Abstract
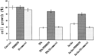
The signal pathway mediating induction of p15INK4b and p16INK4a during HepG2 growth inhibition triggered by the phorbol ester tumor promoter TPA (12-O-tetradecanoylphorbol 13-acetate) and the Chinese herb Saikosaponin a was investigated. Western blot of three activated forms of mitogen-activated protein kinase (MAPK) (p-ERK, p-JNK and p-p38) demonstrated that phosphorylation of ERK is dramatically induced (11.6-fold) by TPA during 15 min to 1 h and significantly induced (2.5-fold) by Saikosaponin α at 30 min, whereas phosphorylation of JNK was induced only by TPA during 30 min to 1 h. Phosphorylation of p38 was not induced by either drug. During this period, phosphorylation of one of the downstream transcriptional factors of MAPK cascade, ATF2, was 3.2- and 2.0-fold induced by TPA and Saikosaponin a, respectively, whereas that of another transcriptional factor, c-jun, was induced by TPA only. On the other hand, expressions of proto-oncogene c-jun, junB and c-fos were induced by TPA and Saikosaponin a during 30 min to 6 h of treatment. Pretreatment of 20 μg/ml PD98059, an inhibitor of MEK which is the upstream kinase of ERK, prevents the TPA- and Saikosaponin a-triggered HepG2 growth inhibition by 50 and 30%, respectively, accompanied by a 50 – 85% decrease of the p15INK4b/p16INK4a RNAs and proteins induced by both drugs. Inductions of c-fos RNA by both drugs and c-jun phosphorylation by TPA were also significantly reduced by PD98059 pretreatment. In addition, AP-1 DNA-binding assay using nonisotopic capillary electrophoresis and laser-induced fluorescence (CE/LIF) demonstrated that the AP-1-related DNA-binding activity was significantly induced by TPA and Saikosaponin a, which can be reduced by PD98059 pretreatment. These results suggested that activation of ERK together with its downstream transcriptional machinery mediated p15INK4b and p16INK4a expression that led to HepG2 growth inhibition.
This is a preview of subscription content, access via your institution
Access options
Subscribe to this journal
Receive 50 print issues and online access
$259.00 per year
only $5.18 per issue
Buy this article
- Purchase on SpringerLink
- Instant access to the full article PDF.
USD 39.95
Prices may be subject to local taxes which are calculated during checkout








Similar content being viewed by others
References
Agadir A, Cen G-Q, Bost F, Li Y, Mercola D and Zhang X-K . (1999). J. Biol. Chem., 274(42), 29779–29785.
Bosch M, Gil J, Bachs O and Agell N (1998). J. Biol. Chem., 273, 22145–22150.
Campbell I, Magliocco A, Moyana T, Zheng C and Xiang J . (2000). Cancer Gene Ther 7(9), 1270–1278.
Cocolakis E, Lemay S, Ali S and Lebrun J-J . (2001). J. Biol. Chem., 276(21), 18430–18436.
Dam HV and Castellazzi M . (2001). Oncogene, 20, 2453–2464.
Derynck R, Akhurst RJ and Balmian A . (2001). Nat. Genet., 29, 117–129.
Faacchini LM and Penn LZ . (1998). FASEB J. 12, 633–651.
Fatima M-G, Damien G and Moshe Y . (2001). Oncogene, 20, 2378–2389.
Foulds GJ and Etzkorn FA . (1998). Nucleic Acid Res., 26(18), 4404–4305.
Franklin CC and Kraft AS . (1995). Oncogene, 11(11), 2365–2374.
Fuxe J, Akusjarvi G, Goike HM, Roos G, Collins VP and Pettersson RF . (2000). Cell growth Diff., 11(7), 373–384.
Gille H, Strahl T and Shaw PE . (1995). Curr. Biol., 5(10), 1191–1200.
Gold LI . (1999). Crit. Rev. Oncogen., 14(4), 303–360.
Halfter H, Friedrich M, Postert C, Ringelstein EB and Stogbauer F . (1999). Mol. Cell. Biol. Res. Commu., 1(2), 109–116.
Hartsough MT, Frey RS, Zipfel PA, Buard A, Cook SJ, McCromick F and Mulder KM . (1996). J. Biol. Chem., 271, 22368–22375.
Hochholdinger F, Baier G, Nogalo A, Bauer B, Grunicke HH and Uberall F . (1999). Mol. Cell. Biol., 19(12), 8042–8065.
Jin M, Piao Z, Kim NG, Park C, Shin EC, Park JM, Jung HJ, Kim CG and Kim H . (2000). Cancer, 89(1), 60–68.
Karin M . (1995). J. Biol. Chem., 270, 16483–16486.
Karin M, Liu Z and Zandi E . (1997). Curr. Opin Cell Biol., 9, 240–246.
Kavanagh KT, Hafer LJ, Kim DW, Mann KK, Sherr DH, Rogers AE and Sonenshein GE . (2001). J. Cell. Biochem., 82(3), 387–398.
