Abstract
Obese African-American (AA) subjects have higher resting and stimulated insulin concentrations than obese Caucasians (C), which could not be explained by the severity of obesity or the degree of insulin sensitivity. We investigated whether differences in glucagon-like peptide-1 (GLP-1), the most potent incretin that regulates insulin secretion, might explain racial differences in insulin response. Accordingly, we measured fasting and stimulated glucose, insulin, and GLP-1 levels during a 3-h oral glucose tolerance test (OGTT) in 26 obese C (age 38±2 y, body mass index 44±1 kg/m2) and 16 obese AA (age 36±2 y, BMI 46±2 kg/m2) subjects. Corrected insulin response (CIR30), a measure of β-cell activity, whole body insulin sensitivity index (WBISI), and area under the curve (AUC) for insulin, GLP-1, and C-peptide/insulin ratio were computed from the OGTT.
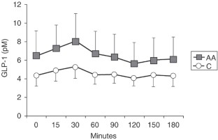
Glucose levels, fasting and during the OGTT, were similar between racial groups; 32% of the C and 31% of the AA subjects had impaired glucose tolerance. With a similar WBISI, AAs had significantly higher CIR30 (2.3±0.4 vs 1.01±0.1), insulin response (IAUC: 23 974±4828 vs 14 478±1463), and lower insulin clearance (0.07±0.01 vs 0.11±0.01) than C (all, P<0.01). Obese AAs also had higher fasting GLP-1 (6.7±2.5 vs 4.5±1.1) and GLP-1AUC (1174.7±412 vs 822.4±191) than C (both, P<0.02). Our results indicate that obese AAs had higher concentrations of GLP-1 both at fasting and during the OGTT than obese C. The increased GLP-1 concentration could explain the greater insulin concentration and the increased prevalence of hyperinsulinemia-associated disorders including obesity and type 2 diabetes in AAs.
This is a preview of subscription content, access via your institution
Access options
Subscribe to this journal
Receive 12 print issues and online access
$259.00 per year
only $21.58 per issue
Buy this article
- Purchase on SpringerLink
- Instant access to the full article PDF.
USD 39.95
Prices may be subject to local taxes which are calculated during checkout


Similar content being viewed by others
References
Campfield LA, Smith FJ . The pathogenesis of obesity. Baillieres Best Pract Res Clin Endocrinol Metab 1999; 13: 13–30.
Le Stunff C, Bougneres P . Early changes in postprandial insulin secretion, not in insulin sensitivity, characterize juvenile obesity. Diabetes 1994; 43: 696–702.
Odeleye OE, de Courten M, Pettitt DJ, Ravussin E . Fasting hyperinsulinemia is a predictor of increased body weight gain and obesity in Pima Indian children. Diabetes 1997; 46: 1341–1345.
Zannolli R, Rebeggiani A, Chiarelli F, Morgese G . Hyperinsulinism as a marker in obese children. Am J Dis Child 1993; 147: 837–841.
Dowling HJ, Pi-Sunyer FX . Race-dependent health risks of upper body obesity. Diabetes 1993; 42: 537–543.
Haffner SM, D'Agostino R, Saad MF, Rewers M, Mykkanen L, Selby J, Howard G, Savage PJ, Hamman RF, Wagenknecht LE, Bergman RN . Increased insulin resistance and insulin secretion in nondiabetic African-Americans and Hispanics compared with non-Hispanic whites. The Insulin Resistance Atherosclerosis Study. Diabetes 1996; 45: 742–748.
Jiang X, Srinivasan SR, Radhakrishnamurthy B, Dalferes ER, Berenson GS . Racial (black–white) differences in insulin secretion and clearance in adolescents: the Bogalusa heart study. Pediatrics 1996; 97: 357–760.
Arslanian S, Suprasongsin C . Differences in the in vivo insulin secretion and sensitivity of healthy black versus white adolescents. J Pediatr 1996; 129: 440–443.
Unger RH, Eisentraut AM . Entero-insular axis. Arch Intern Med 1969; 123: 261–266.
Holst JJ . Glucagonlike peptide 1: a newly discovered gastrointestinal hormone. Gastroenterology 1994; 107: 1848–1855.
