Abstract
OBJECTIVE: To test the hypothesis that consumption of a high-fat diet leads to an increase in UCP mRNA expression in human skeletal muscle. In a group of endurance athletes, with a range in fiber type distribution, we hypothesized that the effect of the high-fat diet on UCP2 and UCP3 mRNA expression is more pronounced in muscle fibers which are known to have a high capacity to shift from carbohydrate to fat oxidation (type IIA fibers).
DESIGN: Ten healthy trained athletes (five males, five females) consumed a low-fat diet (17±0.9 en% of fat) and high-fat diet (41.4±1.4 en% fat) for 4 weeks, separated by a 4 week wash-out period. Muscle biopsies were collected at the end of both dietary periods.
MEASUREMENTS: Using RT-PCR, levels of UCP2 and UCP3 mRNA expression were measured and the percentage of type I, IIA and IIB fibers were determined using the myofibrillar ATPase method in all subjects.
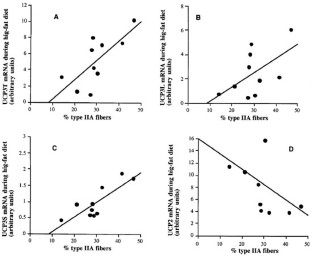
RESULTS: UCP3L mRNA expression tended to be higher on the high-fat diet, an effect which reached significance when only males were considered (P=0.037). Furthermore, diet-induced change in mRNA expression of UCP3T (r: 0.66, P=0.037), UCP3L (r: 0.61, P=0.06) and UCP2 (r: 0.70, P=0.025), but not UCP3S, correlated significantly with percentage dietary fat on the high-fat diet. Plasma FFA levels were not different during the two diets. Finally, the percentage of type IIA fibers was positively correlated with the diet-induced change in mRNA expression for UCP2 (r: 0.7, P=0.03), UCP3L (r: 0.73, P=0.016) and UCP3T (r: 0.68, P=0.03) but not with UCP3S (r: 0.06, NS).
CONCLUSION: UCP2 and UCP3 mRNAs are upregulated by a high-fat diet. This upregulation is more pronounced in humans with high proportions of type IIA fibers, suggesting a role for UCPs in lipid utilization.
International Journal of Obesity (2001) 25, 449–456
This is a preview of subscription content, access via your institution
Access options
Subscribe to this journal
Receive 12 print issues and online access
$259.00 per year
only $21.58 per issue
Buy this article
- Purchase on SpringerLink
- Instant access to the full article PDF.
USD 39.95
Prices may be subject to local taxes which are calculated during checkout





Similar content being viewed by others
References
Ricquier D, Casteilla L, Bouillaud F . Molecular studies of the uncoupling protein FASEB J 1991 5: 2237–2242.
Fleury C, Neverova M, Collins S, Raimbault S, Champigny O, Levi-Meyrueis C, Bouillaud F, Seldin MF, Surwit RS, Ricquier D . Uncoupling protein-2: a novel gene linked to obesity and hyperinsulinemia Nature Genet 1997 15: 269–273.
Gimeno RE, Dembski M, Weng X, Deng N, Shyjan AW, Gimeno CJ, Iris F, Ellis SJ, Woolf EA, Tartaglia LA . Cloning and characterization of an uncoupling protein homolog: a potential molecular mediator of human thermogenesis Diabetes 1997 46: 900–906.
Boss O, Samec S, Paoloni-Giacobino A, Rossier C, Dulloo A, Seydoux J, Muzzin P, Giacobino J-P . Uncoupling protein-3: a new member of the mitochondrial carrier family with tissue-specific expression FEBS lett 1997 408: 39–42.
Vidal-Puig A, Solanes G, Grujic D, Flier JS, Lowell BB . UCP3: an uncoupling protein homologue expressed preferentially and abundantly in skeletal muscle and brown adipose tissue Biochem Biophys Res Commun 1997 235: 79–82.
Schrauwen P, Xia J, Bogardus C, Pratley R, Ravussin E . Skeletal muscle UCP3 expression is a determinant of energy expenditure in Pima Indians Diabetes 1999 48: 146–149.
Boss O, Samec S, Dulloo A, Seydoux J, Muzzin P, Giacobino J-P . Tissue-dependent upregulation of rat uncoupling protein-2 expression in response to fasting or cold FEBS lett 1997 412: 111–114.
