Abstract
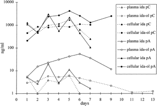
The feasibility of adding both the multidrug resistance modulator cyclosporin (CsA) and granulocyte colony-stimulating factor (G-CSF) to a standard salvage regimen of idarubicin (IDA) and cytarabine was evaluated in patients with resistant or relapsed acute myeloid leukemia and myelodysplastic syndrome. Three patients received IDA 12 mg/m2/day, the next four patients 9 mg/m2/day. The dose of CsA was 16 mg/kg/day. Six patients showed Pgp expression and none MRP1 expression. Grade III or IV toxicity (CTC-NCIC criteria) was registered in six patients for gastrointestinal, two patients for cardiovascular and one patient for neurological complications. Three patients died in hypoplasia and three patients showed leukemic regrowth. Three control patients were treated with IDA 12 mg/m2/day and cytarabine, but no CsA and G-CSF. The plasma IDA and idarubicinol (ida-ol) area under the curve's of patients treated with IDA 12 mg/m2 plus CsA were higher (P < 0.05) than in controls. cellular ida concentrations were almost similar, but cellular ida-ol concentrations were significantly higher (P < 0.05) in the presence of csa than in controls. we conclude that the toxicity either with ida 12 or 9 mg/m2/day was too high. The modulating effect of CsA was mainly based on changes in plasma kinetics of IDA and ida-ol, although ida-ol cellular clearance was delayed in the presence of CsA.
This is a preview of subscription content, access via your institution
Access options
Subscribe to this journal
Receive 12 print issues and online access
$259.00 per year
only $21.58 per issue
Buy this article
- Purchase on SpringerLink
- Instant access to the full article PDF.
USD 39.95
Prices may be subject to local taxes which are calculated during checkout


Similar content being viewed by others
References
Wiernik PH, Dutcher JP . Clinical importance of anthracyclines in the treatment of acute myeloid leukemia Leukemia 1992 6: (Suppl. 1) 67–69
Speth PA, Linssen PC, Boezeman JB, Wessels HM, Haanen C . Leukemic cell and plasma daunomycin concentrations after bolus injection and 72 h infusion Cancer Chemother Pharmacol 1987 20: 311–315
Workman P . Infusional anthracyclines: is slower better? If so, why? Ann Oncol 1992 3: 591–594
Hollingshead LM, Faulds D . Idarubicin. A review of its pharmacodynamic and pharmacokinetic properties, and therapeutic potential in the chemotherapy of cancer Drugs 1991 42: 690–719
Ames MM, Spreafico E . Selected pharmacologic characteristics of idarubicin and idarubicinol Leukemia 1992 6: (Suppl. 1) 70–75
Carella AM, Berman E, Maraone MP, Ganzina F . Idarubicin in the treatment of acute leukemias. An overview of preclinical and clinical studies Haematologica 1990 75: 159–169
Pirker R, Wallner J, Geissler K, Linkesch W, Haas OA, Bettelheim P, Hopfner M, Scherrer R, Valent P, Havelec L . MDR1 gene expression and treatment outcome in acute myeloid leukemia J Natl Cancer Inst 1991 83: 708–712
Booser DJ, Hortobagyi GN . Anthracycline antibiotics in cancer therapy. Focus on drug resistance Drugs 1994 47: 223–258
Hunault M, Zhou D, Delmer A, Ramond S, Viguie F, Cadiou M, Perrot JY, Levy V, Rio B, Cymbalista F, Zittoun R, Marie JP . Multidrug resistance gene expression in acute myeloid leukemia: major prognosis significance for in vivo drug resistance to induction treatment Ann Hematol 1997 74: 65–71
List AF . Role of multidrug resistance and its pharmacological modulation in acute myeloid leukemia Leukemia 1996 10: 937–942