Ferrannini E, Wahren J, Faber OK, Felig P, Binder C, DeFronzo RA . Splanchnic and renal metabolism of insulin in human subjects: a dose–response study. Am J Physiol 1983; 244: E517–E527.
Perfetti R, Merkel P . Glucagon-like peptide-1: a major regulator of pancreatic beta-cell function. Eur J Endocrinol 2000; 143: 717–725.
Brandt A, Katschinski M, Arnold R, Polonsky KS, Goke B, Byrne MM . GLP-1-induced alterations in the glucose-stimulated insulin secretory dose–response curve. Am J Physiol Endocrinol Metab 2001; 281: E242–E247.
Holz GGt, Kuhtreiber WM, Habener JF . Pancreatic beta-cells are rendered glucose-competent by the insulinotropic hormone glucagon-like peptide-1(7-37). Nature 1993; 361: 362–365.
Leech CA, Holz GG, Habener JF . Signal transduction of PACAP and GLP-1 in pancreatic beta cells. Ann NY Acad Sci 1996; 805: 81–92; discussion 92-93.
Holz GG, Leech CA, Heller RS, Castonguay M, Habener JF . cAMP-dependent mobilization of intracellular Ca2+ stores by activation of ryanodine receptors in pancreatic beta-cells. A Ca2+, signaling system stimulated by the insulinotropic hormone glucagon-like peptide-1-(7-37). J Biol Chem 1999; 274: 14147–14156.
Nie Y, Nakashima M, Brubaker PL, Li QL, Perfetti R, Jansen E, Zambre Y, Pipeleers D, Friedman TC . Regulation of pancreatic PC1 and PC2 associated with increased glucagon-like peptide 1 in diabetic rats. J Clin Invest 2000; 105: 955–965.
Reaven GM, Brand RJ, Chen YD, Mathur AK, Goldfine I . Insulin resistance and insulin secretion are determinants of oral glucose tolerance in normal individuals. Diabetes 1993; 42: 1324–1332.
ADA. Report of the Expert Committee on the Diagnosis and Classification of Diabetes Mellitus. Diabetes Care 1997; 20: 1183–1197.
Kadish AH, Little RH, Sternberg JC . A new and rapid method for the determination of glucose by measurement of rate of oxygen consumption. Clin Chem 1968; 14: 116–119.
Guven S, El-Bershawi A, Sonnenberg GE, Wilson CR, Hoffmann RG, Krakower GR, Kissebah AH . Plasma leptin and insulin levels in weight-reduced obese women with normal body mass index: relationships with body composition and insulin. Diabetes 1999; 48: 347–352.
Jensen MD, Hensrud D, O'Brien PC, Nielsen S . Collection and interpretation of plasma leptin concentration data in humans. Obes Res 1999; 7: 241–245.
Toft I, Bonaa KH, Lindal S, Jenssen T . Insulin kinetics, insulin action, and muscle morphology in lean or slightly overweight persons with impaired glucose tolerance. Metabolism 1998; 47: 848–854.
Sluiter WJ, Erkelens DW, Terpstra P, Reitsma WD, Doorenbos H . Glucose tolerance and insulin release, a mathematical approach. II. Approximation of the peripheral insulin resistance after oral glucose loading. Diabetes 1976; 25: 245–249.
Matsuda M, DeFronzo RA . Insulin sensitivity indices obtained from oral glucose tolerance testing: comparison with the euglycemic insulin clamp. Diabetes Care 1999; 22: 1462–1470.
Uwaifo GI, Nguyen TT, Keil MF, Russell DL, Nicholson JC, Bonat SH, McDuffie JR, Yanovski JA . Differences in insulin secretion and sensitivity of Caucasian and African American prepubertal children. J Pediatr 2002; 140: 673–680.
Tallarida RJ, Murray RB . Manual of pharmacologic calculations with computer programs. Springer-Verlag: New York; 1986. pp 77–81.
McKeigue PM, Shah B, Marmot MG . Relation of central obesity and insulin resistance with high diabetes prevalence and cardiovascular risk in South Asians. Lancet 1991; 337: 382–386.
