Abstract
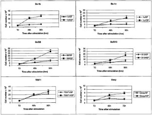
Insulin-like growth factor I receptor (IGF-IR) has been implicated in the normal and malignant growth of many cell types including cells from the central nervous system. In the cerebellar cortex IGF-IR mRNA is found in granular cells and IGF-I stimulation is mitogenic and protects cells from low-potassium-induced apoptosis. Since primitive neuroectodermal tumors/medulloblastomas (PNETs/medulloblastomas) are suspected to originate from the external cerebellar granular layer, it is reasonable to postulate that IGF-IR and/or its signaling molecules may contribute to the transformation of these poorly differentiated cells. To study activation of the IGF-IR system in medulloblastomas, we have utilized an antibody (anti-pY1316) that specifically recognizes the phosphorylated (active) form of the IGF-IR. Medulloblastoma biopsy specimens were positive when examined immunohistochemically with anti-Y1316 antibody. Further analysis of the IGF-IR system was performed in three human (Daoy, TE-671, D283 Med) and four mouse (BsB8, BsB13, Bs-1b, Bs-1c) medulloblastoma cell lines. All the murine cell lines examined express IGF-IR and PI3-kinase at relatively normal levels, and grossly overexpress IRS-1, when compared with normal mouse cerebellum. Within 15 min following IGF-I stimulation both mouse and human cell lines phosphorylate the β subunit of the IGF-IR, IRS-1, Akt, and MAP kinases. They respond with cell proliferation when stimulated solely with IGF-I and are strongly inhibited when challenged with a dominant negative mutant of the IGF-IR (486/STOP), or with antisense oligonucleotides against the IGF-IR mRNA.
This is a preview of subscription content, access via your institution
Access options
Subscribe to this journal
Receive 50 print issues and online access
$259.00 per year
only $5.18 per issue
Buy this article
- Purchase on SpringerLink
- Instant access to the full article PDF.
USD 39.95
Prices may be subject to local taxes which are calculated during checkout






Similar content being viewed by others
References
Antoniades HN, Galanopoulos T, Neville-Golden J, Maxwell M . 1992 Int. J. Cancer 50: 215–222
Baker J, Liu JP, Robertson EJ, Efstratiadis A . 1993 Cell 75: 73–82
Baserga R . 1994 Cell 79: 927–930
Baserga R . 1995 Cancer Res. 55: 240–252
Baserga R, Hongo A, Rubini M, Prisco M, Valentinis B . 1997 Biochim. Biophys. Act. 1332: F105–F126
Burgaud JL, Resnicoff M, Baserga R . 1995 Biophys. Biochem. Res. Comm. 214: 475–481
Coppola D, Ferber A, Miura M, Sell C, D'Ambrosio C, Rubin R, Baserga R . 1994 Mol. Cell. Biol. 14: 4588–4595
D'Ambrosio C, Ferber A, Resnicoff M, Baserga R . 1996 Cancer Res. 56: 4013–4020
DeAngelis T, Ferber A, Baserga RJ . 1995 J. Cell Physiol. 164: 214–221
Dunn SE, Ehrlich M, Sharp NJH, Reiss K, Solomon G, Hawkins R, Baserga R, Barrett JC . 1998 Cancer Res. 58: 3353–3361
Fei ZL, D'Ambrosio C, Li S, Surmacz E, Baserga R . 1995 Mol. Cell. Biol. 15: 4232–4239
Fults D, Maness PF, Nakamura Y, White R . 1989 Brain Res. 503: 281–287
Gallia GL, Gordon J, Khalili K . 1998 J. Neurovirol. 4: 175–181
Gluckman P, Klempt N, Guan J, Mallard C, Sirimanne E, Dragumow M, Klempt M, Singh K, Williams C, Nikolics K . 1992 Biochem. Biophys. Res. Comm. 182: 593–599
Kalebic T, Tsokos M, Helman LJ . 1994 Cancer Res. 54: 5531–5534
Kauffmann-Zeh A, Rodriguez-Viciana P, Ulrich E, Gilbert C, Coffer P, Downward J, Evan G . 1997 Nature 385: 544–548
Krynska B, Del Valle L, Gordon J, Otte J, Croul S, Khalili K . 2000 Virology 274: 65–74
Krynska B, Del Valle L, Croul S, Gordon J, Katsetos CD, Carbone M, Giordano A, Khalili K . 1999 Proc. Natl. Acad. Sci. USA 96: 11519–11524
Kulik G., Klippel A, Weber MJ . 1997 Mol. Cell. Biol. 17: 1595–1606
LeRoith D, Werner H, Faria TN, Kato H, Adamo M, Roberts Jr CT . 1993 Ann. NY Acad. Sci. 692: 22–32
Liu JP, Baker J, Perkins AS, Robertson EJ, Efstratiadis A . 1993 Cell 75: 59–72
Martin DM, Yee D, Carlson RO, Feldman EL . 1992 Mol. Brain Res. 15: 241–246
Miura M, Li S, Baserga R . 1995 Cancer Res. 55: 663–667
Morrione A, DeAngelis T, Baserga R . 1995 J. Virol. 69: 5300–5303
Morrione A, Romano G, Navarro M, Reiss K, Valentinis B, Devs M, Rosen MR, Eves E, Baserga R . 2000 Cancer Res. 60: 2263–2272
