Abstract
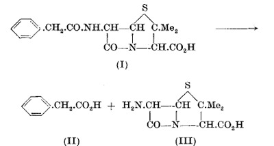
Sakaguchi and Murao1 reported on the presence of an enzyme in the mycelium of Penicillium chrysogenum and Aspergillus oryzae which would split penicillin G (I) into phenylacetic acid (II) and ‘penicin’ (III) :
This is a preview of subscription content, access via your institution
Access options
Subscribe to this journal
Receive 51 print issues and online access
$199.00 per year
only $3.90 per issue
Buy this article
- Purchase on SpringerLink
- Instant access to the full article PDF.
USD 39.95
Prices may be subject to local taxes which are calculated during checkout
Similar content being viewed by others
References
Sakaguchi, K., and Murao, S., J. Agric. Chem. Soc. (Japan), 23, 411 (1950).
Sheehan, J. C., Henery-Logan, K. R., and Johnson, D. A., J. Amer. Chem. Soc., 75, 3292 (1953).
Batchelor, F. R., Doyle, F. P., Nayler, J. H. C., and Rolinson, G. N., Nature, 183, 257 (1959).
Author information
Authors and Affiliations
Rights and permissions
About this article
Cite this article
CLARIDGE, C., GOUREVITCH, A. & LEIN, J. Bacterial Penicillin Amidase. Nature 187, 237–238 (1960). https://doi.org/10.1038/187237a0
Issue date:
DOI: https://doi.org/10.1038/187237a0
This article is cited by
-
Penicillin acylases
Applied Biochemistry and Biotechnology (1984)
-
Gene Cloning in Bacilli Related to Enhanced Penicillin Acylase Production
Bio/Technology (1983)
-
The aminopenicillins: Development and comparative properties
Infection (1979)
-
Properties of the Penicillin Deacylase Enzyme of Escherichia coli
Nature (1964)
-
Reaction of 6-aminopenicillanic acid with frequentin
Experientia (1964)


