Abstract
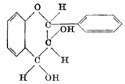
Robinson and Seshadri have postulated that C6—CH(OH)—CH(OH)—CH(OH)—C6 is the form of the precursor of the various classes of anthoxanthidins, and the anthocyanidins (for discussion, see ref. 1). Recent work2 has shown that the leuco-anthocyanidins have the cyclic form of this structure:
so that this class could be one of the first forms of polyphenolic compounds synthesized in the plant and be the precursor of the above substances as well as catechins and tannins. If this were so, one would expect appreciable amounts of leuco-anthocyanins to be formed in areas of intense metabolism.
This is a preview of subscription content, access via your institution
Access options
Subscribe to this journal
Receive 51 print issues and online access
$199.00 per year
only $3.90 per issue
Buy this article
- Purchase on SpringerLink
- Instant access to the full article PDF.
USD 39.95
Prices may be subject to local taxes which are calculated during checkout
Similar content being viewed by others
References
Geissman, T. A., and Hinreiner, E., Bot. Rev., 18, 77 (1952).
King, F. E., and Bottomley, W., J. Chem. Soc., 1399 (1954). King, F. E., and Clark-Lewis, J. W., Chem. and Indust., 751 (1954). Bauer, L., Birch, A. J., and Hillis, W. E., Chem. and Indust., 433 (1954). Swain, T., Chem. and Indust., 1144 (1954).
Hillis, W. E., J. Soc. Leather Trades Chem., 38, 91 (1952).
Swain, T., Chem. and Indust., 1144 (1954). Forsyth, W. G. C., Nature, 172, 726 (1953).
Author information
Authors and Affiliations
Rights and permissions
About this article
Cite this article
HILLIS, W. Formation of Leuco-Anthocyanins in Eucalypt Tissues. Nature 175, 597–598 (1955). https://doi.org/10.1038/175597b0
Issue date:
DOI: https://doi.org/10.1038/175597b0
This article is cited by
-
Effect of certain proanthocyanidins and catechins on the nucleic acid and nitrogen contents ofLemna paucicostata Hegelm
Proceedings / Indian Academy of Sciences (1984)
-
Effect of some proanthocyanidins and catechins on the growth ofLemna paucicostata Hegelm
Proceedings / Indian Academy of Sciences (1980)
-
Partition chromatography and its use in the plant sciences
The Botanical Review (1959)
-
Leuco-Anthocyanins as the Possible Precursors of Tannins
Nature (1958)
-
Formation of Condensed Tannins in Plants
Nature (1958)


