Summary:
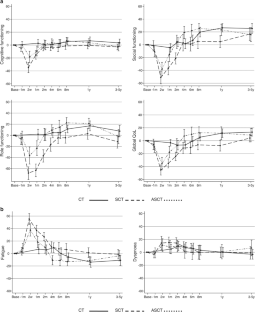
Health-related quality of life (HRQOL), fatigue and psychological distress were prospectively assessed in 248 cancer patients treated with allogeneic (SCT, N=61), or autologous (ASCT, N=69) stem cell transplantation or conventional chemotherapy (CT, N=118) of whom 128 completed the assessments after 3 years. The European Organization for Treatment and Research of Cancer Core Quality of Life Questionnaire and the Hospital Anxiety and Depression Scale were administered nine (SCT/ASCT groups) or seven times (CT group) during the first year. The Fatigue Questionnaire was added at the final assessment. The SCT group displayed greater changes from baseline scores than the ASCT group, with more symptoms in the first months post transplant. A gradual improvement was found in both groups during the following 4–6 months, before stabilizing at baseline levels. Only minor changes were observed after the first year. All groups reported more fatigue than the population values after 3 years (P<0.01). The ASCT group also reported less optimal HRQOL (P<0.01–0.0001). No differences were found in anxiety and depression. Despite a faster recovery during the first months after transplant, the ASCT patients reported poorer functioning and more fatigue compared to the SCT group after 3 years. This suggests a need for a closer follow-up of these patients with special emphasis on functional status and fatigue.
This is a preview of subscription content, access via your institution
Access options
Subscribe to this journal
Receive 12 print issues and online access
$259.00 per year
only $21.58 per issue
Buy this article
- Purchase on SpringerLink
- Instant access to the full article PDF.
USD 39.95
Prices may be subject to local taxes which are calculated during checkout

Similar content being viewed by others
References
Deeg HJ . Delayed complications after bone marrow transplantation. In: Forman SJ, Blume KG, Thomas ED (eds.). Bone Marrow Transplantation. Blackwell: Boston, 1994; pp 538–544.
Jones RJ . Autologous bone marrow transplantation. Curr Opin Oncol 1993; 5: 270–275.
Carlson K, Backlund L, Smedmyr B et al. Pulmonary function and complications subsequent to autologous bone marrow transplantation. Bone Marrow Transplant 1994; 14: 805–811.
Knobel H, Loge JH, Nordoy T et al. High level of fatigue in lymphoma patients treated with high dose therapy. J Pain Symptom Manage 2000; 19: 446–456.
Peper M, Steinvorth S, Schraube P et al. Neurobehavioral toxicity of total body irradiation: a follow-up in long-term survivors. Int J Radiat Oncol Biol Phys 2000; 46: 303–311.
Sullivan KM, Deeg HJ, Sanders JE et al. Late complications after marrow transplantation. Semin Hematol 1984; 21: 53–63.
Sullivan KM, Agura E, Anasetti C et al. Chronic graft-versus-host disease and other late complications of bone marrow transplantation. Semin Hematol 1991; 28: 250–259.
Sullivan KM, Mori M, Sanders J et al. Late complications of allogeneic and autologous marrow transplantation. Bone Marrow Transplant 1992; 10 (Suppl. 1): 127–134.
Kaasa S, Loge JH . Quality-of-life assessment in palliative care. Lancet Oncol 2003; 3: 175–182.
Baker F, Zabora J, Polland A et al. Reintegration after bone marrow transplantation. Cancer Pract 1999; 7: 190–197.
Broers S, Hengeveld MW, Kaptein AA et al. Are pretransplant psychological variables related to survival after bone marrow transplantation? A prospective study of 123 consecutive patients. J Psychosom Res 1998; 45: 341–351.
Broers S, Kaptein AA, Le Cessie S et al. Psychological functioning and quality of life following bone marrow transplantation: a 3-year follow-up study. J Psychosom Res 2000; 48: 11–21.
Bush NE, Donaldson GW, Haberman MH et al. Conditional and unconditional estimation of multidimensional quality of life after hematopoietic stem cell transplantation: a longitudinal follow-up of 415 patients. Biol Blood Marrow Transplant 2000; 6: 576–591.
Chao NJ, Tierney DK, Bloom JR et al. Dynamic assessment of quality of life after autologous bone marrow transplantation. Blood 1992; 80: 825–830.
Fife BL, Huster GA, Cornetta KG et al. Longitudinal study of adaptation to the stress of bone marrow transplantation. J Clin Oncol 2000; 18: 1539–1549.
