Abstract
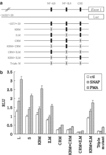
We previously showed that nitric oxide (NO) induces overexpression of cyclooxygenase-2 (COX-2) and production of prostaglandin E2 in cancer cells. Here, we investigated the mechanisms by which NO induces COX-2 expression in cancer cells. We found that the cAMP-response element (CRE) is a critical factor in NO-induced COX-2 expression in all cells tested. We found that in cancer cells, three transcription factors (TFs) – cAMP response element-binding protein (CREB), activating transcription factor-2 (ATF-2) and c-jun, bound the CRE in the COX-2 promoter, and their activities were increased by addition of the NO donor, S-nitroso-N-acetyl-D,L-penicillamine (SNAP). NO-induced activation of soluble guanylate cyclase (sGC), p38 and c-Jun NH2-terminal kinase (JNK) upregulated the three TFs, leading to COX-2 overexpression. Addition of dibutyryl-cGMP (db-cGMP) induced COX-2 expression in a manner similar to SNAP; this induction was blocked by a p38 inhibitor (SB202190), but not by a JNK inhibitor (SP600125). NO-induced cGMP was found to activate CREB and ATF-2 in a p38, but not c-jun-dependent manner, while NO induced JNK in a cGMP-independent manner, leading to subsequent activation of c-jun and ATF-2. These results suggest that the low concentrations of endogenous NO present in cancer cell may induce the expression of many genes, including COX-2, which promotes the growth and survival of tumor cells.
This is a preview of subscription content, access via your institution
Access options
Subscribe to this journal
Receive 50 print issues and online access
$259.00 per year
only $5.18 per issue
Buy this article
- Purchase on SpringerLink
- Instant access to the full article PDF.
USD 39.95
Prices may be subject to local taxes which are calculated during checkout








Similar content being viewed by others
Abbreviations
- NO:
-
nitric oxide
- iNOS:
-
inducible nitric oxide synthase
- COX-2:
-
cyclooxygenase-2
- CRE:
-
cAMP-response element
- sGC:
-
soluble guanylate cyclase
- PGE2:
-
prostaglandin E2
- HNSCC:
-
head and neck squamous cell carcinoma
- MAPK:
-
mitogen-activated protein kinase
- ERK:
-
extracellular signal-regulated kinase
- JNK:
-
c-Jun NH2-terminal kinase
- CREB:
-
cAMP response element-binding protein
- ATF-2:
-
activating transcription factor-2
- AP-1:
-
activator protein-1
- PKA:
-
cAMP-dependent protein kinase
- PKC:
-
protein kinase-C
- PKG:
-
protein kinase G
References
Bogdan C . (2001). Trends Cell Biol., 11, 66–75.
Browning DD, Mcshane MP, Marty C and Ye RD . (2000). J. Biol. Chem., 275, 2811–2816.
Chabot-Fletcher M . (1996). Pharmacol. Rev. Commun., 8, 317–324.
Chan G, Boyle JO, Yang EK, Zhang F, Sachs PG, Shah JP, Edelstein D, Soslow RA, Koki AT, Woerner BM, Masferrer JL and Dannenberg AJ . (1999). Cancer Res., 59, 991–994.
Chung PS, Rhee CK, Kim KH, Paek W, Chung J, Paiva MB, Eshraghi AA, Castro DJ and Saxton RE . (2000). Laryngoscope, 110, 1312–1316.
Coffery RJ, Hawkey CJ, Damstrup L, Graves-Deal R, Daniel VC, Dempsey PJ, Chinery R, Kirkland SC, DuBois RN, Jetton TL and Morrow JD . (1997). Proc. Natl. Acad. Sci. USA, 94, 657–662.
Gallo O, Masini E, Morbidelli L, Franchi A, Fini-Storchi I, Vergari WA and Ziche M . (1998). J. Natl. Cancer Inst., 90, 587–596.
Guo YS, Hellmich MR, Wen XD and Townsend Jr CM . (2001). J. Biol. Chem., 276, 22941–22947.
Habib A, Bernard C, Lebret M, Creminon C, Esposito B, Tedgui A and Maclouf J . (1997). J. Immunol., 158, 3845–3851.
Han JA, Kim JI, Ongusaha PP, Hwang DH, Ballou LR, Mahale A, Aaronson SA and Lee SW . (2002). EMBO J., 21, 5635–5644.
Heo DS, Snyderman C, Gollin SM, Pan S, Walker E, Deka R, Barnes EL, Johnson JT, Herberman RB and Whiteside TL . (1989). Cancer Res., 49, 5167–5175.
Howe LR, Crawford HC, Subbaramaiah K, Hassell JA, Dannenberg AJ and Brown AM . (2001). J. Biol. Chem., 276, 20108–20115.
Inoue H, Tanabe T and Umesono K . (2000). J. Biol. Chem., 275, 28028–28032.
Lee DW, Sung MW, Park SW, Seong WJ, Roh JL, Park BJ, Heo DS and Kim KH . (2002). Anticancer Res., 22, 2089–2096.
Liaudet L, Soriano FG and Szabo C . (2000). Crit. Care Med., 28 (Suppl), N37–N52.
