Abstract
Objective:
The objective of this study was to systematically evaluate the molecular basis of the association between visceral fat mass and plasma plasminogen activator inhibitor-1 (PAI-1) levels in man.
Design:
A comprehensive approach comprising observational, in vitro, and human intervention studies.
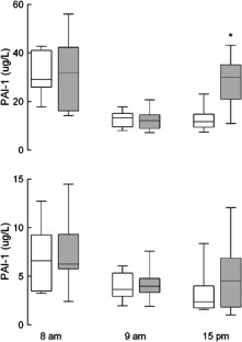
Measurements and results:
We confirmed an exclusive relationship between visceral fat and plasma PAI-1 levels (r=0.79, P<0.001) and corroborated preferential PAI-1 release from adipose tissue explants. Yet, messenger RNA analysis and in vivo measurement of PAI-1 release from visceral fat (AV-differences over the omentum) not only excluded visceral adipose tissue as a relevant source of circulating PAI-1, but also excluded visceral fat as a significant source of proinflammatory mediators such as tumor necrosis factor-α, IL-1 or transforming growth factor-β that could induce PAI-1 expression in tissues other than visceral fat. Short-term interventions with acipimox and growth hormone (GH) as well as statistical evaluation excluded free fatty acids and GH as metabolic links. Further analysis of the metabolic data in a stepwise regression model indicated that plasma PAI-1 levels and visceral fat rather are co-correlates that both relate to impaired lipid handling.
Conclusion:
Our PAI-1 studies show that visceral fat mass and plasma PAI-1 levels are co-correlated rather than causatively related, with lipid load as common denominator.
This is a preview of subscription content, access via your institution
Access options
Subscribe to this journal
Receive 12 print issues and online access
$259.00 per year
only $21.58 per issue
Buy this article
- Purchase on SpringerLink
- Instant access to the full article PDF.
USD 39.95
Prices may be subject to local taxes which are calculated during checkout


Similar content being viewed by others
References
Alessi MC, Juhan-Vague I . PAI-1 and the metabolic syndrome. Links, causes, and consequences. Arterioscler Thromb Vasc Biol 2006; 26: 2200–2207.
Skurk T, Hauner H . Obesity and impaired fibrinolysis: role of adipose production of plasminogen activator inhibitor-1. Int J Obes Relat Metab Disord 2004; 28: 1357–1364.
Kohler HP, Grant PJ . Plasminogen-activator inhibitor type 1 and coronary artery disease. N Engl J Med 2000; 342: 1792–1801.
Hanley AJ, Festa A, D’Agostino RB, Wagenknecht LE, Savage PJ, Tracy RP et al. Metabolic and inflammation variable clusters and prediction of type 2 diabetes: factor analysis using directly measured insulin sensitivity. Diabetes 2004; 53: 1773–1781.
Festa A, D’Agostino Jr R, Tracy RP, Haffner SM . Insulin resistance atherosclerosis study. Elevated levels of acute-phase proteins and plasminogen activator inhibitor-1 predict the development of type 2 diabetes: the insulin resistance atherosclerosis study. Diabetes 2002; 51: 1131–1137.
Shimomura I, Funahashi T, Takahashi M, Maeda K, Kotani K, Nakamura T et al. Enhanced expression of PAI-1 in visceral fat: possible contributor to vascular disease in obesity. Nat Med 1996; 2: 800–803.
Bastard JP, Pieroni L . Plasma plasminogen activator inhibitor 1, insulin resistance and android obesity. Biomed Pharmacother 1999; 53: 455–461.
Zoccali C, Mallamaci F, Tripepi G . Adipose tissue as a source of inflammatory cytokines in health and disease: focus on end-stage renal disease. Kidney Int Suppl 2003; 84: S65–S68.
Moller DE . Potential role of TNF-alpha in the pathogenesis of insulin resistance and type 2 diabetes. Trends Endocrinol Metab 2000; 11: 212–217.
Eckel RH, Grundy SM, Zimmet PZ . The metabolic syndrome. Lancet 2005; 365: 1415–1428.
Kluft C, Jie AF, Rijken DC, Verheijen JH . Daytime fluctuations in blood of tissue-type plasminogen activator (t-PA) and its fast-acting inhibitor (PAI-1). Thromb Haemost 1988; 59: 329–332.
Langendonk JG, Pijl H, Toornvliet AC, Burggraaf J, Frolich M, Schoemaker RC et al. Circadian rhythm of plasma leptin levels in upper and lower body obese women: influence of body fat distribution and weight loss. J Clin Endocrinol Metab 1998; 83: 1706–1712.
Hukshorn CJ, Lindeman JH, Toet KH, Saris WH, Eilers PH, Westerterp-Plantenga MS et al. Leptin and the proinflammatory state associated with human obesity. J Clin Endocrinol Metab 2004; 89: 1773–1778.
Yudkin JS, Coppack SW, Bulmer K, Rawesh A, Mohamed-Ali V . Lack of evidence for secretion of plasminogen activator inhibitor-1 by human subcutaneous adipose tissue in vivo. Thromb Res 1999; 96: 1–9.
Kok P, Buijs MM, Kok SW, Van Ierssel IH, Frolich M, Roelfsema F et al. Acipimox enhances spontaneous growth hormone secretion in obese women. Am J Physiol Regul Integr Comp Physiol 2004; 286: R693–R698.
Morange PE, Alessi MC, Verdier M, Casanova D, Magalon G, Juhan-Vague I . PAI-1 produced ex vivo by human adipose tissue is relevant to PAI-1 blood level. Arterioscler Thromb Vasc Biol 1999; 19: 1361–1365.
