Abstract
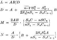
THE flat earth scattering theory1 which explained many of the observed effects in relatively long-distance propagation of short radio waves has been extended to cover propagation around a spherical earth. The resulting formulæ may be expressed as here, using a co-ordinate system in which the transmitter is located at a pole; Λ is the co-latitude of the receiver, θ is the longitude of the receiver measured from the longitude of the direction of the maximum of the transmitted beam. The power polar diagram of the transmitter is assumed to be of the form exp(− Bθ2). The distribution of received power in the direction ξ measured from the great circle direction between the receiver and the transmitter is then of the form:
where
n = number of equal steps (half-hops) between the transmitter and the receiver, each of angular length λ.
A = average ionospheric scattering factor obtained from a scattering function of the form exp(− Aξ2).
This is a preview of subscription content, access via your institution
Access options
Subscribe to this journal
Receive 51 print issues and online access
$199.00 per year
only $3.90 per issue
Buy this article
- Purchase on SpringerLink
- Instant access to the full article PDF.
USD 39.95
Prices may be subject to local taxes which are calculated during checkout
Similar content being viewed by others
References
Whale, H. A., J. Res. Nat. Bur. Stand., 66, D, 265 (1962).
Whale, H. A., J. Atmosph. Terr. Phys., 9, 150 (1956).
Author information
Authors and Affiliations
Rights and permissions
About this article
Cite this article
WHALE, H. Focusing Effects in Spherical Earth Radio Propagation. Nature 197, 886–887 (1963). https://doi.org/10.1038/197886a0
Issue date:
DOI: https://doi.org/10.1038/197886a0