Svec F, Nastasi K, Hilton C, Bao W, Srinivasan SR, Berenson GS . Black–white contrasts in insulin levels during pubertal development. The Bogalusa Heart Study. Diabetes 1992; 41: 313–317.
Orskov C, Andreasen J, Holst JJ . All products of proglucagon are elevated in plasma from uremic patients. J Clin Endocrinol Metab 1992; 74: 379–384.
Deacon CF, Pridal L, Klarskov L, Olesen M, Holst JJ . Glucagon-like peptide 1 undergoes differential tissue-specific metabolism in the anesthetized pig. Am J Physiol 1996; 271: E458–E464.
Ruiz-Grande C, Alarcon C, Alcantara A, Castilla C, Lopez Novoa JM, Villanueva-Penacarrillo ML, Valverde I . Renal catabolism of truncated glucagon-like peptide 1. Horm Metab Res 1993; 25: 612–616.
Kieffer TJ, McIntosh CH, Pederson RA . Degradation of glucose-dependent insulinotropic polypeptide and truncated glucagon-like peptide 1 in vitro and in vivo by dipeptidyl peptidase IV. Endocrinology 1995; 136: 3585–3596.
Deacon CF, Nauck MA, Toft-Nielsen M, Pridal L, Willms B, Holst JJ . Both subcutaneously and intravenously administered glucagon-like peptide I are rapidly degraded from the NH2-terminus in type II diabetic patients and in healthy subjects. Diabetes 1995; 44: 1126–1131.
Kieffer TJ, Habener JF . The glucagon-like peptides. Endocr Rev 1999; 20: 876–913.
Freidenberg GR, Klein HH, Cordera R, Olefsky JM . Insulin receptor kinase activity in rat liver. Regulation by fasting and high carbohydrate feeding. J Biol Chem 1985; 260: 12444–12453.
Ramsay TG . Fat cells. Endocrinol Metab Clin North Am 1996; 25: 847–870.
Widmann C, Dolci W, Thorens B . Desensitization and phosphorylation of the glucagon-like peptide-1 (GLP-1) receptor by GLP-1 and 4-phorbol 12-myristate 13-acetate. Mol Endocrinol 1996; 10: 62–75.
Wettergren A, Wojdemann M, Holst JJ . The inhibitory effect of glucagon-like peptide-1 (7-36)amide on antral motility is antagonized by its N-terminally truncated primary metabolite GLP-1 (9-36)amide. Peptides 1998; 19: 877–882.
Acknowledgements
The funding for this study was provided in part by Novartis Pharmaceuticals Corporation and the University of Tennessee Health Science Center General Clinical Resource Center (USPH Grant# RR000211).
Author information
Authors and Affiliations
Corresponding author
Rights and permissions
About this article
Cite this article
Velasquez-Mieyer, P., Cowan, P., Umpierrez, G. et al. Racial differences in glucagon-like peptide-1 (GLP-1) concentrations and insulin dynamics during oral glucose tolerance test in obese subjects. Int J Obes 27, 1359–1364 (2003). https://doi.org/10.1038/sj.ijo.0802415
Received:
Revised:
Accepted:
Published:
Issue date:
DOI: https://doi.org/10.1038/sj.ijo.0802415
Keywords
This article is cited by
-
Fasting glucagon-like peptide 1 concentration is associated with lower carbohydrate intake and increases with overeating
Journal of Endocrinological Investigation (2019)
-
A role of PLC/PKC-dependent pathway in GLP-1-stimulated insulin secretion
Journal of Molecular Medicine (2017)
-
Racial/Ethnic Differences in Insulin Resistance and Beta Cell Function: Relationship to Racial Disparities in Type 2 Diabetes among African Americans versus Caucasians
Current Obesity Reports (2015)
-
The Dipeptidyl Peptidase (DPP)-4 Inhibitors for Type 2 Diabetes Mellitus in Challenging Patient Groups
Advances in Therapy (2013)
-
Pharmacokinetic/Pharmacodynamic Modeling of GLP-1 in Healthy Rats
Pharmaceutical Research (2012)