Nussler V, Pelka FR, Zwierzina H, Nerl C, Beckert B, Gullis E, Gieseler F, Bock S, Bartl R, Petrides PE . Clinical importance of P-glycoprotein-related resistance in leukemia and myelodysplastic syndromes – first experience with their reversal Ann Hematol 1994 69: (Suppl. 1) S25–S29
Boesch D, Loor F . Extent and persistence of P-glycoprotein inhibition in multidrug-resistant P388 cells after exposure to resistance-modifying agents Anticancer Drugs 1994 5: 229–238
Hart SM, Ganeshaguru K, Hoffbrand AV, Prentice HG, Mehta AP . Expression of the multidrug resistance-associated protein (MRP) in acute leukaemia Leukemia 1994 8: 2163–2168
Hart SM, Ganeshaguru K, Scheper RJ, Prentice HG, Hoffbrand AV, Mehta AP . Expression of the human major vault protein LRP in acute myeloid leukemia Exp Hematol 1997 25: 1227–1232
Ling V . Multidrug resistance: molecular mechanisms and clinical relevance Cancer Chemother Pharmacol 1997 40: (Suppl.) 3–8
Nooter K, Burger H, Stoter G . Multidrug resistance-associated protein (MRP) in haematological malignancies Leuk Lymphoma 1996 20: 381–387
Nooter K, Stoter G . Molecular mechanisms of multidrug resistance in cancer chemotherapy Pathol Res Pract 1996 192: 768–780
Schneider E, Cowan KH, Bader H, Toomey S, Schwartz GN, Karp JE, Burke PJ, Kaufmann SH . Increased expression of the multidrug resistance-associated protein gene in relapsed acute leukemia Blood 1995 85: 186–193
Davey MW, Hargrave RM, Davey RA . Comparison of drug accumulation in P-glycoprotein-expressing and MRP-expressing human leukaemia cells Leukemia Res 1996 20: 657–664
Nagasawa K, Natazuka T, Chihara K, Kitazawa F, Tsumura A, Takara K, Nomiyama M, Ohnishi N, Yokoyama T . Transport mechanism of anthracycline derivatives in human leukemia cell lines: uptake and efflux of pirarubicin in HL60 and pirarubicin-resistant HL60 cells Cancer Chemother Pharmacol 1996 37: 297–304
Twentyman PR, Versantvoort CH . Experimental modulation of MRP (multidrug resistance-associated protein)-mediated resistance Eur J Cancer 1996 32A: 1002–1009
Abbaszadegan MR, Foley NE, Gleason GM, Dalton WS . Resistance to the chemosensitizer verapamil in a multi-drug-resistant (MDR) human multiple myeloma cell line Int J Cancer 1996 66: 506–514
Germann UA, Ford PJ, Shlyakhter D, Mason VS, Harding MW . Chemosensitization and drug accumulation effects of VX-710, verapamil, cyclosporin A, MS-209 and GF120918 in multidrug resistant HL60/ADR cells expressing the multidrug resistance-associated protein MRP Anticancer Drugs 1997 8: 141–155
Kim WJ, Kakehi Y, Hirai M, Arao S, Hiai H, Fukumoto M, Yoshida O . Multidrug resistance-associated protein-mediated multidrug resistance modulated by cyclosporin A in a human bladder cancer cell line Jpn J Cancer Res 1995 86: 969–977
Michieli M, Damiani D, Michelutti A, Candoni A, Masolini P, Scaggiante B, Quadrifoglio F, Baccarani M . Restoring uptake and retention of daunorubicin and idarubicin in P170-related multidrug resistance cells by low concentration D-verapamil, cyclosporin-A and SDZ PSC 833 Haematologica 1994 79: 500–507
Hargrave RM, Davey MW, Davey RA, Kidman AD . Development of drug resistance is reduced with idarubicin relative to other anthracyclines Anticancer Drugs 1995 6: 432–437
Berman E, McBride M . Comparative cellular pharmacology of daunorubicin and idarubicin in human multidrug-resistant leukemia cells Blood 1992 79: 3267–3273
Nielsen D, Maare C, Skovsgaard T . Cellular resistance to anthracyclines Gen Pharmacol 1996 27: 251–25