Liu Y, Borchert GL and Phang JM . (2004). J. Biol. Chem., 279, 18694–18700.
Luque I and Gelinas C . (1997). Semin. Cancer Biol., 8, 103–111.
Nose F, Ichikawa T, Fujiwara M and Okayasu I . (2002). Am. J. Clin. Pathol., 117, 546–551.
Pai R, Soreghan B, Szabo IL, Pavelka M, Baatar D and Tarnawski AS . (2002). Nat. Med., 8, 289–293.
Park SW, Lee SG, Song SH, Heo DS, Park BJ, Lee DW, Kim KH and Sung MW . (2003). Int. J. Cancer, 107, 729–738.
Park YK, Nesterova M, Agrawal S and Cho-Chung YS . (1999). J. Biol. Chem., 274, 1573–1580.
Posadas I, Terencio MC, Guillen I, Ferrandiz ML, Coloma J, Paya M and Alcaraz MJ . (2000). Naunyn-Schied. Arch. Pharmacol., 361, 98–106.
Salvemini D, Misko TP, Masferrer JL, Seibert K, Currie MG and Needleman P . (1993). Proc. Natl. Acad. Sci. USA, 90, 7240–7244.
Sheng H, Shao J, Washington MK and DuBois RN . (2001). J. Biol. Chem., 276, 18075–18081.
Slice LW, Bui L, Mak C and Walsh JH . (2000). Biochem. Biophys. Res. Commun., 276, 406–410.
Son HJ, Kim YH, Park DI, Kim JJ, Rhee PL, Paik SW, Choi KW, Song SY and Rhee JC . (2001). J. Clin. Gastroenterol., 33, 383–388.
Song SH, Jong HS, Choi HH, Inoue H, Tanabe T, Kim NK and Bang YJ . (2001). Cancer Res., 61, 4628–4635.
Stadler J, Harbrecht BG, DiSilvio M, Curran RD, Jordan ML, Simmons RL and Billiar TR . (1993). J. Leukocyte Biol., 53, 165–172.
Subbaramaiah K, Norton L, Gerald W and Dannenberg AJ . (2002). J. Biol. Chem., 277, 18649–18657.
Sun Y, Tang XM, Elizabeth HM, Kuo T and Sinicrope FA . (2002). Cancer Res., 62, 6323–6328.
Surh YJ, Chun KS, Cha HH, Han SS, Keum YS, Park KK and Lee SS . (2001). Mutat. Res., 480–481, 243–268.
Tamura M, Sbastian S, Yang S, Gutates B, Ferrer K, Sasano H, Okamura K and Bulun SE . (2002). J. Biol. Chem., 277, 26208–26216.
Tanabe T and Tohnai N . (2002). Prostaglandins Other Lipid Mediators, 68–69, 95–114.
Tang Q, Chen W, Gonzales MS, Finch J, Inoue H and Bowden GT . (2001). Oncogene, 20, 5164–5172.
Tsai AL, Wei C and Kulmacz RJ . (1994). Arch. Biochem. Biophys., 313, 367–372.
Vadlamudi R, Mandal M, Adam L, Steinbach G, Mendelsohn J and Kumar R . (1999). Oncogene, 18, 305–314.
Wink DA, Vodovotz Y, Laval J, Laval F, Dewhirst MW and Mitchell JB . (1998). Carcinogenesis, 19, 711–721.
Xu XM, Tang JL, Chen X, Wang LH and Wu KK . (1997). J. Biol. Chem., 272, 6943–6950.
Acknowledgements
We thank Dr Lee Jung Weon (Cancer Research Institute, Seoul National University, Seoul, Korea) for helpful discussion. This work was supported in part by a Korea Research Foundation Grant (KRF-2002-041-E00134) and by BK21 project for Medicine, Dentistry and Pharmacy, Korea.
Author information
Authors and Affiliations
Corresponding author
Rights and permissions
About this article
Cite this article
Park, SW., Sung, MW., Heo, DS. et al. Nitric oxide upregulates the cyclooxygenase-2 expression through the cAMP-response element in its promoter in several cancer cell lines. Oncogene 24, 6689–6698 (2005). https://doi.org/10.1038/sj.onc.1208816
Received:
Revised:
Accepted:
Published:
Issue date:
DOI: https://doi.org/10.1038/sj.onc.1208816
Keywords
This article is cited by
-
Restoration of tumor suppressor p53 by differentially regulating pro- and anti-p53 networks in HPV-18-infected cervical cancer cells
Oncogene (2012)
-
The shunting of arachidonic acid metabolism to 5-lipoxygenase and cytochrome p450 epoxygenase antagonizes the anti-cancer effect of cyclooxygenase-2 inhibition in head and neck cancer cells
Cellular Oncology (2012)
-
Nitric Oxide (NO) and Cyclooxygenase-2 (COX-2) Cross-Talk in Co-Cultures of Tumor Spheroids with Normal Cells
Cancer Microenvironment (2011)
-
Sphingosine 1-phosphate as a regulator of osteoclast differentiation and osteoclast–osteoblast coupling
The EMBO Journal (2006)