Syrjala K, Roth-Roemer SL, Abrams JR et al. Prevalence and predictors of sexual dysfunction in long-term survivors of marrow transplantation. J Clin Oncol 1998; 16: 3148–3157.
Lee SJ, Fairclough D, Parsons SK et al. Recovery after stem cell transplantation for hematologic diseases. J Clin Oncol 2001; 19: 242–252.
McQuellon RP, Russell GB, Cella DF et al. Quality of life measurement in bone marrow transplantation: development of the Functional Assessment of Cancer Therapy-Bone Marrow Transplant (FACT-BMT) scale. Bone Marrow Transplant 1997; 19: 357–368.
Meyers CA, Weitzner M, Byrne K et al. Evaluation of the neurobehavioral functioning of patients before, during and after bone marrow transplantation. J Clin Oncol 1994; 12: 820–826.
Prieto JM, Blanch J, Atala J et al. Psychiatric morbidity and impact on hospital length of stay among hematologic cancer patients receiving stem-cell transplantation. J Clin Oncol 2002; 20: 1907–1917.
Syrjala KL, Chapko MK, Vitaliano PP et al. Recovery after allogeneic marrow transplantation: a prospective study of predictors of long-term physical and psychosocial functioning. Bone Marrow Transplant 1993; 11: 319–327.
Tschuschke V, Hertenstein B, Arnold R et al. Associations between coping and survival time of adult leukemia patients receiving allogeneic bone marrow transplantation. J Psychosom Res 2001; 50: 277–285.
Hjermstad MJ, Holte H, Evensen SA et al. Do patients who are treated with stem cell transplantation have a health related quality of life comparable to the general population? Bone Marrow Transplant 1998; 24: 911–918.
Hjermstad MJ, Evensen SA, Kvaløy S et al. Health related quality of life 1 year after allogeneic or autologous stem cell transplantation: a prospective study. J Clin Onc 1998; 17: 706–718.
Smets EM, Garssen B, Schuster-Uitterhoeve AL et al. Fatigue in cancer patients. Br J Cancer 1993; 68: 220–224.
Joly F, Henry-Amar M, Arveux P et al. Late psychosocial sequelae in Hodgkin's disease survivors: a French population-based case–control study. J Clin Oncol 1996; 14: 2444–2453.
Loge JH, Abrahamsen AF, Ekeberg O et al. Hodgkin's disease survivors more fatigued than the general population. J Clin Oncol 1998; 17: 253–261.
Hendriks MGJ, Schouten HC . Quality of life after stem cell transplantation: a patients, partner and physician perspective. Eur J Intern Med 2002; 13: 52–56.
Hjermstad MJ, Fayers PM, Bjordal K et al. Health-related quality of life in the general Norwegian population assessed by the EORTC Core Quality of Life Questionnaire-the QLQ-C30 (+3). J Clin Oncol 1998; 16: 1188–1196.
Hjermstad MJ, Evensen SA, Kvaløy SO et al. The course of anxiety and depression during the first year after allogeneic or autologous stem cell transplantation. Bone Marrow Transplant 1999; 24: 1219–1228.
Aaronson NK, Ahmedzai S, Bergman B et al. The European Organization for Research and Treatment of Cancer QLQ-C30: a quality-of-life instrument for use in international clinical trials in oncology. J Natl Cancer Inst 1993; 85: 365–376.
Zigmond AS, Snaith RP . The Hospital Anxiety and Depression scale. Acta Psych Scand 1983; 67: 361–370.
Chalder T, Berelowitz G, Pawlikowska T et al. Development of a fatigue scale. J Psychosom Res 1993; 37: 147–153.
Pawlikowska T, Chalder T, Hirsch SR et al. Population based study of fatigue and psychological distress. BMJ 1994; 308: 763–766.
Wessely S, Powell R . Fatigue syndromes: a comparison of chronic ‘postviral’ fatigue with neuromuscular and affective disorders. J Neurol Neurosurg Psychiatry 1989; 52: 940–948.
Fayers PM, Aaronson N, Bjordal K, Sullivan M . EORTC QLQ-C30. Scoring Manual. EORTC Quality of Life Study Group: Brussels, 1995; pp 1–49.
Carroll BT, Kathol RG, Noyes R et al. Screening for depression and anxiety in cancer patients using the Hospital Anxiety and Depression scale. Gen Hosp Psyciatry 1993; 15: 69–74.
Ibbotson T, Maguire P, Selby P et al. Screening for anxiety and depression in cancer patients: the effects of disease and treatment. Eur J Cancer 1994; 30A: 37–40.
Meakin CJ . Screening for depression in the medically ill. The future of paper and pencil tests. Br J Psychiat 1992; 160: 212–216.
