Abstract
OBJECTIVE: To examine the effect of a GLP-2 infusion on appetite sensations and ad libitum energy intake in healthy, normal weight humans.
DESIGN: The experiment was performed in a randomised, blinded, and placebo-controlled crossover design. Placebo or GLP-2 was infused (infusion rate of 25 pmol/kg body wth) for 4.5 h.
SUBJECTS: A total of 18 healthy, normal weight young subjects participated; eight women and 10 men.
MEASUREMENTS: During the infusion, subjects recorded their appetite sensations every 30 min using visual analogue scales, and blood was sampled frequently. After 2 h of infusion, an ad libitum meal, consisting of sandwiches, was served.
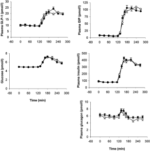
RESULTS: The concentration of GLP-2 was significantly higher during the GLP-2 infusion compared with placebo (P<0.0001) and increased further in both conditions in response to the meal. Neither appetite sensations, nor palatability of the test meals, or energy intake were different on the two occasions. Glucose, GLP-1, insulin, and GIP responses were also unaffected by the infusion, whereas glucagon levels were higher during the GLP-2 treatment (P<0.05).
CONCLUSION: Circulating GLP-2 in physiological concentrations does not seem to play a significant role in human appetite regulation.
This is a preview of subscription content, access via your institution
Access options
Subscribe to this journal
Receive 12 print issues and online access
$259.00 per year
only $21.58 per issue
Buy this article
- Purchase on SpringerLink
- Instant access to the full article PDF.
USD 39.95
Prices may be subject to local taxes which are calculated during checkout





Similar content being viewed by others
References
Bell GI, Santerre RF, Mullenbach GT . Hamster preproglucagon contains the sequence of glucagon and two related peptides. Nature 1983; 302: 716–718.
Bell GI, Sanchez-Pescador R, Laybourn PJ, Najarian RC . Exon duplication and divergence in the human preproglucagon gene. Nature 1983; 304: 368–371.
Drucker DJ, Ehrlich P, Asa SL, Brubaker PL . Induction of intestinal epithelial proliferation by glucagon-like peptide 2. Proc Natl Acad Sci USA 1996; 93: 7911–7916.
Tsai C, Hill M, Drucker DJ . Biological determinants of intestinotrophic properties of GLP-2 in vivo. Am J Physiol 1997; 272: G662–G668.
Tsai C, Hill M, Asa SL, Brubaker PL, Drucker DJ . Intestinal growth-promoting properties of glucagon-like peptide-2 in mice. Am J Physiol 1997; 273: E77–E84.
Cheeseman CI, Tsang R . The effect of gastric inhibitory polypeptide and glucagon-like peptides on intestinal hexose transport. Am J Physiol 1996; 271: G477–G482.
Cheeseman CI . Upregulation of SGLT-1 transport activity in rat jejunum induced by GLP-2 infusion in vivo. Am J Physiol 1997; 273: R1965–R1971.
Flint A, Raben A, Astrup A, Holst JJ . Glucagon-like peptide 1 promotes satiety and suppresses energy intake in humans. J Clin Invest 1998; 101: 515–520.
Gutzwiller JP, Göke B, Drewe J, Hildebrand P, Ketterer S, Handschin D, Winterhalder R, Conen D, Beglinger C . Glucagon-like peptide-1: a potent regulator of food intake in humans. Gut 1999; 44: 81–86.
Näslund E, Barkeling B, King N, Gutniak M, Blundell JE, Holst JJ, Rösner S, Hellström PM . Energy intake and appetite are suppressed by glucagon-like peptide-1 (GLP-1) in obese men. Int J Obes Relat Metab Disord 1999; 23: 304–311.
Ø rskov C, Holst JJ, Knuhtsen S, Baldissera FGA, Poulsen SS, Nielsen OV . Glucagon-like peptides GLP-1 and GLP-2, predicted products of the glucagon gene, are secreted separately from pig small intestine but not from pancreas. Endocrinology 1986; 119: 1467–1473.
Ø rskov C, Holst JJ . Radio-immunoassays for glucagon-like peptides 1 and 2 (GLP-1 and 2). Scand J Clin Lab Invest 1987; 47: 165–174.
Xiao Q, Boushey RP, Drucker DJ, Brubaker PL . Secretion of intestinotropic hormone glucagon-like peptide 2 is differentially regulated by nutrients in humans. Gastroentology 1999; 117: 99–105.
Hartmann B, Johnsen AH, ørskov C, Adelhorst K, Thim L, Holst JJ . Structure, measurement, and secretion of human glucagon-like peptide-2. Peptides 2000; 21: 73–80.
Tang-Christensen M, Larsen PJ, Thulesen J, Rømer J, Vrang N . The proglucagon-derived peptide, glucagon-like peptide-2, is a neurotransmitter involved in the regulation of food intake. Nat Med 2000; 6: 802–807.
Munroe DG, Gupta AK, Kooshesh F, Vyas TB, Rizkalla G, Wang H, Demchysyn L, Yang Z, Kamboj RK, Chen H, McCallum K, Sumner-Smith M, Drucker DJ, Crivici A . Prototypic G protein-coupled receptor for the intestinotropic factor glucagon-like peptide 2. Proc Natl Acad Sci USA 1999; 96: 1569–1573.
Wøjdemann M, Wettergren A, Hartmann B, Holst JJ . Glucagon-like peptide-2 inhibits centrally induced antral motility in pigs. Scand J Gastroenterol 1998; 33: 828–832.