Ross DD, Doyle LA, Yang W, Tong Y, Cornblatt B . Susceptibility of idarubicin, daunorubicin, and their C-13 alcohol metabolites to transport-mediated multidrug resistance Biochem Pharmacol 1995 50: 1673–1683
Minderman H, Linssen P, van der Lely N, Wessels J, Boezeman J, de Witte T, Haanen C . Toxicity of idarubicin and doxorubicin towards normal and leukemic human bone marrow progenitors in relation to their proliferative state Leukemia 1994 8: 382–387
Smeets M, Raymakers R, Vierwinden G, Pennings A, Wessels H, de Witte T . Triggering noncycling hematopoietic progenitors and leukemic blasts to proliferate increases anthracycline retention and toxicity by down-regulating multi drug resistance Blood 1999 94: 2414–2423
Van der Lely N, de Witte T, Wessels J, Raymakers R, Muus P, Preijers F . In vitro response of blasts to IL-3, GM-CSF, and G-CSF is different for individual AML patients: factors that stimulate leukemic clonogenic cells also enhance Ara-C cytotoxicity Ann Hematol 1994 68: 225–232
Vogler WR . Strategies in the treatment of acute myelogenous leukemia Leukemia Res 1992 16: 1143–1153
Dombret H . Granulocytic colony-stimulating factors in the management of patients with acute myeloid leukemia Hematol Cell Ther 1996 38: 231–240
List AF, Spier C, Greer J, Wolff S, Hutter J, Dorr R, Salmon S, Futscher B, Baier M, Dalton W . Phase I/II trial of cyclosporine as a chemotherapy-resistance modifier in acute leukemia J Clin Oncol 1993 11: 1652–1660
de Witte T, Suciu S, Selleslag D, Labar B, Roozendaal K, Zittoun R, Ribeiro M, Kurstjens R, Hayat M, Dardenne M, Solbu G, Muus P . Salvage treatment for primary resistant acute myelogenous leukemia consisting of intermediate-dose cytosine arabinoside and interspaced continuous infusions of idarubicin: a phase-II study (No. 06901) of the EORTC Leukemia Cooperative Group Ann Hematol 1996 72: 119–124
Minderman H, Vanhoefer U, Toth K, Yin MB, Minderman MD, Wrzosek C, Slovak ML, Rustum YM . DiOC2(3) is not a substrate for multidrug resistance protein (MRP)-mediated drug efflux Cytometry 1996 25: 14–20
Webb M, Raphael CL, Asbahr H, Erber WN, Meyer BF . The detection of rhodamine 123 efflux at low levels of drug resistance Br J Haematol 1996 93: 650–655
Smeets M, Raymakers R, Vierwinden G, Pennings A, van de Locht L, Wessels H, Boezeman J, de Witte T . A low but functionally significant MDR1 expression protects primitive haemopoietic progenitor cells from anthracycline toxicity Br J Haematol 1997 96: 346–355
Den Boer ML, Zwaan CM, Pieters R, Kazemier KM, Rottier MM, Flens MJ, Scheper RJ, Veerman AJ . Optimal immunocytochemical and flow cytometric detection of P-gp, MRP and LRP in childhood acute lymphoblastic leukemia Leukemia 1997 11: 1078–1085
Hempel G, Haberland S, Schulze WP, Mohling N, Blaschke G, Boos J . Determination of idarubicin and idarubicinol in plasma by capillary electrophoresis J Chromatogr B Biomed Sci 1997 Appl. 698: 287–292
Berman E, Heller G, Santorsa J, McKenzie S, Gee T, Kempin S, Gulati S, Andreeff M, Kolitz J, Gabrilove J . Results of a randomized trial comparing idarubicin and cytosine arabinoside with daunorubicin and cytosine arabinoside in adult patients with newly diagnosed acute myelogenous leukemia Blood 1991 77: 1666–1674
Vogler WR, Velez GE, Weiner RS, Flaum MA, Bartolucci AA, Omura GA, Gerber MC, Banks PL . A phase III trial comparing idarubicin and daunorubicin in combination with cytarabine in acute myelogenous leukemia: a Southeastern Cancer Study Group study J Clin Oncol 1992 10: 1103–1111
