Abstract
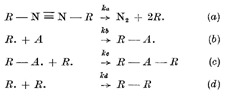
2-CYANO-2-PROPYL radicals generated by thermal decomposition of azo-bisisobutyronitrile in benzene solution readily add on to the meso-positions of anthracene1 or substituted anthracenes2 to form substituted 9,10-dihydroanthracenes. The following-reactions take place (R = 2-cyano-2-propyl; A = anthracene):
This is a preview of subscription content, access via your institution
Access options
Subscribe to this journal
Receive 51 print issues and online access
$199.00 per year
only $3.90 per issue
Buy this article
- Purchase on SpringerLink
- Instant access to the full article PDF.
USD 39.95
Prices may be subject to local taxes which are calculated during checkout
Similar content being viewed by others

References
Bickel, A. F., and Kooyman, E. C., Rec. Trav. Chim., 71, 1137 (1952).
Engelsma, J. W., Farenhorst, E., and Kooyman, E. C., Rec. Trav. Chim., [73, 878 (1954)].
Kooyman, E. C., and Farenhorst, E., Nature, 169, 153 (1952); Trans. Farad. Soc., 49, 58 (1953). Roitt, I. M., and Waters, W. A., J. Chem. Soc., 2695 (1952).
Cf. Coulson, C. A., J. Chim. Phys., 45, 243 (1948). Greenwood, H. H., Brit. J. Cancer, 5, 441 (1951).
Hey, D. H., and Williams, G. H., Disc. Faraday Soc., 14, 216 (1953). Hey, D. H., et al., J. Chem. Soc., 2892 (1951).
Kooyman, E. C., and Heringa, J. W., Nature, 170, 661 (1952).
Jones, R. N., Chem. Rev., 32, 1 (1943); J. Amer. Chem. Soc., 67, 2127 (1945).
Baker, J. W., “Hyperconjugation” (Clarendon Press, Oxford, 1952).
Author information
Authors and Affiliations
Rights and permissions
About this article
Cite this article
FARENHORST, E., KOOYMAN, E. Relative Reactivities of Substituted Anthracenes towards the Addition of 2-Cyano-2-propyl Radicals. Nature 175, 598–599 (1955). https://doi.org/10.1038/175598a0
Issue date:
DOI: https://doi.org/10.1038/175598a0