Wøjdemann M, Wettergren A, Hartmann B, Hilstad L, Holst JJ . Inhibition of sham feeding-stimulated human gastric secretion by glucagon-like peptide-2. J Clin Endocrinol Metab 1999; 84: 2513–2517.
Klausen B, Toubro S, Astrup A . Age and sex effects on energy expenditure. Am J Clin Nutr 1997; 65: 895–907.
FAO. Energy and protein requirements. Report of a Joint FAO/UNI Expert Consultation. World Health Organization: Geneva; 1985.
Costill DL . Carbohydrates for exercise: dietary demands for optimal performance. Int J Sports Med 1988; 9: 1–18.
Heitmann BL . Prediction of body water and fat in adult danes from measurement of electrical impedance. A validation study. Int J Obes Relat Metab Disord 1990; 14: 789–802.
Raben A, Tagliabue A, Astrup A . The reproducibility of subjective appetite scores. Br J Nutr 1995; 73: 517–530.
Hartmann B, Harr MB, Jeppesen PB, Wøjdemann M, Deacon CF, Mortensen PB, Holst JJ . In vivo and in vitro degradation of glucagon-like peptide-2 in humans. J Clin Endocrinol Metab 2000; 85: 2884–2888.
Bergmayer HV (ed). Methods of enzymatic analysis. Academic Press, Inc.: New York; 1974.
Albano JDM, Ekins RP, Maritz G, Turner RC . A sensitive precise radioimmunoassay of serum insulin relying on charcoal separation of bound and free hormones moieties. Acta Endocrinol 1972; 70: 487–509.
Ø rskov C, Rabenhøj L, Wettergren A, Kofod H, Holst JJ . Tissue and plasma concentrations of amidated and glycine-extended glucagon-like peptide 1 in humans. Diabetes 1994; 43: 535–537.
Krarup T, Madsbad S, Moody AJ, Regeur L, Faber OK, Holst JJ, Sestoft L . Diminished gastric inhibitory polypeptide (GIP) response to a meal in newly diagnosed type I (insulin dependent) diabetics. J Clin Endocrinol Metab 1983; 56: 1306–1312.
Holst JJ . Evidence that enteroglucagon (II) is identical with the C-terminal sequence (residues 33–39) of glicentin. Biochem J 1982; 207: 381–388.
Jeppesen PB, Hartmann B, Thulesen J, Graff J, Lohman J, Hansen BS, Tofteng F, Poulsen SS, Madsen JL, Holst JJ, Mortensen PB . Glucagon-like peptide 2 improves nutrient absorption and nutritional status in short bowel patients with no colon. Gastroenterology 2000; 120: 806–815.
Näslund E, Bogefors J, Skogar S, Grybäck, Jacobsson H, Holst JJ, Hellström PM . GLP-1 slows solid gastric emptying and inhibits insulin, glucagon, and PYY release in humans. Am J Physiol 1999; 277: R910–R916.
Layer P, Holst JJ, Grandt D, Goebell H . Ileal release of glucagon-like peptide-1 (GLP-1). Association with inhibition of gastric acid secretion in humans. Dig Dis Sci 1995; 40: 1074–1082.
Wettergren A, Schjoldager B, Mortensen PE, Myhre J, Christiansen J, Holst JJ . Truncated GLP-1 (proglucagon 78-107-amide) inhibits gastric and pancreatic functions in man. Dig Dis Sci 1993; 38: 665–673.
Larsen PJ, Tang-Christensen M, Holst JJ, Ørskov C . Distribution of glucagon-like peptide-1 and other preproglucagon-derived peptides in the rat hypothalamus and brainstem. Neuroscience 1997; 77: 257–270.
Flint A, Raben A, Blundell JE, Astrup A . Reproducibility, power and validity of visual analogue scales in assessment of appetite sensations in single test meal studies. Int J Obes Relat Metab Disord 1999; 24: 38–48.
Acknowledgements
We thank Lene Alboek, Inge Timmermann, Christina Hansen, Yvonne Rasmussen, and Charlotte Kostecki for expert assistance. We gratefully acknowledge the participation of all the persons involved in the study.
Author information
Authors and Affiliations
Corresponding author
Additional information
Novo Nordisk and The Danish Medical Research Council supported this study.
Rights and permissions
About this article
Cite this article
Sørensen, L., Flint, A., Raben, A. et al. No effect of physiological concentrations of glucagon-like peptide-2 on appetite and energy intake in normal weight subjects. Int J Obes 27, 450–456 (2003). https://doi.org/10.1038/sj.ijo.0802247
Received:
Revised:
Accepted:
Published:
Issue date:
DOI: https://doi.org/10.1038/sj.ijo.0802247
Keywords
This article is cited by
-
The GLP-2 analogue elsiglutide reduces diarrhoea caused by the tyrosine kinase inhibitor lapatinib in rats
Cancer Chemotherapy and Pharmacology (2020)
-
Glucagon-Like Peptides 1 and 2 Are Involved in Satiety Modulation After Modified Biliopancreatic Diversion: Results of a Pilot Study
Obesity Surgery (2018)
-
GLP-1 and GLP-2 Levels are Correlated with Satiety Regulation After Roux-en-Y Gastric Bypass: Results of an Exploratory Prospective Study
Obesity Surgery (2017)
-
The prolonged effect of glucagon-like peptide 2 pretreatment on growth performance and intestinal development of weaned piglets
Journal of Animal Science and Biotechnology (2016)
-
A randomized, double-blind, placebo-controlled, multiple-dose, parallel-group clinical trial to assess the effects of teduglutide on gastric emptying of liquids in healthy subjects
BMC Gastroenterology (2014)


