Abstract
AIMS: To examine associations between psychological workload and subsequent 6-y weight changes.
METHODS: In total, 6704 Danish nurses, aged 45–65 y and employed both in 1993 and 1999, answered questionnaires about psychological workload, including busyness in job, job speed and job influence, and lifestyle, as well as body weight and height at both examinations.
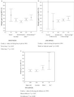
RESULTS: Danish nurses who reported being almost always busy, or never busy, gained significantly more weight (3.1 and 3.5 kg, respectively) than nurses who reported being sometimes busy, who gained 2.5 kg in weight (P=0.04, 0.002). Job speed was not associated with subsequent weight gain. Job influence was inversely associated with subsequent weight changes after 6 y. The mean weight gain for nurses with no job influence was 4.1 kg, whereas those having major job influence had a mean weight gain of 2.6 kg (P=0.002). Nurses who stated they felt almost always busy in their jobs and who had no job influence gained significantly more weight than those who were never busy and those with major influence in their jobs (P=0.007). All results were essentially similar before and after adjustment for confounders for nurses reporting both high and low workload. Nurses whose workload remained stable (for instance, being sometimes busy) both in 1993 and 1999 gained less weight than nurses who changed their workload. Nurses who experienced minor/no influence in job, in both 1993 and in 1999, experienced a greater weight gain as compared to nurses who attained influence in job over the 6-y period.
CONCLUSIONS: Psychological workload, particularly both low and high busyness in job and low influence in job, was associated with higher 6-y weight gain among female Danish nurses.
This is a preview of subscription content, access via your institution
Access options
Subscribe to this journal
Receive 12 print issues and online access
$259.00 per year
only $21.58 per issue
Buy this article
- Purchase on SpringerLink
- Instant access to the full article PDF.
USD 39.95
Prices may be subject to local taxes which are calculated during checkout


Similar content being viewed by others
References
WHO. Obesity–preventing and managing the global epidemic, Report of a World Health Organization—Consultation on Obesity. Geneva, 3–5 June 1997.
Krantz G, Östergren P . Common symptoms in middle aged women: their relation to employment status, psychosocial work conditions and social support in a Swedish setting. J Epidemiol Community Health 2000; 54: 192–199.
Karasek R, Theorell T . Healthy work-stress, productivity and the reconstruction of working life. Basic Books: New York; 1990. pp 1–381.
Greeno C, Wing RR . Stress-induced eating. Psychol Bull 1994; 115: 444–464.
Hellerstedt WL, Jeffery RW . The association of job strain and health behaviors in men and women. Int J Epidemiol 1997; 25: 575–583.
Theorell T, Ahlberg Hulten G, Jodko M, Sigala F, De la Torre B . Influence of job strain and emotion on blood pressure in female hospital personnel during workhours. Scand J Work Environ Health 1993; 19: 313–318.
Overgaard D, Gyntelberg F, Heitmann BL . Psychological workload and body weight. Is there an association?—a review of the literature. Occup Med (Lond) 2004; 54: 35–41.
Hundrup YA . Use of hormone replacement therapy among Danish nurses in 1993. Acta Obstet Gynecol Scand 2000; 79: 194–201.
Landsbergis PA, Schnall PL, Deitz DK, Warren K, Pickering TG, Schwartz JE . Job strain and health behaviours: results of a prospective study. Am J Health Promot 1998; 12: 237–245.
Klem ML . The psychological consequences of weight gain prevention in healthy, premenopausal women. Int J Eat Disord 1997; 21: 167–174.
Weinstein SE . Changes in food intake in response to stress in men and women: psychological factors. Appetite 1997; 28: 7–18.
Simkin-Silverman LR . Lifetime weight cycling and psychological health in normal-weight and overweight women. Int J Eat Disord 1995; 24: 175–183.
Nowack KM, Pentkowski AM . Lifestyle habits, substance use and predictors of job burnout in professional working women. Work Stress 1994; 8: 19–35.
Grunberg NE . The role of gender and taste class in the effects of stress on eating. Health Psychol 1992; 11: 97–100.
Steptoe A, Cropley M . Persistent high job demands and reactivity to mental stress predict future ambulatory blood pressure. J Hypertens 2000; 18: 581–586.
Steptoe A, Cropley M, Griffith J, Joekes K . The influence of abdominal obesity and chronic work stress on ambulatory blood pressure in men and women. Int J Obes Relat Metab Disord 1999; 23: 1184–1191.
Björntorp P . Endocrine abnormalities in obesity. Diabetes Rev 2000; 5: 52–58.
Björntorp P, Rosmond R . Visceral obesity and diabetes. Drugs 1999; 58: 13–18.
Drapeau V, Therrien F, Richard D, Tremblay A . Is visceral obesity a physiological adaptation to stress? Panminerva Med 2003; 45: 189–195.
Lissner L, Habicht JP, Strupp BJ, Levitsky DA, Haas JD, Roe DA . Body composition and energy intake: do overweight women overeat and underreport? Am J Clin Nutr 1989; 49: 320–325.
Perry GS, Byers TE, Mokdad AH, Serdula MK, Williamson David . The validity of self-reports of past body weights by US adults. Epidemiology 1995; 6: 61–66.
Lokkegaard EL, Johnsen SP, Heitmann BL, Stahlberg C, Pedersen AT, Obel EB, Hundrup YA, Hallas J, Sørensen HT . The validity of self-reported use of hormone replacement therapy among Danish nurses. Acta Obstet Gynecol Scand 2003; 82: 1–7.
Hundrup YA, Høidrup S, Obel EB, Rasmussen NK . The validity of self-reported fractures among Danish nurses: a comparison with fractures registered in the Danish National register. Scand J Public Health 2004; 32: 136–143.
Samaras K, Kelly PJ, Chiano MN, Spector TD, Campbell LV . Genetic and environmental influences on total-body and central abdominal fat: the effect of physical activity in female twins. Ann Intern Med 1999; 130: 873–882.
Author information
Authors and Affiliations
Corresponding author
Additional information
The Danish Nurse Cohort, National Institut of Public Health, Copenhagen, Denmark
Rights and permissions
About this article
Cite this article
Overgaard, D., Gamborg, M., Gyntelberg, F. et al. Psychological workload is associated with weight gain between 1993 and 1999: analyses based on the Danish Nurse Cohort Study. Int J Obes 28, 1072–1081 (2004). https://doi.org/10.1038/sj.ijo.0802720
Received:
Revised:
Accepted:
Published:
Issue date:
DOI: https://doi.org/10.1038/sj.ijo.0802720
Keywords
This article is cited by
-
Job strain and changes in the body mass index among working women: a prospective study
International Journal of Obesity (2015)
-
Working conditions and weight gain: a 28-year follow-up study of industrial employees
European Journal of Epidemiology (2008)
-
Les 10es Entretiens de nutrition, institut Pasteur de Lille L’obésité, une maladie nutritionnelle ?
Obésité (2008)
-
Psychological Workload and Weight Gain Among Women with and without Familial Obesity
Obesity (2006)
-
Psychosocial working conditions and weight gain among employees
International Journal of Obesity (2005)


