Abstract
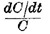
THE electrical conductivity of dispersions of conductive powders increases with time of rest after shear according to the expression:
, where n is an exponent between unity and 1.5, and K is equal to
when time is unity. The instantaneous conductivity, however, at any given state of rest after shear increases with increase in the A.C. or D.C. potential applied, attaining an asymptotic value at an E.M.F. depending on the composition of the material. Measurement of specific inductive capacity of flocculated dispersions on an A.C. bridge presents great difficulties owing to the time involved in securing a balance and the constant growth of conductivity due to thixotropic effect. Nevertheless, indications are shown of specific inductive capacities of the order of thousands when measured at 50 cycles, down to tens at 300,000 cycles.
This is a preview of subscription content, access via your institution
Access options
Subscribe to this journal
Receive 51 print issues and online access
$199.00 per year
only $3.90 per issue
Buy this article
- Purchase on SpringerLink
- Instant access to the full article PDF.
USD 39.95
Prices may be subject to local taxes which are calculated during checkout
Similar content being viewed by others
Author information
Authors and Affiliations
Rights and permissions
About this article
Cite this article
DE WAELE, A., RAINBIRD, R. Electrical Behaviour of Non-Aqueous Disperse Systems. Nature 167, 244–245 (1951). https://doi.org/10.1038/167244a0
Issue date:
DOI: https://doi.org/10.1038/167244a0