Samec S, Seydoux J, Dulloo AG . Interorgan signaling between adipose tissue metabolism and skeletal muscle uncoupling protein homologs: is there a role for circulating free fatty acids? Diabetes 1998 47: 1693–1698.
Gong D-W, He Y, Karas M, Reitman M . Uncoupling protein-3 is a mediator of thermogenesis regulated by thyroid hormone, β3-adrenergic agonists, and leptin J Biol Chem 1997 272: 24129–24132.
Boss O, Samec S, Kühne F, Bijlenga P, Assimacopoulos-Jeannet F, Seydoux J, Giacobino J-P, Muzzin P . Uncoupling protein-3 expression in rodent skeletal muscle is modulated by food intake but not by changes in environmental temperature J Biol Chem 1998 273: 5–8.
Matsuda J, Hosoda K, Itoh H, Son C, Doi K, Tanaka T, Fukunaga Y, Inoue G, Nishimura H, Yoshimasa Y . Cloning of rat uncoupling protein-3 and uncoupling protein-2 cDNAs: their gene expression in rats fed high-fat diet FEBS lett 1997 418: 200–204.
Gong D-W, He Y, Reitman ML . Genomic organization and regulation by dietary fat of the uncoupling protein 3 and 2 genes Biochem Biophys Res Commun 1999 256: 27–32.
Surwit RS, Wang S, Petro AE, Sanchis D, Raimbault S, Ricquier D, Collins S . Diet-induced changes in uncoupling proteins in obesity-prone and obesity-resistant strains of mice Proc Natl Acad Sci USA 1998 95: 4061–4065.
Weigle DS, Selfridge LE, Schwartz MW, Seeley RJ, Cummings DE, Havel PJ, Kuijper JL, Bertrande Rio H . Elevated free fatty acids induce uncoupling protein 3 expression in muscle. A potential explanation for the effect of fasting Diabetes 1998 47: 298–302.
Samec S, Seydoux J, Dulloo AG . Role of UCP homoloques in skeletal muscles and brown adipose tissue: mediators of thermogenesis or regulators of lipids as fuel substrate? FASEB J 1998 12: 715–724.
Millet L, Vidal H, Andreelli F, Larrouy D, Riou J-P, Ricquier D, Laville M, Langin D . Increased uncoupling protein-2 and -3 mRNA expression during fasting in obese and lean humans J Clin Invest 1997 100: 2665–2670.
Argyropoulos G, Brown AM, Willi SM, Zhu J, He Y, Reitman M, Geveo SM, Spruill I, Garvey WT . Effects of mutations in the human uncoupling protein 3 gene on the respiratory quotient and fat oxidation in severe obesity and type 2 diabetes J Clin Invest 1998 102: 1345–1351.
Simoneau JA, Kelley DE, Neverova M, Warden CH . Overexpression of muscle uncoupling protein 2 content in human obesity associates with reduced skeletal muscle lipid utilization FASEB J 1998 12: 1739–1745.
Jaburek M, Varecha M, Gimeno RE, Dembski M, Jezek P, Zhang M, Burn P, Tartaglia LA, Garlid KD . Transport function and regulation of mitochondrial uncoupling proteins 2 and 3 J Biol Chem 1999 274: 26003–26007.
Schrauwen P, Marken Lichtenbelt WDv, Saris WHM, Westerterp KR . Changes in fat oxidation in response to a high-fat diet Am J Clin Nutr 1997 66: 276–282.
Leddy J, Horvath P, Rowland J, Pendergast D . Effect of a high or a low fat diet on cardiovascular risk factors in male and female runners Med Sci Sports Exerc 1997 29: 17–25.
Itaya K . A more sensitive and stable colorimetric determination of free fatty acids in blood J Lipid Res 1977 18: 663–665.
Bergstrom J, Hermansen L, Hultman E, Saltin B . Diet, muscle glycogen and physical performance Acta Physiol Scand 1967 71: 140–150.
Billeter R, Weber H, Lutz H, Howald H, Eppenberger HM, Jenni E . Myosin types in human skeletal muscle fibers Histochemistry 1980 65: 249–259.