Dusserre E, Moulin P, Vidal H . Differences in mRNA expression of the proteins secreted by the adipocytes in human subcutaneous and visceral adipose tissues. Biochim Biophys Acta 2000; 1500: 88–96.
Alessi MC, Peiretti F, Morange P, Henry M, Nalbone G, Juhan-Vague I . Production of plasminogen activator inhibitor 1 by human adipose tissue: possible link between visceral fat accumulation and vascular disease. Diabetes 1997; 46: 860–867.
Lau DC, Dhillon B, Yan H, Szmitko PE, Verma S . Adipokines: molecular links between obesity and atheroslcerosis. Am J Physiol Heart Circ Physiol 2005; 288: H2031–H2041.
Moller DE . Potential role of TNF-alpha in the pathogenesis of insulin resistance and type 2 diabetes. Trends Endocrinol Metab 2000; 11: 212–217.
Birgel M, Gottschling-Zeller H, Rohrig K, Hauner H . Role of cytokines in the regulation of plasminogen activator inhibitor-1 expression and secretion in newly differentiated subcutaneous human adipocytes. Arterioscler Thromb Vasc Biol 2000; 20: 1682–1687.
Mohamed-Ali V, Goodrick S, Rawesh A, Katz DR, Miles JM, Yudkin JS et al. Subcutaneous adipose tissue releases interleukin-6, but not tumor necrosis factor-alpha, in vivo. J Clin Endocrinol Metab 1997; 82: 4196–4200.
Giacchetti G, Faloia E, Mariniello B, Sardu C, Gatti C, Camilloni MA et al. Overexpression of the renin–angiotensin system in human visceral adipose tissue in normal and overweight subjects. Am J Hypertens 2002; 15: 381–388.
Roebuck KA, Finnegan A . Regulation of intercellular adhesion molecule-1 (CD54) gene expression. J Leukoc Biol 1999; 66: 876–888.
Buijs MM, Romijn JA, Burggraaf J, De Kam ML, Cohen AF, Frolich M et al. Growth hormone blunts protein oxidation and promotes protein turnover to a similar extent in abdominally obese and normal-weight women. J Clin Endocrinol Metab 2002; 87: 5668–5674.
Arner P . Insulin resistance in type 2 diabetes: role of fatty acids. Diabetes Metab Res Rev 2002; 18: S5–S9.
Chan DC, Barrett HP, Watts GF . Dyslipidemia in visceral obesity: mechanisms, implications, and therapy. Am J Cardiovasc Drugs 2004; 4: 227–246.
Bastard JP, Bruckert E, Robert JJ, Ankri A, Grimaldi A, Jardel C et al. Are free fatty acids related to plasma plasminogen activator inhibitor 1 in android obesity? Int J Obes Relat Metab Disord 1995; 19: 836–838.
Silveira A . Postprandial triglycerides and blood coagulation. Exp Clin Endocrinol Diabetes 2001; 109: S527–S532.
Gurlek A, Bayraktar M, Kirazli S . Increased plasminogen activator inhibitor-1 activity in offspring of type 2 diabetic patients: lack of association with plasma insulin levels. Diabetes Care 2000; 23: 88–92.
Scelles V, Raccah D, Alessi MC, Vialle JM, Juhan-Vague I, Vague P . Plasminogen activator inhibitor 1 and insulin levels in various insulin resistance states. Diabete Metab 1992; 18: 38–42.
Kakafika AI, Liberopoulos EN, Karagiannis A, Athyros VG, Mikhailidis DP . Dyslipidaemia, hypercoagulability and the metabolic syndrome. Curr Vasc Pharmacol 2006; 4: 175–183.
Lemieux I, Pascot A, Tchernof A, Bergeron J, Prud'homme D, Bouchard C et al. Visceral adipose tissue and low-density lipoprotein particle size in middle-aged versus young men. Metabolism 1999; 48: 1322–1327.
Milosavljevic D, Griglio S, Le Naour G, Chapman MJ . Preferential reduction of very low-density lipoprotein-1 particle number by fenofibrate in type IIB hyperlipidemia: consequences for lipid accumulation in human monocyte-derived macrophages. Atherosclerosis 2001; 155: 251–260.
Durrington PN, Mackness MI, Bhatnagar D, Julier K, Prais H, Arrol S et al. Effects of two different fibric acid derivatives on lipoproteins, cholesteryl ester transfer, fibrinogen, plasminogen activator inhibitor and paraoxonase activity in type IIb hyperlipoproteinaemia. Atherosclerosis 1998; 138: 217–225.
Frayn KN . Visceral fat and insulin resistance – causative or correlative? Br J Nutr 2000; 83: S71–S77.
Alessi MC, Bastelica D, Mavri A, Morange P, Berthet B, Grino M et al. Plasma PAI-1 levels are more strongly related to liver steatosis than to adipose tissue accumulation. Arterioscler Thromb Vasc Biol 2003; 23: 1262–1268.
Agarwal N, Sharma BC . Insulin resistance and clinical aspects of non-alcoholic steatohepatitis (NASH). Hepatol Res 2005; 33: 92–96.
Acknowledgements
We thank Professor Hans Romijn for his helpful comments during the preparation of the paper. This work was supported by The Netherlands Heart Foundation (NHS 1997-100).
Author information
Authors and Affiliations
Corresponding author
Rights and permissions
About this article
Cite this article
Lindeman, J., Pijl, H., Toet, K. et al. Human visceral adipose tissue and the plasminogen activator inhibitor type 1. Int J Obes 31, 1671–1679 (2007). https://doi.org/10.1038/sj.ijo.0803650
Received:
Revised:
Accepted:
Published:
Issue date:
DOI: https://doi.org/10.1038/sj.ijo.0803650


