Acquired resistance to immune checkpoint inhibitors represents an important clinical challenge. Here, in a pancreatic ductal adenocarcinoma model of acquired resistance to immunotherapy, the authors show that plasticity-induced repression of Irf6 is associated with tumor cell-intrinsic resistance to cytotoxic T-cell activity.

    • Il-Kyu Kim
    • Mark S. Diamond
    • Ben Z. Stanger
    ResearchOpen Access
    Nature Communications
    Volume: 15, P: 1-16
  • Detecting Alzheimer’s disease from blood samples is challenging because amyloid β blood levels are lower than the ELISA detection limit. Here the authors capture amyloid β bound to circulating exosomes on a plasmonic nanosensor, followed by enzymatic amplification to improve detection sensitivity.

    • Carine Z. J. Lim
    • Yan Zhang
    • Huilin Shao
    ResearchOpen Access
    Nature Communications
    Volume: 10, P: 1-11
  • Ultraflat metal foils are important for the growth of high quality 2D materials, but their fabrication remains challenging. Here, the authors report a surface-acoustic-wave-assisted annealing method to flatten the surface of commercial Cu foils, leading to the growth of 2D graphene and hexagonal boron nitride with enhanced anti-corrosion properties.

    • Bo Tian
    • Junzhu Li
    • Zheng Liu
    ResearchOpen Access
    Nature Communications
    Volume: 15, P: 1-9
  • Cellular imaging studies can generate large volumes of complex phenotypic data; however, presenting this information in a form that quickly conveys trends in the data set remains a challenge. Sailem et al.present a tool which translates such data into easily interpretable cell-like glyphs.

    • Heba Z. Sailem
    • Julia E. Sero
    • Chris Bakal
    ResearchOpen Access
    Nature Communications
    Volume: 6, P: 1-6
  • Analyses of the proportions of individuals who have completed key levels of schooling across all low- and middle-income countries from 2000 to 2017 reveal inequalities across countries as well as within populations.

    • Nicholas Graetz
    • Lauren Woyczynski
    • Simon I. Hay
    ResearchOpen Access
    Nature
    Volume: 577, P: 235-238
  • A heterodimensional superlattice consisting of an alternating array of a two-dimensional material and a one-dimensional material shows unconventional octahedral stacking and an unexpected room-temperature anomalous Hall effect.

    • Jiadong Zhou
    • Wenjie Zhang
    • Zheng Liu
    Research
    Nature
    Volume: 609, P: 46-51
  • Two below-threshold surface code memories on superconducting processors markedly reduce logical error rates, achieving high efficiency and real-time decoding, indicating potential for practical large-scale fault-tolerant quantum algorithms.

    • Rajeev Acharya
    • Dmitry A. Abanin
    • Nicholas Zobrist
    ResearchOpen Access
    Nature
    Volume: 638, P: 920-926
  • Analysis of whole-genome sequencing data across 2,658 tumors spanning 38 cancer types shows that chromothripsis is pervasive, with a frequency of more than 50% in several cancer types, contributing to oncogene amplification, gene inactivation and cancer genome evolution.

    • Isidro Cortés-Ciriano
    • Jake June-Koo Lee
    • Christian von Mering
    ResearchOpen Access
    Nature Genetics
    Volume: 52, P: 331-341
  • Upon physiological injury, hepatocytes transdifferentiate into biliary epithelial cells, a process involving molecular rewiring. Here, authors show that Sox4 organizes the early steps, acting as a pioneer factor to decommission hepatocyte enhancers and open chromatin around biliary genes.

    • Takeshi Katsuda
    • Jonathan H. Sussman
    • Ben Z. Stanger
    ResearchOpen Access
    Nature Communications
    Volume: 15, P: 1-20
  • A proof-of-principle experiment on twin-field quantum key distribution is demonstrated. The key rate overcomes the repeaterless secret key capacity bound limit at channel losses of 85 dB, corresponding to 530 km of ultralow-loss optical fibre.

    • M. Minder
    • M. Pittaluga
    • A. J. Shields
    Research
    Nature Photonics
    Volume: 13, P: 334-338
  • Spacia is a multiple-instance learning model for cell–cell communication (CCC) interference in single-cell resolution spatially resolved transcriptomics data. Spacia can map complex CCCs by modeling cell proximity and CCC-driven gene perturbation.

    • James Zhu
    • Yunguan Wang
    • Tao Wang
    Research
    Nature Methods
    Volume: 21, P: 1830-1842
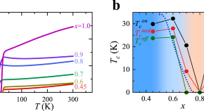
  • The authors study interface superconductivity in over-doped La2-xSrxCuO4/La2CuO4 heterostructures. As x increases, the superconductivity is killed at x = 0.8 but fully recovers at x = 1.0, a “re-entrant” superconductivity.

    • J. Y. Shen
    • C. Y. Shi
    • J. Wu
    ResearchOpen Access
    Nature Communications
    Volume: 14, P: 1-8