Abstract
THE usefulness, for numerical integration in p dimensions, of the following “centroid method” seems to have been generally underestimated. The method is a generalization of the mid-point method for one dimension. The first approximation to the integral is f(x̄) multiplied by the “volume” of the region of integration, where x̄ is the centroid of the region. This first approximation is itself often more accurate than might be expected. (It is exact if f is linear.) If f has a p-dimensional Taylor expansion about the centroid, valid in the region, then the integral is given exactly by the following equation
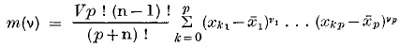
where n = ν1 + ν2 + … + νp, where the terms for n = 1 vanish, and where m(ν) is the generalized moment of inertia
Because any non-pathological domain can be “triangulated” into simplexes, it is convenient to have a formula for the generalized moments of inertia of a simplex the vertices of which are xk = (xk1, …, xkp), (k = 0,1, …, p). It can be shown that m(ν) is equal to the coefficient of … in
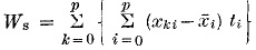
where V is the “volume” of the simplex, given by a familiar determinant, and where
If 1≤n≤3 (but not if n≥4), it can be readily deduced that
and if p = 2 and 1≤n≤5 (but not if n≥6),
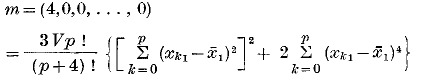
where c2=1/12, c3 = c4=1/30, c5 = 2/105. An example of a fourth moment for arbitrary p is 
This is a preview of subscription content, access via your institution
Access options
Subscribe to this journal
Receive 51 print issues and online access
$199.00 per year
only $3.90 per issue
Buy this article
- Purchase on SpringerLink
- Instant access to the full article PDF.
USD 39.95
Prices may be subject to local taxes which are calculated during checkout
Similar content being viewed by others
Author information
Authors and Affiliations
Rights and permissions
About this article
Cite this article
GOOD, I., GASKINS, R. Centroid Method of Integration. Nature 222, 697–698 (1969). https://doi.org/10.1038/222697a0
Received:
Revised:
Issue date:
DOI: https://doi.org/10.1038/222697a0
This article is cited by
-
Integration over a simplex, truncated cubes, and Eulerian numbers
Numerische Mathematik (1978)


