Abstract
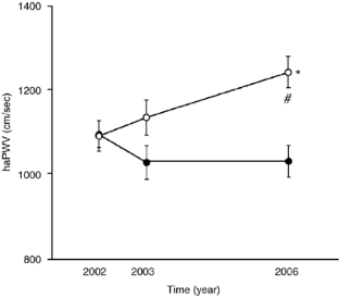
Cardiovascular diseases constitute major cause of death in chronic kidney diseases (CKDs). We examined the effects of angiotensin inhibition either with angiotensin-converting enzyme inhibitor or with angiotensin receptor blocker on patient prognosis and heart-ankle pulse wave velocity (haPWV) in CKDs. Randomized controlled study was performed on 102 patients with non-diabetic CKDs. Patients were divided into two groups with or without angiotensin inhibition, and followed until death, creatinine clearance was halved or starting renal replacement therapy, whichever occurred first. For 4 years, haPWV was assessed repeatedly in the surviving patients. While both groups showed well blood pressure control throughout 4 years (129±1 to 131±2/71±1 to 73±2 mm Hg), renal prognosis was better in angiotensin inhibition group (P<0.05). In addition, angiotensin inhibition reduced cardiovascular and renal death (P<0.05). Age, sex, heart rate, systolic blood pressure and proteinuria were correlated to haPWV (R2=0.76, P<0.0001). Although haPWV was similar between two groups at the start of the study (1098±31 vs 1094±37 cm/s), it was higher in patients without angiotensin inhibition than that with angiotensin inhibition 4 years later (1034±38 cm/s (n=28) vs 1242±37 cm/s (n=23), P<0.01). The present results provided the evidence that angiotensin inhibition arrested a time-dependent elevation of haPWV in non-diabetic CKDs, conferring organ protection. Furthermore, our data indicated that angiotensin inhibition improved patient prognosis in non-diabetic chronic kidney diseases with mild-to-moderate renal dysfunction.
This is a preview of subscription content, access via your institution
Access options
Subscribe to this journal
Receive 12 digital issues and online access to articles
$119.00 per year
only $9.92 per issue
Buy this article
- Purchase on SpringerLink
- Instant access to the full article PDF.
USD 39.95
Prices may be subject to local taxes which are calculated during checkout






Similar content being viewed by others
References
The GISEN Group (Gruppo Italiano di Studi Epidemiologici in Nefrologia). Randomised placebo-controlled trial of effect of ramipril on decline in glomerular filtration rate and risk of terminal renal failure in proteinuric, non-diabetic nephropathy. Lancet 1997; 349: 1857–1863.
Brenner BM, Cooper ME, de Zeeuw D, Keane WF, Mitch WE, Parving HH, et al., RENAAL Study Investigators. Effects of losartan on renal and cardiovascular outcomes in patients with type 2 diabetes and nephropathy. N Engl J Med 2001; 345: 861–869.
Jafar TH, Schmid CH, Landa M, Giatras I, Toto R, Remuzzi G et al. Angiotensin-converting enzyme inhibitors and progression of nondiabetic renal disease. A meta-analysis of patient-level data. Ann Intern Med 2001; 135: 73–87.
Jafar TH, Stark PC, Schmid CH, Landa M, Maschio G, de Jong PE, et al., AIPRD Study Group. Progression of chronic kidney disease: the role of blood pressure control, proteinuria, and angiotensin-converting enzyme inhibition: a patient-level meta-analysis. Ann Intern Med 2003; 139: 244–252.
Bidani AK, Griffin KA . The benefits of renin-angiotensin blockade in hypertension are dependent on blood-pressure lowering. Nat Clin Pract Nephrol 2006; 2: 542–543.
Sarnak MJ, Levey AS, Schoolwerth AC, Coresh J, Culleton B, Hamm LL et al. Kidney disease as a risk factor for development of cardiovascular disease: a statement from the American Heart Association Councils on Kidney in Cardiovascular Disease, High Blood Pressure Research, Clinical Cardiology, and Epidemiology and Prevention. Circulation 2003; 108: 2154–2169.
Jungers P, Khoa TN, Massy ZA, Zingraff J, Labrunie M, Descamps-Latscha B et al. Incidence of atherosclerotic arterial occlusive accidents in predialysis and dialysis patients: a multicentric study in the Ile de France district. Nephrol Dial Transplant 1999; 14: 898–902.