Wiernik PH, Banks PL, Case DCJ, Arlin ZA, Periman PO, Todd MB, Ritch PS, Enck RE, Weitberg AB . Cytarabine plus idarubicin or daunorubicin as induction and consolidation therapy for previously untreated adult patients with acute myeloid leukemia Blood 1992 79: 313–319
Yahanda AM, Alder KM, Fisher GA, Brophy NA, Halsey J, Hardy RI, Gosland MP, Lum BL, Sikic BL . Phase I trial of etoposide with cyclosporine as a modulator of multidrug resistance J Clin Oncol 1992 10: 1624–1634
Dahl GV, Lacayo NJ, Brophy N, Dunussi Joannopoulos K, Weinstein HJ, Chang M, Sikic BJ, Arceci RJ . Mitoxantrone, etoposide, and cyclosporine therapy in pediatric patients with recurrent or refractory acute myeloid leukemia J Clin Oncol 2000 18: 1867–1875
Tallman MS, Lee S, Sikic BI, Paietta E, Wiernik PH, Bennett JM, Rowe JM . Mitoxantrone, etoposide, and cytarabine plus cyclosporine for patients with relapsed or refractory acute myeloid leukemia: an Eastern Cooperative Oncology Group pilot study Cancer 1999 85: 358–367
Wattel E, Solary E, Hecquet B, Caillot D, Ifrah N, Brion A, Mahe B, Milpied N, Janvier M, Guerci A, Rochant H, Cordonnier C, Dreyfus F, Buzyn A, Hoang NL, Stoppa AM, Gratecos N, Sadoun A, Stamatoulas A, Tilly H, Brice P, Maloisel F, Lioure B, Desablens B, Fenaux P . Quinine improves the results of intensive chemotherapy in myelodysplastic syndromes expressing P glycoprotein: results of a randomized study Br J Haematol 1998 102: 1015–1024
Damiani D, Michieli M, Ermacora A, Russo D, Fanin R, Zaja F, Baraldo M, Pea F, Furlanut M, Baccarani M . Adjuvant treatment with cyclosporin A increases the toxicity of chemotherapy for remission induction in acute non-lymphocytic leukemia Leukemia 1998 12: 1236–1240
Pea F, Damiani D, Michieli M, Ermacora A, Baraldo M, Russo D, Fanin R, Baccarani M, Furlanut M . Multidrug resistance modulation in vivo: the effects of cyclosporin A alone or with dexverapamil on idarubicin pharmacokinetics in acute leukemia Eur J Clin Pharmacol 1999 55: 361–368
Schroder JK, Kasimir Bauer S, Seeber S, Scheulen ME . In vitro effects of multidrug resistance modifiers on idarubicinol efflux in blasts of acute myeloid leukemia J Cancer Res Clin Oncol 2000 126: 111–116
Thiebaut F, Tsuruo T, Hamada H, Gottesman MM, Pastan I, Willingham MC . Cellular localization of the multidrug-resistance gene product P-glycoprotein in normal human tissues Proc Natl Acad Sci USA 1987 84: 7735–7738
Sugawara I, Kataoka I, Morishita Y, Hamada H, Tsuruo T, Itoyama S, Mori S . Tissue distribution of P-glycoprotein encoded by a multidrug-resistant gene as revealed by a monoclonal antibody, MRK 16 Cancer Res 1988 48: 1926–1929
Pileri SA, Sabattini E, Falini B, Tazzari PL, Gherlinzoni F, Michieli MG, Damiani D, Zucchini L, Gobbi M, Tsuruo T . Immunohistochemical detection of the multidrug transport protein P170 in human normal tissues and malignant lymphomas Histopathology 1991 19: 131–140
Brophy NA, Marie JP, Rojas VA, Warnke RA, McFall PJ, Smith SD, Sikic BI . Mdr1 gene expression in childhood acute lymphoblastic leukemias and lymphomas: a critical evaluation by four techniques Leukemia 1994 8: 327–335
Bailly JD, Muller C, Jaffrezou JP, Demur C, Gassar G, Bordier C, Laurent G . Lack of correlation between expression and function of P-glycoprotein in acute myeloid leukemia cell lines Leukemia 1995 9: 799–807
Lowenberg B, Touw IP . Hematopoietic growth factors and their receptors in acute leukemia Blood 1993 81: 281–292
