Abstract
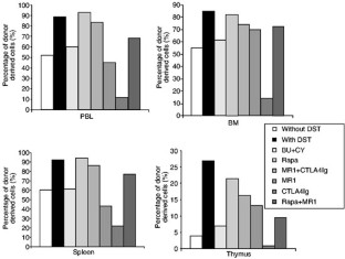
Hematopoietic macrochimerism, established by bone marrow transplantation, can be used as an approach for treating autoimmune disease and inducing transplant tolerance. In this study, we investigated whether a stable, high level of fully MHC-mismatched hematopoietic macrochimerism can be induced by using irradiation-free protocols, and whether rapamycin and T cell costimulatory blockades (anti-CD40L monoclonal antibody (mAb) and CTLA4Ig) as post-transplant treatment promote bone marrow engraftment. Donor-specific blood transfusion (DST), anti-lymphocyte serum (ALS), busulfan, and cyclophosphamide were given pretransplantation. Balb/c (H-2d) bone marrow cells, at a dose of 4 × 107, were infused into each C57BL/6 mouse (H-2b). Rapamycin, anti-CD40L mAb, and CTLA4Ig were then administered, either alone or in combination. Without ALS or busulfan and cyclophosphamide, macrochimerism can only rarely be induced. Donor-specific transfusion (DST) enhances induction of hematopoietic macrochimerism. Rapamycin, anti-CD40L mAb and CTLA4Ig, alone or in combination, induce a stable and high level of hematopoietic macrochimerism. In the chimeric mice, donor-derived cells were detected in all lymphohematopoietic tissues and donor-specific tolerance was induced in vitro. We conclude that a stable and high level of fully MHC-mismatched hematopoietic macrochimerism can be induced in mice after transplanting a single modest dose of bone marrow cells without irradiation. Rapamycin and T cell costimulatory blockade as post-transplant treatment promote bone marrow engraftment.
This is a preview of subscription content, access via your institution
Access options
Subscribe to this journal
Receive 12 print issues and online access
$259.00 per year
only $21.58 per issue
Buy this article
- Purchase on SpringerLink
- Instant access to the full article PDF.
USD 39.95
Prices may be subject to local taxes which are calculated during checkout







Similar content being viewed by others
References
Ildstad ST, Sachs DH . Reconstitution with syngeneic plus allogeneic or xenogeneic bone marrow leads to specific acceptance of allografts or xenografts Nature 1984 307: 168 170
Cobbold SP, Martin G, Qin S, Waldmann H . Monoclonal antibodies to promote marrow engraftment and tissue graft tolerance Nature 1986 323: 164 166
Wekerle T, Sykes M . Mixed chimerism as an approach for the induction of transplantation tolerance Transplantation 1999 68: 459 467
Sachs DH . Mixed chimerism as an approach to transplantation tolerance Clin Immunol 2000 95: S63 S68
Wekerle T, Kurtz J, Ito H et al. Allogeneic bone marrow transplantation with co-stimulatory blockade induces macrochimerism and tolerance without cytoreductive host treatment Nat Med 2000 6: 464 469
Durham MM, Bingaman AW, Adams AB et al. Cutting edge: administration of anti-CD40 ligand and donor bone marrow leads to hemopoietic chimerism and donor-specific tolerance without cytoreductive conditioning J Immunol 2000 165: 1 4
Hale DA, Gottschalk R, Umemura A et al. Establishment of stable multilineage hematopoietic chimerism and donor-specific tolerance without irradiation Transplantation 2000 69: 1242 1251
Tomita Y, Sachs DH, Sykes M . Myelosuppressive conditioning is required to achieve engraftment of pluripotent stem cells contained in moderate doses of syngeneic bone marrow Blood 1994 83: 939 948
Tomita Y, Yoshikawa M, Zhang QW et al. Induction of permanent mixed chimerism and skin allograft tolerance across fully MHC-mismatched barriers by the additional myelosuppressive treatments in mice primed with allogeneic spleen cells followed by cyclophosphamide J Immunol 2000 165: 34 41
Guo Z, Wu T, Kirchhof N et al. Immunotherapy with nondepleting anti-CD4 monoclonal antibodies but not CD28 antagonists protects islet graft in spontaneously diabetic nod mice from autoimmune destruction and allogeneic and xenogeneic graft rejection Transplantation 2001 71: 1656 1665
Matesic D, Lehmann PV, Heeger PS . High-resolution characterization of cytokine-producing alloreactivity in naive and allograft-primed mice Transplantation 1998 65: 906 914
Acha-Orbea H, Palmer E . Mls – a retrovirus exploits the immune system (see comments) Immunol Today 1991 12: 356 361
Dyson PJ, Knight AM, Fairchild S et al. Genes encoding ligands for deletion of V beta 11 T cells cosegregate with mammary tumour virus genomes (see comments) Nature 1991 349: 531 532