Patient Registration Committee, Japanese Society for Dialysis Therapy, Tokyo. An overview of regular dialysis treatment in Japan (as of 31 December 2002). Ther Apher Dial 2004; 8: 358–382.
Nakamura T, Kanno Y, Takenaka T, Suzuki H, for the Efficacy of Candesartan on Outcome in Saitama Trial (E-COST) Group. An angiotensin receptor blocker reduces the risk of congestive heart failure in elderly hypertensive patients with renal insufficiency. Hypertens Res 2005; 28: 415–423.
O'Hare AM, Glidden DV, Fox CS, Hsu CY . High prevalence of peripheral arterial disease in persons with renal insufficiency: results from the National Health and Nutrition Examination Survey 1999–2000. Circulation 2004; 109: 320–323.
Takenaka T, Takahashi K, Kabayashi T, Oshima E, Iwasaki S, Suzuki H . Oxidized low-density lipoprotein as a marker of atherosclerosis in hemodilaysis patients. Clin Nephrol 2002; 58: 33–37.
Bakris GL . Angiotensin-converting enzyme inhibition to enhance vascular health—clinical and research models. Am J Hypertens 2001; 14: 264S–269S.
Dahlof B, Devereux RB, Kjeldsen SE, Julius S, Beevers G, de Faire U, et al., LIFE Study Group. Cardiovascular morbidity and mortality in the Losartan Intervention For Endpoint reduction in hypertension study (LIFE): a randomised trial against atenolol. Lancet 2002; 359: 995–1003.
Guerin AP, Blacher J, Pannier B, Marchais SJ, Safar ME, London GM . Impact of aortic stiffness attenuation on survival of patients in end-stage renal failure. Circulation 2001; 103: 987–992.
Blacher J, Asmar R, Djane S, London GM, Safar ME . Aortic pulse wave velocity as a marker of cardiovascular risk in hypertensive patients. Hypertension 1999; 33: 1111–1117.
Safar ME, Levy BI, Struijker-Boudier H . Current perspectives on arterial stiffness and pulse pressure in hypertension and cardiovascular diseases. Circulation 2003; 107: 2864–2869.
Yamashina A, Tomiyama H, Takeda K, Tsuda H, Arai T, Hirose K et al. Validity, reproducibility, and clinical significance of noninvasive brachial-ankle pulse wave velocity measurement. Hypertens Res 2002; 25: 359–364.
Takenaka T, Kobayashi K, Suzuki H . Pulse wave velocity as an indicator of arteriosclerosis in hemodialysis patients. Atherosclerosis 2004; 176: 405–409.
Nakamura U, Iwase M, Nohara S, Kanai H, Ichikawa K, Iida M . Usefulness of brachial-ankle pulse wave velocity measurement: correlation with abdominal aortic calcification. Hypertens Res 2003; 26: 163–167.
Imanishi R, Seto S, Toda G, Yoshida M, Ohtsuru A, Koide Y et al. High brachial-ankle pulse wave velocity is an independent predictor of the presence of coronary artery disease in men. Hypertens Res 2004; 27: 71–78.
Gibbons GH, Dzau VJ . The emerging concept of vascular remodeling. N Engl J Med 1994; 330: 1431–1438.
Kato H, Suzuki H, Tajima S, Ogata Y, Tominaga T, Sato A et al. Angiotensin II stimulates collagen synthesis in cultured vascular smooth muscle cells. J Hypertens 1991; 9: 17–22.
Pagano PJ, Chanock SJ, Siwik DA, Colucci WS, Clark JK . Angiotensin II induces p67phox mRNA expression and NADPH oxidase superoxide generation in rabbit aortic adventitial fibroblasts. Hypertension 1998; 32: 331–337.
Cockcroft DW, Gault MH . Prediction of creatinine clearance from serum creatinine. Nephron 1976; 16: 31–41.
Suzuki H, Nakamoto H, Okada H, Sugahara S, Kanno Y . Self-measured systolic blood pressure in the morning is a strong indicator of decline of renal function in hypertensive patients with non-diabetic chronic renal insufficiency. Clin Exp Hypertens 2002; 24: 249–260.
Takenaka T, Itaya Y, Suzuki H . Young hemodialysis patients are exposed to hyperhomocysteinemia. J Ren Nutr 2005; 15: 435–440.
McDonald DA . Regional pulse-wave velocity in the arterial tree. J Appl Physiol 1968; 24: 73–78.
Michel JB, Heudes D, Michel O, Poitevin P, Philippe M, Scalbert E et al. Effect of chronic ANG I-converting enzyme inhibition on aging processes. II. Large arteries. Am J Physiol 1994; 267: R124–R135.