Myers MJ, Sun XJ, Cheatham B, Jachna BR, Glasheen EM, Backer JM, White MF . 1993 Endocrinol. 132: 1421–1430
Pappas IS, Sophianos D, Tzartos S, Tsiftsoglou AS . 1996 Cell Growth Differ. 7: 797–809
Patti R, Reddy CD, Geoerger B, Grotzer MA, Raghunath M, Sutton LN, Phillips PC . 2000 Int. J. Oncol. 3: 577–584
Payne DM, Rossomando AJ, Martino P, Erickson AK, Her JH, Shabanowitz J, Hunt DF, Weber MJ, Sturgill TW . 1991 EMBO J. 10: 885–892
Porcu P, Grana X, Li S, Swantek J, De Luca A, Giordano A, Baserga R . 1994 Oncogene 9: 2125–2134
Prager D, Li HL, Asa S, Melmed S . 1994 Proc. Natl. Acad. Sci. USA 91: 2181–2185
Reiss K, Cheng W, Kajstura J, Sonnenblick EH, Meggs LG, Anversa P . 1995 Am. J. Physiol. 269: H943–H951
Reiss K, D'Ambrosio C, Tu X, Tu C . 1998a Clin. Cancer Res. 4: 2647–2655
Reiss K, Valentinis B, Tu X, Baserga R . 1998b Exp. Cell Res. 242: 361–372
Reiss K, Wang JY, Romano G, Furnari FB, Cavenee WK, Morrione A, Tu X, Baserga R . 2000 Oncogene. 19: 2687–2694
Reiss K, Yumet G, Shan S, Huang Z, Alnemri E, Srinivasula SM, Wang JY, Morrione A, Baserga R . 1999 J. Cell. Physiol. 181: 124–135
Resnicoff M, Sell CH, Rubini M, Coppola D, D'Ambrosio C, Baserga R, Rubin R . 1994 Cancer Res. 54: 2218–2222
Rubini M, D'Ambrosio C, Carturan S, Yumet G, Catalano E, Shan S, Huang Z, Criscuolo M, Pifferi M, Baserga R . 1999 Exp. Cell. Res. 251: 22–32
Rubini M, Hongo A, D'Ambrosio C, Baserga R . 1997 Exp. Cell Res. 230: 284–292
Sell C, Baserga R, Rubin R . 1995 Cancer Res. 55: 303–306
Sell C, Dumenil G, Deveaud C, Miura M, Coppola D, DeAngelis T, Rubin R, Efstratiadis A, Baserga R . 1994 Mol. Cell. Biol. 14: 3604–3612
Sell C, Rubini M, Rubin R, Liu JP, Efstratiadis A, Baserga R . 1993 Proc. Natl. Acad. Sci. USA 90: 11217–11221
Shapiro DN, Jones BG, Shapiro LH, Dias P, Houghton PJ . 1994 J. Clin. Invest. 94: 1235–1242
Steller MA, Zou Z, Schiller JT, Baserga R . 1996 Cancer Res. 56: 5087–5091
Stratton MR, Darling J, Pilkington GJ, Lantos PL, Reeves BR, Cooper CS . 1989 Carcinogenesis 10: 899–905
Trojan J, Blossey BK, Johnson TR, Rudin SD, Tykocinski M, Ilan J, Ilan J . 1992 Proc. Natl. Acad. Sci. USA 89: 4874–4878
Trojan J, Johnson TR, Rudin SD, Ilan J, Tykocinski ML, Ilan I . 1993 Science 256: 94–97
Valentinis B, Morrione A, Peruzzi F, Reiss K, Baserga R . 1999a Oncogene 18: 1827–1836
Valentinis B, Morrione A, Taylor SJ, Baserga R . 1997 Mol. Cell. Biol. 17: 3744–3754
Valentinis B, Romano G, Peruzzi F, Morrione A, Prisco M, Soddu S, Cristofanelli B, Sacchi A, Baserga R . 1999b J. Biol. Chem. 274: 12423–12430
Waters SB, Yamauchi K, Pessin JE . 1993 J. Biol. Chem. 268: 22231–22234
Acknowledgements
Samples of frozen human cerebellum were kindly provided by Dr Mary Herman and Dr Joel E Kleinman from Neuropathology Section-CBDB NIMH, Bethesda, MD, USA. This work is supported by grant NIH PO-1 NS 36466. Reiss K, Tu X, Romano G, Wang J, Baserga R. Mechanism of action of a dominant-negative mutant of the IGF-I receptor (submitted for publication).
Author information
Authors and Affiliations
Rights and permissions
About this article
Cite this article
Wang, J., Del Valle, L., Gordon, J. et al. Activation of the IGF-IR system contributes to malignant growth of human and mouse medulloblastomas. Oncogene 20, 3857–3868 (2001). https://doi.org/10.1038/sj.onc.1204532
Received:
Revised:
Accepted:
Published:
Issue date:
DOI: https://doi.org/10.1038/sj.onc.1204532
Keywords
This article is cited by
-
CSF1R inhibition depletes tumor-associated macrophages and attenuates tumor progression in a mouse sonic Hedgehog-Medulloblastoma model
Oncogene (2021)
-
ROS accumulation and IGF-IR inhibition contribute to fenofibrate/PPARα -mediated inhibition of Glioma cell motility in vitro
Molecular Cancer (2010)
-
Developmental and oncogenic effects of Insulin-like Growth Factor-I in Ptc1+/- mouse cerebellum
Molecular Cancer (2010)
-
IGF-IR-dependent expression of Survivin is required for T-antigen-mediated protection from apoptosis and proliferation of neural progenitors
Cell Death & Differentiation (2010)
-
Expression and function of the insulin receptor substrate proteins in cancer
Cell Communication and Signaling (2009)