Chomozynski P, Sacchi N . Single-step method of RNA isolation by acid guanidinium thiocyanate-phenol-chloroform extraction Anal Biochem 1987 162: 156–159.
Boss O, Muzzin P, Giacobino J-P . The uncoupling proteins, a review Eur J Endocrinology 1998 139: 1–9.
Schrauwen P, Walder K, Ravussin E . Human uncoupling proteins and obesity Obes Res 1999 7: 97–105.
Boss O, Bobbioni-Harsch E, Assimacopoulos-Jeannet F, Muzzin P, Munger R, Giacobino J-P, Golay A . Uncoupling protein-3 expression in skeletal muscle and free fatty acids in obesity Lancet 1998 351: 1933.
Schrauwen P, Marken Lichtenbelt WDv, Saris WHM, Westerterp KR . Fat balance in obese subjects: role of glycogen stores Am J Physiol 1998 274: E1027–1033.
Schrauwen P, Wagenmakers AJM, Marken Lichtenbelt WDv, Saris WHM, Westerterp KR . Increase in fat oxidation on a high-fat diet is accompanied by an increase in triglyceride-derived fatty acid oxidation Diabetes 2000 49: 640–646.
Barnard RJ, Edgerton VR, Furukawa T, Peter JB . Histochemical, biochemical, and contractile properties of red, white, and intermediate fibers Am J Physiol 1971 220: 410–414.
Garlid KD, Orosz DE, Modriansky M, Vassanelli S, Jezek P . On the mechanism of fatty acid-induced proton transport by mitochondrial uncoupling protein J Biol Chem 1996 271: 2615–2620.
Walder K, Norman RA, Hanson RL, Schrauwen P, Neverova M, Jenkinson CP, Easlick J, Warden CH, Pecqueur C, Raimbault S . Association between uncoupling protein polymorphisms (UCP2-UCP3) and energy metabolism/obesity in Pima Indians Hum Mol Genet 1998 7: 1431–1435.
Vaughan L, Zurlo F, Ravussin E . Aging and energy expenditure Am J Clin Nutr 1991 53: 821–825.
Rising R, Tataranni PA, Snitker S, Ravussin E . Decreased ratio of fat to carbohydrate oxidation with increasing age in Pima Indians J Am Coll Nutr 1996 15: 309–312.
Yamashita H, Sato Y, Mori N . Difference in induction of uncoupling protein genes in adipose tissues between young and old rats during cold exposure FEBS Lett 1999 458: 157–161.
Schrauwen P, Troost FJ, Xia J, Ravussin E, Saris WHM . Skeletal muscle UCP3 expression in trained and untrained male subjects Int J Obes Relat Metab Disord 1999 23: 966–972.
Hoppeler H, Billeter R, Horvath PJ, Leddy JJ, Pendergast DR . Muscle structure with low- and high-fat diets in well-trained male runners Int J Sports Med 1999 20: 522–526.
Acknowledgements
Dr Schrauwen is supported by a grant from the Netherlands Organisation for Scientific Research (NWO).
Author information
Authors and Affiliations
Corresponding author
Rights and permissions
About this article
Cite this article
Schrauwen, P., Hoppeler, H., Billeter, R. et al. Fiber type dependent upregulation of human skeletal muscle UCP2 and UCP3 mRNA expression by high-fat diet. Int J Obes 25, 449–456 (2001). https://doi.org/10.1038/sj.ijo.0801566
Received:
Revised:
Accepted:
Published:
Issue date:
DOI: https://doi.org/10.1038/sj.ijo.0801566
Keywords
This article is cited by
-
Mediterranean meal versus Western meal effects on postprandial ox-LDL, oxidative and inflammatory gene expression in healthy subjects: a randomized controlled trial for nutrigenomic approach in cardiometabolic risk
Acta Diabetologica (2017)
-
Sources and Bioactive Properties of Conjugated Dietary Fatty Acids
Lipids (2016)
-
Four novel UCP3 gene variants associated with childhood obesity: effect on fatty acid oxidation and on prevention of triglyceride storage
International Journal of Obesity (2012)
-
Statin therapy depresses total body fat oxidation in the absence of genetic limitations to fat oxidation
Journal of Inherited Metabolic Disease (2007)
-
Reduced plasma free fatty acid availability during exercise: effect on gene expression
European Journal of Applied Physiology (2007)