Atkinson J, Tatchum-Talom R, Corman B . Effect of chronic ANG I-converting enzyme inhibition on aging processes. III. Endothelial function of mesenteric arterial bed of rat. Am J Physiol 1994; 267: R136–R143.
Wang MC, Tsai WC, Chen JY, Huang JJ . Stepwise increase in arterial stiffness corresponding with the stages of chronic kidney disease. Am J Kidney Dis 2005; 45: 494–501.
Hirata K, Vlachopoulos C, Adji A, O'Rourke MF . Benefits from angiotensin-converting enzyme inhibitor ‘beyond blood pressure lowering’: beyond blood pressure or beyond the brachial artery? J Hypertens 2005; 23: 551–556.
Takenaka T, Mimura T, Kanno Y, Suzuki H . Qualification of arterial stiffness as a risk factor to the progression of chronic kidney diseases. Am J Nephrol 2005; 25: 417–424.
Okada H, Inoue T, Kanno Y, Kobayashi T, Watanabe Y, Kopp JB et al. Interstitial fibroblast-like cells express renin-angiotensin system components in a fibrosing murine kidney. Am J Pathol 2002; 160: 765–772.
Hisada Y, Sugaya T, Yamanouchi M, Uchida H, Fujimura H, Sakurai H et al. Angiotensin II plays a pathogenic role in immune-mediated renal injury in mice. J Clin Invest 1999; 103: 627–635.
Asmar RG, London GM, O'Rourke ME, Mallion JM, Romero R, Rahn KH, et al., REASON Project Investigators (pREterax in regression of Arterial Stiffness in a contrOlled double-bliNd Study). Amelioration of arterial properties with a perindopril-indapamide very-low-dose combination. J Hypertens 2001; 19: S15–S20.
Garg JP, Ellis R, Elliott WJ, Hasabou N, Chua D, Chertow GM et al. Angiotensin receptor blockade and arterial compliance in chronic kidney disease: a pilot study. Am J Nephrol 2005; 25: 393–399.
Yusuf S, Sleight P, Pogue J, Bosch J, Davies R, Dagenais G . Effects of an angiotensin-converting-enzyme inhibitor, ramipril, on cardiovascular events in high-risk patients. The Heart Outcomes Prevention Evaluation Study Investigators. N Engl J Med 2000; 342: 145–153.
Banerjee D, Brincat S, Gregson H, Contreras G, Streather C, Oliveira D et al. Pulse pressure and inhibition of renin-angiotensin system in chronic kidney disease. Nephrol Dial Transplant 2006; 21: 975–978.
Tozawa M, Iseki K, Iseki C, Takishita S . Pulse pressure and risk of total mortality and cardiovascular events in patients on chronic hemodialysis. Kidney Int 2002; 61: 717–726.
Takenaka T, Suzuki H . New strategy to attenuate pulse wave velocity in hemodialysis patients. Nephrol Dial Transplant 2005; 20: 811–816.
Amann K, Wolf B, Nichols C, Tornig J, Schwarz U, Zeier M et al. Aortic changes in experimental renal failure: hyperplasia or hypertrophy of smooth muscle cells? Hypertension 1997; 29: 770–775.
Acknowledgements
We thank Chieko Yanagitate and Maiko Toma for their excellent secretarial help during the preparation of this manuscript.
Author information
Authors and Affiliations
Corresponding author
Rights and permissions
About this article
Cite this article
Mimura, T., Takenaka, T., Kanno, Y. et al. Vascular compliance is secured under angiotensin inhibition in non-diabetic chronic kidney diseases. J Hum Hypertens 22, 38–47 (2008). https://doi.org/10.1038/sj.jhh.1002264
Received:
Revised:
Accepted:
Published:
Issue date:
DOI: https://doi.org/10.1038/sj.jhh.1002264
Keywords
This article is cited by
-
Renin-angiotensin system inhibitors in hypertensive adults with non-diabetic CKD with or without proteinuria: a systematic review and meta-analysis of randomized trials
Hypertension Research (2019)
-
The Japanese Society of Hypertension Guidelines for the Management of Hypertension (JSH 2019)
Hypertension Research (2019)
-
Effects of muscle contraction timing during resistance training on vascular function
Journal of Human Hypertension (2009)
-
Upper but not lower limb resistance training increases arterial stiffness in humans
European Journal of Applied Physiology (2009)