Kimura A, Ohmichi M, Kurachi H, Ikegami H, Hayakawa J, Tasaka K, Kanda Y, Nishio Y, Jikihara H, Matsuura N and Murata Y . (1999). Cancer Res., 59(20), 5133–5142.
Latres E, Malumbres M, Sotillo R, Martin J, Ortega S, Martin- Caballero J, Flores JM, Cordon-Cardo C and Barbacid M . (2000). EMBO J., 19(13), 3496–3506.
Lin AW, Barradas M, Stone JC, Van Aelst L, Serrano M and Lowe SW . (1998). Genes Dev., 12, 3008–3019.
Lioyd AC . (1998). Curr. Opin. Genet Dev., 8, 43–48.
Malumbers M, Perez De Castro I, Hernaandez MI, Jimenez M, Corral T and Pellicer A . (2000). Mol. Cell. Biol., 20(8), 2915–2925.
Onishi T, Yamakawa K, Franco OE, Suzuki R and Kawamura J . (2000). Anticancer Res., 20(5A), 3075–3081.
Passegue E and Wagner EF . (2000). EMBO J., 19(12), 2969–2979.
Pumiglia KM and Decker SJ . (1997). Proc. Natl. Acad. Sci. USA, 94, 448–452.
Robson CN, Gnanapragasam V, Byrne RL, Collins AT and Neal DE . (1999). J. Endocrinol., 160, 257–266.
Roovers K and Assoian RK . (2000). BioEssays, 22, 818–826.
Roussel MF . (1999). Oncogene, 18(38), 5311–5317.
Seoane J, Pouponnot C, Staller P, Schader M, Eilers M and Massague J . (2001). Nat. Cell Biol., 3, 400–408.
Serrano M, Lee H-W, Chin L, Cordon-Cardo C, Beach D and Depinho RA . (1996). Cell, 85, 27–37.
Serrano M, Lin AW, McCurrach ME, Beach D and Lowe SW . (1997). Cell, 88, 593–602.
Shaulian E and Karian M . (2001). Oncogene, 20, 2390–2400.
Verlinden L, Verstuyf A, Van Camp M, Marcelis S, Sabbe K, Zhao XY, De Clercq P, Vandewalle M and Bouillon R . (2000). Cancer Res., 60(10), 2673–2679.
Wang Y and Prywes R . (2000). Oncogene, 19(11), 1379–1385.
Waskiewicz AJ and Cooper JA . (1995). Curr. Opin. Cell Biol., 7, 798–805.
Weber E, Ravi RK, Knudsen ES, William JR, Dillehay LE, Nelkin BD, Kalemkerian GP, Feremisco JR and Mabry M . (1999). Int. J. Cancer, 80(6), 935–943.
Wong H, Anderson WD, Cheng T and Riabowol KT . (1994). Anal. Biochem., 223(2), 251–258.
Woods D, Parry D, Cherwinski H, Lees E and McMahon M . (1997). Mol. Cell. Biol., 17, 5598–5611.
Wu W-S and Heu H-Y . (2001). Biochem. Biophys. Res. Commun., 285, 183–187.
Yang X, Chen Y and Gabuzda D . (1999). J. Biol Chem., 274(39), 27981–27988.
Zauberman K, Oren M and Zipori D . (1997). Oncogene, 15, 1705–1711.
Acknowledgements
We thank TZU CHI University for the financial support and Dr Lai and Dr Hu for providing instrumentation and materials for CE/LIF analysis.
Author information
Authors and Affiliations
Corresponding author
Rights and permissions
About this article
Cite this article
Wen-Sheng, W. ERK signaling pathway is involved in p15INK4b/p16INK4a expression and HepG2 growth inhibition triggered by TPA and Saikosaponin a. Oncogene 22, 955–963 (2003). https://doi.org/10.1038/sj.onc.1206237
Received:
Revised:
Accepted:
Published:
Issue date:
DOI: https://doi.org/10.1038/sj.onc.1206237
Keywords
This article is cited by
-
BI-847325, a selective dual MEK and Aurora kinases inhibitor, reduces aggressive behavior of anaplastic thyroid carcinoma on an in vitro three-dimensional culture
Cancer Cell International (2022)
-
TGF-β1/IL-11/MEK/ERK signaling mediates senescence-associated pulmonary fibrosis in a stress-induced premature senescence model of Bmi-1 deficiency
Experimental & Molecular Medicine (2020)
-
Overexpression of P16 reversed the MDR1-mediated DDP resistance in the cervical adenocarcinoma by activating the ERK1/2 signaling pathway
Cell Division (2019)
-
Molecular alterations in key-regulator genes among patients with T4 breast carcinoma
BMC Cancer (2010)
-
The matricellular protein CCN1 induces fibroblast senescence and restricts fibrosis in cutaneous wound healing
Nature Cell Biology (2010)