Drach D, Zhao S, Drach J, Mahadevia R, Gattringer C, Huber H, Andreeff M . Subpopulations of normal peripheral blood and bone marrow cells express a functional multidrug resistant phenotype Blood 1992 80: 2729–2734
Vellenga E, Ostapovicz D, O'Rourke B, Griffin JD . Effects of recombinant IL-3, GM-CSF, and G-CSF on proliferation ofleukemic clonogenic cells in short-term and long-term cultures Leukemia 1987 1: 584–589
Lowenberg B, Salem M, Delwel R . Effects of recombinant multi-CSF, GM-CSF, G-CSF and M-CSF on the proliferation and maturation of human AML in vitro Blood Cells 1988 14: 539–549
Visani G, Manfroi S . G-CSF in the biology and treatment of acute myeloid leukemias Leuk Lymphoma 1995 18: 423–428
Van der Lely N, de Witte T, Wessels J, Raymakers R, Muus P, Preijers F . In vitro response of blasts to IL-3, GM-CSF, and G-CSF is different for individual AML patients: factors that stimulate leukemic clonogenic cells also enhance Ara-C cytotoxicity Ann Hematol 1994 68: 225–232
Ohno R, Naoe T, Kanamaru A, Yoshida M, Hiraoka A, Kobayashi T, Ueda T, Minami S, Morishima Y, Satio Y . A double-blind controlled study of granulocyte colony-stimulating factor started two days before induction chemotherapy in refractory acute myeloid leukemia. Kohseisho Leukemia Study Group Blood 1994 83: 2086–2092
Rowe JM, Andersen JW, Mazza JJ, Bennett JM, Paietta E, Hayes FA, Oette D, Cassileth PA, Stadtmauer EA, Wiernik PH . A randomized placebo-controlled phase III study of granulocyte–macrophage colony-stimulating factor in adult patients (>55 to 70 years of age) with acute myelogenous leukemia: a study of the Eastern Cooperative Oncology Group (E1490) Blood 1995 86: 457–462
Usuki K, Iki S, Endo M, Kitazume K, Ito K, Watanabe M, Urabe A . Granulocyte colony-stimulating factor in acute myeloid leukemia Stem Cells Dayt 1995 13: 647–654
Advani R, Saba HI, Tallman MS, Rowe JM, Wiernik PH, Ramek J, Dugan K, Lum B, Villena J, Davis E, Paietta E, Litchman M, Sikic BI, Greenberg PL . Treatment of refractory and relapsed acute myelogenous leukemia with combination chemotherapy plus the multidrug resistance modulator PSC 833 (Valspodar) Blood 1999 93: 787–795
Kornblau SM, Estey E, Madden T, Tran HT, Zhao S, Consoli U, Snell V, Sanchez Williams G, Kantarjian H, Keating M, Newman RA, Andreeff M . Phase I study of mitoxantrone plus etoposide with multidrug blockade by SDZ PSC-833 in relapsed or refractory acute myelogenous leukemia J Clin Oncol 1997 15: 1796–1802
Acknowledgements
This work was supported by grants from the Ank van Vlissingen Foundation, The Netherlands and the Bekalis Foundation, Belgium.
Author information
Authors and Affiliations
Rights and permissions
About this article
Cite this article
Smeets, M., Raymakers, R., Muus, P. et al. Cyclosporin increases cellular idarubicin and idarubicinol concentrations in relapsed or refractory AML mainly due to reduced systemic clearance. Leukemia 15, 80–88 (2001). https://doi.org/10.1038/sj.leu.2401996
Received:
Accepted:
Published:
Issue date:
DOI: https://doi.org/10.1038/sj.leu.2401996
Keywords
This article is cited by
-
Addition of cyclosporin-A to chemotherapy in secondary (post-MDS) AML in the elderly. A multicenter randomized trial of the Leukemia Working Group of the Hellenic Society of Hematology
Annals of Hematology (2006)
-
Novel tetrahydroisoquinolin-ethyl-phenylamine based multidrug resistance inhibitors with broad-spectrum modulating properties
Cancer Chemotherapy and Pharmacology (2006)


