Abstract
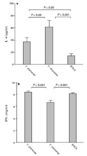
Lethally irradiated AKR mice received BMT from H-2D and minor lymphocyte stimulatory (Mls)-1 disparate B10.A mice. No GVHD signs were detected in AKR recipients of T cell-depleted BM cells (1 × 107) alone ([B10.A → AKR] T−). When B10.A splenic T cells (1 × 105) were injected in addition to T cell-depleted BM cells ([B10.A → AKR] T+), overt GVHD was observed. [B10.A → AKR] T+ chimeras recovered from the GVHD 8 weeks after BMT. In T cells from these [B10.A → AKR] T+ chimeras, a substantial population of Mls-1a-reactive Vβ6+ T cells was present, whereas the Vβ6+ cells were deleted in [B10.A → AKR] T− chimeras. T cells from [B10.A → AKR] T+ chimeras showed considerable MLR but no CTL response against AKR cells (split tolerance). Upon stimulation with AKR stimulators or anti-CD3 MoAb, T cells from [B10.A → AKR] T+ chimeras produced significantly more IL-4 but significantly less IFN-γ compared with those from [B10.A → AKR] T− chimeras or unmanipulated B10.A mice. The serum level of IgG1 in [B10.A → AKR] T+chimeras was also significantly higher than that in [B10.A → AKR] T− or B10.A mice. The present findings suggest that the split tolerance observed in BMT chimeras recovered from GVHD is attributable to the Th2 dominant state. Bone Marrow Transplantation (2000) 26, 1069–1076.
This is a preview of subscription content, access via your institution
Access options
Subscribe to this journal
Receive 12 print issues and online access
$259.00 per year
only $21.58 per issue
Buy this article
- Purchase on SpringerLink
- Instant access to the full article PDF.
USD 39.95
Prices may be subject to local taxes which are calculated during checkout




Similar content being viewed by others
References
Good RA, Kapoor N, Reisner Y . Bone marrow transplantation – an expanding approach to treatment of many diseases Cell Immunol 1983 82: 36–54
Gleichmann E, Pals ST, Rolink AG et al. Graft-versus-host reaction: clues to the etiopathology of a spectrum of immunological diseases Immunol Today 1984 5: 324–332
Halle-Pannenko O, Pritchard LL, Bruley-Rosset M et al. Parameters involved in the induction and abrogation of the lethal graft-versus-host reactions directed against non-H-2 antigens Immunol Rev 1985 88: 59–85
Korngold R, Sprent J . Lethal graft-versus-host disease after bone marrow transplantation across minor histocompatibility barriers in mice. Prevention by removing mature T cells from marrow J Exp Med 1978 148: 1687–1698
Blazar BR, Korngold R, Vallera DA . Recent advances in graft-versus-host disease (GVHD) prevention Immunol Rev 1997 157: 79–109
von Boehmer H, Sprent J, Nabholz M . Tolerance to histocompatibility determinants in tetraparental bone marrow chimeras J Exp Med 1975 141: 322–334
Katz DH, Skidmore B, Katz LR, Bogowitz CA . Adaptive differentiation of murine lymphocytes. I. Both T and B lymphocytes differentiating in F1 transplanted to parental chimeras manifest preferential cooperative activity for partner lymphocytes derived from the same parental type corresponding to the chimeric host J Exp Med 1978 148: 727–745
Muto M, Sado T, Aizawa S et al. Bone marrow transplantation across the major histocompatibility barrier in specific-pathogen-free mice: effects of intact versus T cell-depleted bone marrow on the expression of anti-host reaction in the recipient spleens J Immunol 1981 127: 2421–2425
Onoé K, Fernandes G, Good RA . Humoral and cell-mediated immune responses in fully allogeneic bone marrow chimera in mice J Exp Med 1980 151: 115–132
Singer A, Hathcock KS, Hodes RJ . Self recognition in allogeneic radiation bone marrow chimeras. A radiation-resistant host element dictates the self specificity and immune response gene phenotype of T-helper cells J Exp Med 1981 153: 1286–1301
