Summary:
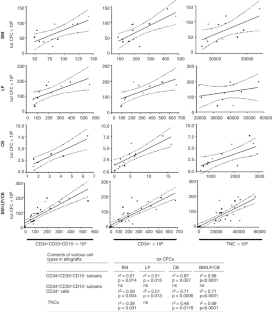
The present study compared the contents of pluripotent and lineage-committed hematopoietic progenitor cells (HPCs) in various types of allografts. Bone marrow (BM) allografts and single leukapheresis products (LPs) collected from G-CSF-mobilized donors contained similar amounts of pluripotent HPCs (CD34+CD38−) and total CD34+ cells. However, the content of late-myeloid HPCs (CD34+CD33+CD15+) were significantly higher in BM grafts compared to LPs (P>0.02), whereas the contents of early-myeloid HPCs (CD34+CD33+CD15−) were 2.5-fold higher in LPs (P<0.03). In comparison to grafts from adult donors, cord blood (CB) grafts contained 26–65-fold lower amounts of early-myeloid HPCs (P<0.001), but only 8–12-fold lower contents of pluripotent HPCs (P<0.04). Additional findings demonstrated that among all tested parameters the numbers of early-myeloid HPCs were the most accurate measure of the total colony-forming cell (CFC) numbers in allografts. Hence, the earlier engraftment observed after transplantation of LPs compared to BM grafts might be explained by the higher content of early-myeloid HPCs/CFCs in LPs. Moreover, the slow engraftment following CB transplantation might not be affected essentially by the low number of myeloid HPCs, but rather by pluripotent HPCs. Finally, this study reports a new gating strategy for the enumeration of pluripotent CD34+CD38− subsets.
This is a preview of subscription content, access via your institution
Access options
Subscribe to this journal
Receive 12 print issues and online access
$259.00 per year
only $21.58 per issue
Buy this article
- Purchase on SpringerLink
- Instant access to the full article PDF.
USD 39.95
Prices may be subject to local taxes which are calculated during checkout



Similar content being viewed by others
References
Bensinger WI, Storb R . Allogeneic peripheral blood stem cell transplantation. Rev Clin Exp Hematol 2001; 5: 67–86.
Rocha V, Cornish J, Sievers EL et al. Comparison of outcomes of unrelated bone marrow and umbilical cord blood transplants in children with acute leukemia. Blood 2001; 97: 2962–2971.
Bensinger WI, Martin PJ, Storer B et al. Transplantation of bone marrow as compared with peripheral-blood cells from HLA-identical relatives in patients with hematologic cancers. N Engl J Med 2001; 344: 175–181.
Craig W, Kay R, Cutler RL et al. Expression of Thy-1 on human hematopoietic progenitor cells. J Exp Med 1993; 177: 1331–1342.
Srour EF, Brandt JE, Briddell RA et al. Human CD34+ HLA-DR- bone marrow cells contain progenitor cells capable of self-renewal, multilineage differentiation, and long-term in vitro hematopoiesis. Blood Cells 1991; 17: 287–295.
Bhatia M, Wang JC, Kapp U et al. Purification of primitive human hematopoietic cells capable of repopulating immune-deficient mice. Proc Natl Acad Sci USA 1997; 94: 5320–5325.
Civin CI, Almeida-Porada G, Lee MJ et al. Sustained, retransplantable, multilineage engraftment of highly purified adult human bone marrow stem cells in vivo. Blood 1996; 88: 4102–4109.
Glimm H, Eisterer W, Lee K et al. Previously undetected human hematopoietic cell populations with short-term repopulating activity selectively engraft NOD/SCID-beta2 microglobulin-null mice. J Clin Invest 2001; 107: 199–206.
Andrews RG, Singer JW, Bernstein ID . Precursors of colony-forming cells in humans can be distinguished from colony-forming cells by expression of the CD33 and CD34 antigens and light scatter properties. J Exp Med 1989; 169: 1721–1731.
Terstappen LW, Safford M, Loken MR . Flow cytometric analysis of human bone marrow. III. Neutrophil maturation. Leukemia 1990; 4: 657–663.
Ho AD, Young D, Maruyama M et al. Pluripotent and lineage-committed CD34+ subsets in leukapheresis products mobilized by G-CSF, GM-CSF vs a combination of both. Exp Hematol 1996; 24: 1460–1468.
Olweus J, Lund-Johansen F, Terstappen LW . CD64/Fc gamma RI is a granulo-monocytic lineage marker on CD34+ hematopoietic progenitor cells. Blood 1995; 85: 2402–2413.
LeBien TW . Fates of human B-cell precursors. Blood 2000; 96: 9–23.
Terstappen LW, Huang S, Picker LJ . Flow cytometric assessment of human T-cell differentiation in thymus and bone marrow. Blood 1992; 79: 666–677.