Razavi D, Delvaux N, Bredart A et al. Screening for psychiatric disorders in a lymphoma out-patients population. Eur J Cancer 1992; 28A: 1869–1872.
Loge JH, Ekeberg O, Kaasa S . Fatigue in the general Norwegian population: normative data and associations. J Psychosom Res 1998; 45: 53–65.
Mykletun A, Stordal E, Dahl A . Hospital Anxiety and Depression (HAD) scale: factor structure, item analyses and internal consistency in a large population. Br J Psychiat 2001; 179: 540–544.
Hjermstad MJ, Fayers PM, Bjordal K et al. Using reference data on quality of life – the importance of adjusting for age and gender, exemplified by the EORTC QLQ-C30 (+3). Eur J Cancer 1998; 34: 1381–1389.
Osoba D, Rodrigues G, Myles J et al. Interpreting the significance of changes in health-related quality-of-life scores. J Clin Oncol 1998; 16: 139–144.
Microsoft Corporation. Excel Worksheet, version 5.1. Excel Corporation, WA, 1997.
STATA Corporation. Statistics Data Management Graphics, Reference Manuals: STATA Statistical Software – Release 7.0. STATA Press: College Station, TX, 2001.
SPSS Inc. SPSS (Statistical Package for the Social Sciences) for Windows: Base System User's Guide, release 11.0. SPSS Inc., Chicago, IL, 2001.
Harder H, Cornelissen JJ, Van Gool AR et al. Cognitive functioning and quality of life in long-term adult survivors of bone marrow transplantation. Cancer 2002; 95: 183–192.
Sasaki T, Akaho R, Sakamaki H et al. Mental disturbances during isolation in bone marrow transplant patients with leukemia. Bone Marrow Transplant 2000; 25: 315–318.
American Psychiatric Association. Diagnostic and Statistical Manual of Mental Disorders, 4th edn. American Psychiatric Association: Washington, DC, 1994.
Hjermstad MJ, Evensen SA, Kvaløy S et al. The CARES-SF used for prospective assessment of health-related quality of life after stem cell transplantation. Psycho-Oncology 2003; 12: 803–813.
Abrahamsen AFA, Loge JH, Hannisdal E et al. Socio-medical situation for long term survivors of Hodgkin's disease: a survey of 459 patients treated at one institution. Eur J Cancer 1998; 34: 1865–1870.
Sutherland HJ, Fyles GM, Adams G et al. Quality of life following bone marrow transplantation: a comparison of patient reports with population norms. Bone Marrow Transplant 1997; 19: 1129–1136.
Kopp M, Schweigkofler H, Holzner B et al. Time after bone marrow transplantation as an important variable for quality of life: results of a cross-sectional investigation using two different instruments for quality-of-life assessment. Ann Hematol 1998; 77: 27–32.
Hensel M, Egerer G, Schneeweiss A et al. Quality of life in social and professional life after autologous stem cell transplantation. Ann Oncol 2002; 13: 209–217.
Lee SJ, Fairclough D, Antin JH et al. Discrepancies between patient and physician estimates for the success of stem cell transplantation. JAMA 2001; 8: 1034–1038.
Author information
Authors and Affiliations
Corresponding author
Rights and permissions
About this article
Cite this article
Hjermstad, M., Knobel, H., Brinch, L. et al. A prospective study of health-related quality of life, fatigue, anxiety and depression 3–5 years after stem cell transplantation. Bone Marrow Transplant 34, 257–266 (2004). https://doi.org/10.1038/sj.bmt.1704561
Received:
Accepted:
Published:
Issue date:
DOI: https://doi.org/10.1038/sj.bmt.1704561
Keywords
This article is cited by
-
Short-Term Impact of Hematopoietic Stem Cell Transplantation on Depressive Behavior, Cognition and Quality of Life in Leukemia Patients
Indian Journal of Hematology and Blood Transfusion (2024)
-
Potential benefits of a virtual, home-based combined exercise and mindfulness training program for HSC transplant survivors: a single-arm pilot study
BMC Sports Science, Medicine and Rehabilitation (2022)
-
Prevalence and Determinants of Return to Work as a Patient-Centered Outcome in Survivors of Hematopoietic Cell Transplantation
Current Hematologic Malignancy Reports (2022)
-
Determining the symptoms and coping methods of patients at home after hematopoietic stem cell transplantation
Supportive Care in Cancer (2022)
-
Prevalence of growth hormone deficiency in patients with unexplained chronic fatigue after undergoing bone marrow transplantation in adulthood
Journal of Endocrinological Investigation (2021)