Arase-Fukushi N, Arase H, Wang B et al. Influence of a small number of mature T cells in donor bone marrow inocula on reconstitution of lymphoid tissues and negative selection of a T cell repertoire in the recipient Microbiol Immunol 1993 37: 883–894
Butturini A, Gale RP . T cell depletion in bone marrow transplantation for leukemia: current results and future directions Bone Marrow Transplant 1988 3: 185–192
Kernan NA, Flomberg N, Dupont B, O Reilly RJ . Graft rejection in recipients of T-cell-depleted HLA-nonidentical marrow transplants for leukemia Transplantation 1987 43: 842–847
Martin PJ, Hansen JA, Buckner CD et al. Effects in in vitro depletion of T cells in HLA-identical allogeneic marrow grafts Blood 1985 66: 664–672
Soderling CCB, Song CW, Blazar BR, Vallera DA . A correlation between conditioning and engraftment in recipients of MHC-mismatched T cell-depleted murine bone marrow transplants J Immunol 1985 135: 941–946
Murphy WJ, Kumar V, Cope JC, Bennett M . An absence of T cells in murine bone marrow allografts leads to an increased susceptibility to rejection by natural killer cells and T cells J Immunol 1990 144: 3305–3311
Lapidot T, Lubin I, Terenzi A et al. Enhancement of bone marrow allografts from nude mice into mismatched recipients by T cells void of graft-versus-host activity Proc Natl Acad Sci USA 1990 87: 4595–4599
Horowitz MM, Gale RP, Sondel PM et al. Graft-versus-leukemia reactions after bone marrow transplantation Blood 1990 75: 555–562
Takayanagi T, Nishihori H, Matsuki N et al. Effect of non-major histocompatibility antigens on acute graft-versus-host reaction after allogeneic bone marrow transplantation Bone Marrow Transplant 1997 20: 297–304
Onoé K, Arase N, Arase H et al. Influence of graft versus host reaction on the T cell repertoire differentiating from bone marrow precursors following allogeneic bone marrow transplantation Transplant Immunol 1997 5: 75–82
Winslow GM, Scherer MT, Kappler JW, Marrack P . Detection and biochemical characterization of the mouse mammary tumor virus 7 superantigen (Mls-1a) Cell 1992 71: 719–730
Arase-Fukushi N, Arase H, Ogasawara K et al. Production of minor lymphocyte stimulatory-1a antigen from activated CD4+ or CD8+ T cells J Immunol 1993 151: 4445–4454
Arase N, Arase H, Good RA, Onoé K . Contribution of host radioresistant T cells to the clonal elimination of minor lymphocyte stimulatory-1a reactive T cells in mouse bone marrow chimeras Cell Immunol 1994 156: 13–23
Fukushi N, Arase H, Wang B et al. Thymus: a direct target tissue in graft-versus-host reaction after allogeneic bone marrow transplantation that results in abrogation of induction of self-tolerance Proc Natl Acad Sci USA 1990 87: 6301–6305
Hirano M, Arase H, Arase-Fukushi N et al. Reconstitution of lymphoid tissues under the influence of a subclinical level of graft versus host reaction induced by bone marrow T cells or splenic T cells subsets Cell Immunol 1993 151: 118–132
Iwabuchi K, Ogasawara K, Ogasawara M et al. A study on proliferative responses to host Ia antigens in allogeneic bone marrow chimera in mice. Sequential analysis of the reactivity and characterization of the cells involved in the responses J Immunol 1987 138: 18–25
Ito D, Ogasawara K, Iwabuchi K et al. Induction of CTL responses by simultaneous administration of liposomal peptide vaccine with anti-CD40 and anti-CTLA-4 mAb J Immunol 2000 164: 1230–1235
Iwabuchi C, Iwabuchi K, Kobayashi S et al. Deficiency in early development of the thymus-dependent cells in irradiation chimeras attributable to recipient's environment J Immunol 1991 146: 26–34
Fukushi N, Wang B, Arase H et al. Cell components required for deletion of an autoreactive T cell repertoire Eur J Immunol 1990 20: 1153–1160