Akashi K, Traver D, Miyamoto T et al. A clonogenic common myeloid progenitor that gives rise to all myeloid lineages. Nature 2000; 404: 193–197.
Manz MG, Miyamoto T, Akashi K et al. Prospective isolation of human clonogenic common myeloid progenitors. Proc Natl Acad Sci USA 2002; 99: 11872–11877.
Theilgaard-Mönch K, Raaschou-Jensen K, Andersen H et al. Single leukapheresis products collected from healthy donors after the administration of granulocyte colony-stimulating factor contain ten-fold higher numbers of long-term reconstituting hematopoietic progenitor cells than conventional bone marrow allografts. Bone Marrow Transplant 1999; 23: 243–249.
Theilgaard-Mönch K, Raaschou-Jensen K, Heilmann C et al. A comparative study of CD34+ cells, CD34+ subsets, colony forming cells and cobblestone area forming cells in cord blood and bone marrow allografts. Eur J Haematol 1999; 62: 174–183.
Sutherland DR, Keating A, Nayar R et al. Sensitive detection and enumeration of CD34+ cells in peripheral and cord blood by flow cytometry. Exp Hematol 1994; 22: 1003–1010.
Zijlmans JM, Visser JW, Kleiverda K et al. Modification of rhodamine staining allows identification of hematopoietic stem cells with preferential short-term or long-term bone marrow-repopulating ability. Proc Natl Acad Sci USA 1995; 92: 8901–8905.
Hao QL, Shah AJ, Thiemann FT et al. A functional comparison of CD34+CD38− cells in cord blood and bone marrow. Blood 1995; 86: 3745–3753.
Huang S, Terstappen LW . Lymphoid and myeloid differentiation of single human CD34+, HLA-DR+, CD38− hematopoietic stem cells. Blood 1994; 83: 1515–1526.
Traycoff CM, Abboud MR, Laver J et al. Evaluation of the in vitro behavior of phenotypically defined populations of umbilical cord blood hematopoietic progenitor cells. Exp Hematol 1994; 22: 215–222.
Tjonnfjord GE, Steen R, Evensen SA et al. Characterization of CD34+ peripheral blood cells from healthy adults mobilized by recombinant human granulocyte colony-stimulating factor. Blood 1994; 84: 2795–2801.
Bender JG, Unverzagt K, Walker DE et al. Phenotypic analysis and characterization of CD34+ cells from normal human bone marrow, cord blood, peripheral blood, and mobilized peripheral blood from patients undergoing autologous stem cell transplantation. Clin Immunol Immunopathol 1994; 70: 10–18.
Theilgaard-Mönch K, Raaschou-Jensen K, Palm H et al. Flow cytometric assessment of lymphocyte subsets, lymphoid progenitors, and hematopoietic stem cells in allogeneic stem cell grafts. Bone Marrow Transplant 2001; 28: 1073–1082.
Liu Z, Cumberland WG, Hultin LE et al. Elevated CD38 antigen expression on CD8+ T cells is a stronger marker for the risk of chronic HIV disease progression to AIDS and death in the Multicenter AIDS Cohort Study than CD4+ cell count, soluble immune activation markers, or combinations of HLA-DR and CD38 expression. J Acquir Immune Defic Syndr Hum Retrovirol 1997; 16: 83–92.
Keeney M, Gratama JW, Chin-Yee IH et al. Isotype controls in the analysis of lymphocytes and CD34+ stem and progenitor cells by flow cytometry – time to let go! Cytometry 1998; 34: 280–283.
Acknowledgements
This work was supported in part by the Novo Nordisk Foundation, by the Amalie Jørgensens Memorial Foundation, and by the Danish Medical Research Council. KR-J is the recipient of a scholarship from the Medical Research Council of Copenhagen (HS).
Author information
Authors and Affiliations
Rights and permissions
About this article
Cite this article
Theilgaard-Mönch, K., Raaschou-Jensen, K., Schjødt, K. et al. Pluripotent and myeloid-committed CD34+ subsets in hematopoietic stem cell allografts. Bone Marrow Transplant 32, 1125–1133 (2003). https://doi.org/10.1038/sj.bmt.1704297
Received:
Accepted:
Published:
Issue date:
DOI: https://doi.org/10.1038/sj.bmt.1704297
Keywords
This article is cited by
-
Targeted inhibition of cooperative mutation- and therapy-induced AKT activation in AML effectively enhances response to chemotherapy
Leukemia (2021)
-
Effect of bone marrow CD34+cells and T-cell subsets on clinical outcomes after myeloablative allogeneic hematopoietic cell transplantation
Bone Marrow Transplantation (2019)
-
Practical Considerations for the Use of Daratumumab, a Novel CD38 Monoclonal Antibody, in Myeloma
Drugs (2016)
-
Stem and progenitor cells in human umbilical cord blood
International Journal of Hematology (2010)