Sykes M, Szot GL, Swenson KA, Pearson DA . Induction of high levels of allogeneic hematopoietic reconstitution and donor-specific tolerance without myelosuppressive conditioning Nat Med 1997 3: 783 787
Wekerle T, Sayegh MH, Hill J et al. Extrathymic T cell deletion and allogeneic stem cell engraftment induced with costimulatory blockade is followed by central T cell tolerance J Exp Med 1998 187: 2037 2044
Mayumi H, Himeno K, Tanaka K et al. Drug-induced tolerance to allografts in mice. IX. Establishment of complete chimerism by allogeneic spleen cell transplantation from donors made tolerant to H-2-identical recipients Transplantation 1986 42: 417 422
Eto M, Mayumi H, Tomita Y et al. Intrathymic clonal deletion of V beta 6+ T cells in cyclophosphamide-induced tolerance to H-2-compatible, Mls-disparate antigens J Exp Med 1990 171: 97 113
Tomita Y, Nishimura Y, Harada N et al. Evidence for involvement of clonal anergy in MHC class I and class II disparate skin allograft tolerance after the termination of intrathymic clonal deletion J Immunol 1990 145: 4026 4036
Adams AB, Durham MM, Kean L et al. Costimulation blockade, busulfan, and bone marrow promote titratable marochimerism, induce transplantation tolerance and correct genetic hemoglobinopathies with minimal myelosuppression J Immunol 2001 167: 1103 1111
Sehgal SN . Rapamune (RAPA, rapamycin, sirolimus): mechanism of action immunosuppressive effect results from blockade of signal transduction and inhibition of cell cycle progression Clin Biochem 1998 31: 335 340
Blazar BR, Taylor PA, Snover DC et al. Murine recipients of fully mismatched donor marrow are protected from lethal graft-versus-host disease by the in vivo administration of rapamycin but develop an autoimmune-like syndrome J Immunol 1993 151: 5726 5741
Blazar BR, Taylor PA, Sehgal SN, Vallera DA . Rapamycin prolongs survival of murine recipients of fully allogeneic donor grafts when administered during the graft-versus-host disease process Ann NY Acad Sci 1993 685: 73 85
Chen BJ, Morris RE, Chao NJ . Graft-versus-host disease prevention by rapamycin: cellular mechanisms Biol Blood Marrow Transplant 2000 6: 529 536
Abraham RT, Wiederrecht GJ . Immunopharmacology of rapamycin Annu Rev Immunol 1996 14: 483 510
Bierer BE, Mattila PS, Standaert RF et al. Two distinct signal transmission pathways in T lymphocytes are inhibited by complexes formed between an immunophilin and either FK506 or rapamycin Proc Natl Acad Sci USA 1990 87: 9231 9235
Li Y, Li XC, Zheng XX et al. Blocking both signal 1 and signal 2 of T-cell activation prevents apoptosis of alloreactive T cells and induction of peripheral allograft tolerance Nat Med 1999 5: 1298 1302
Wells AD, Gudmundsdottir H, Turka LA . Following the fate of individual T cells throughout activation and clonal expansion. Signals from T cell receptor and CD28 differentially regulate the induction and duration of a proliferative response J Clin Invest 1997 100: 3173 3183
Li Y, Zheng XX, Li XC et al. Combined costimulation blockade plus rapamycin but not cyclosporine produces permanent engraftment Transplantation 1998 66: 1387 1388
Quesenberry PJ, Zhong S, Wang H, Stewart M . Allogeneic chimerism with low-dose irradiation, antigen presentation, and costimulator blockade in H-2 mismatch mice Blood 2001 98: 557 564
Taylor PA, Lees CJ, Waldmann H et al. Requirements for the promotion of allogeneic engraftment by anti-CD154 (anti-CD40L) monoclonal antibody under nonmyelablative conditions Blood 2001 98: 467 474
Sykes M, Bukhari Z, Sachs DH . Graft-versus-leukemia effect using mixed allogeneic bone marrow transplantation Bone Marrow Transplant 1989 4: 465 474
Tomita Y, Khan A, Sykes M . Role of intrathymic clonal deletion and peripheral anergy in transplantation tolerance induced by bone marrow transplantation in mice conditioned with a nonmyeloablative regimen J Immunol 1994 153: 1087 1098
Acknowledgements
This work was partly supported by grants awarded by the Juvenile Diabetes Foundation International and by the American Diabetes Association.
Author information
Authors and Affiliations
Rights and permissions
About this article
Cite this article
Wu, T., Sozen, H., Luo, B. et al. Rapamycin and T cell costimulatory blockade as post-transplant treatment promote fully MHC-mismatched allogeneic bone marrow engraftment under irradiation-free conditioning therapy. Bone Marrow Transplant 29, 949–956 (2002). https://doi.org/10.1038/sj.bmt.1703574
Received:
Accepted:
Published:
Issue date:
DOI: https://doi.org/10.1038/sj.bmt.1703574