Lorenz M, Jung S, Radbruch A . Switch transcripts in immunoglobulin class switching Science 1995 267: 1825–1828
Stavnezer J . Immunoglobulin class switching Curr Opin Immunol 1996 8: 199–205
Morohashi T, Ogasawara K, Kitaichi N et al. Abrogation of negative selection by GVHR induced by minor histocompatibility antigens or H-2D antigen alone Immunobiology (in press)
Desbarats J, Lapp WS . Thymic selection and thymic major histocompatibility complex class II expression are abnormal in mice undergoing graft-versus-host reactions J Exp Med 1993 178: 805–814
Stout RD, Bottomly K . Antigen-specific activation of effector macrophages by IFN-gamma producing (TH1) T cell clones. Failure of IL-4-producing (TH2) T cell clones to activate effector function in macrophages J Immunol 1989 142: 760–765
Abbas AK, Murphy KM, Sher A . Functional diversity of helper T lymphocytes Nature 1996 383: 787–793
Ding L, Linsley PS, Huang LY et al. IL-10 inhibits macrophage costimulatory activity by selectively inhibiting the up-regulation of B7 expression J Immunol 1993 151: 1224–1234
Imamura M, Hashino S, Kobayashi H et al. Serum cytokine levels in bone marrow transplantation: synergistic interaction of interleukin-6, interferon-gamma, and tumor necrosis factor-alpha in graft-versus-host disease Bone Marrow Transplant 1994 13: 745–751
Tanaka J, Imamura M, Kasai M et al. Cytokine gene expression by concanavalin A-stimulated peripheral mononuclear cells after bone marrow transplantation: an indicator of immunological abnormality due to chronic graft-versus-host disease Bone Marrow Transplant 1994 14: 695–701
Körholz D, Kunst D, Hempel L et al. Decreased interleukin 10 and increased interferon-γ production in patients with chronic graft-versus-host disease after allogeneic bone marrow transplantation Bone Marrow Transplant 1997 19: 691–695
Umland SP, Razac S, Nahrebne DK, Seymour BW . Effects of in vivo administration of interferon (IFN)-γ, anti-IFN-γ, or anti-interleukin-4 monoclonal antibodies in chronic autoimmune graft-versus-host disease Clin Immunol Immunopathol 1992 63: 66–73
Garlisi CG, Pennline KJ, Smith SR et al. Cytokine gene expression in mice undergoing chronic graft-versus-host disease Mol Immunol 1993 30: 669–677
De Wit D, Van Mechelen M, Zanin C et al. Preferential activation of Th2 cells in chronic graft-versus-host reaction J Immunol 1993 150: 361–366
Allen RD, Staley TA, Sidman CL . Differential cytokine expression in acute and chronic murine graft-versus-host-disease Eur J Immunol 1993 23: 333–337
Arase H, Arase N, Nakagawa K et al. NK1.1+ CD4+ CD8− thymocytes with specific lymphokine secretion Eur J Immunol 1993 23: 307–310
Yoshimoto T, Bendelac A, Watson C et al. Role of NK1.1+ T cells in a TH2 response and in immunoglobulin E production Science 1995 270: 1845–1847
Acknowledgements
We thank Ms Ryoko Hosohata and Kaori Kohno for their secretarial assistance. This study was supported in part by a Grant-in-Aid for Scientific Research by the Ministry of Education, Science, Sports and Culture, Japan, Research on Immunology, Allergy and Organ Transplantation, Ministry of Health and Welfare, Japan, Nishimura Aging Fund and The Tomakomai East Hospital Foundation.
Author information
Authors and Affiliations
Rights and permissions
About this article
Cite this article
Morohashi, T., Ogasawara, K., Kitaichi, N. et al. Significant MLR but not CTL responses against recipient antigens generated in T cells from bone marrow chimeras recovered from acute GVHD. Bone Marrow Transplant 26, 1069–1076 (2000). https://doi.org/10.1038/sj.bmt.1702663
Received:
Accepted:
Published:
Issue date:
DOI: https://doi.org/10.1038/sj.bmt.1702663


