Abstract
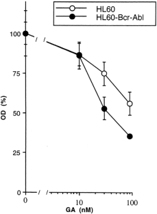
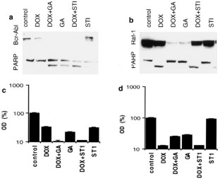
The Bcr-Abl fusion protein drives leukemogenesis and can render leukemia cells resistant to conventional chemotherapy. Geldanamycin (GA), a drug which destabilizes Hsp90-associated proteins, depletes cells of Bcr-Abl, an Hsp90 client, but not of Abl. Both HL60 cells transfected with Bcr-Abl and naturally Ph1-positive K562 leukemia cells are resistant to most cytotoxic drugs, but were found to be sensitive to GA. Furthermore, GA sensitized Bcr-Abl-expressing cells to doxorubicin (DOX) and paclitaxel (PTX). In contrast, in parental HL60 cells, 90 nM GA inhibited PARP cleavage, nuclear fragmentation, and cell death caused by 500 ng/ml DOX. Like GA, STI 571 (an inhibitor of the Abl kinase) sensitized Bcr-Abl-expressing cells to DOX. Unlike GA, STI 571 did not antagonize the cytotoxic effects of DOX in parental HL60 cells. These results indicate that sensitization of Bcr-Abl-expressing cells, but not desensitization of HL60 cells, depends on inhibition of Bcr-Abl. Thus, GA differentially affects leukemia cells depending on their Bcr-Abl expression and selectively increases apoptosis in Bcr-Abl-expressing cells.
This is a preview of subscription content, access via your institution
Access options
Subscribe to this journal
Receive 12 print issues and online access
$259.00 per year
only $21.58 per issue
Buy this article
- Purchase on SpringerLink
- Instant access to the full article PDF.
USD 39.95
Prices may be subject to local taxes which are calculated during checkout








Similar content being viewed by others
References
Shtivelman EB, Lifshitz B, Gale RP, Canaani E . Fused transcript of abl and bcr genes in chronic myelogenous leukemia Nature 1985 315: 550–554
Deininger MWN, Goldman JM, Melo JV . The molecular biology of chronic myeloid leukemia Blood 2000 96: 3343–3356
Huettner CS, Zhang P, Van Etten RA, Tenen DG . Reversibility of acute B-cell leukaemia induced by BCR-ABL1 Nature Genet 2000 24: 57–60
Laurent E, Talpaz M, Kantarjian H, Kurzrock R . The BCR gene and Philadelphia chromosome-positive leukomogenesis Cancer Res 2001 61: 2343–2355
Bedi A, Barber JP, Bedi GC, El-Deiry WS, Sidransky D, Vala MS, Akhtar AJ, Hilton J, Jones RJ . BCR-ABL-mediated inhibition of apoptosis with delay of G2/M transition after DNA damage: a mechanism of resistance to multiple anticancer agents Blood 1995 86: 1148–1158
Druker BJ, Tamura S, Buchdunger E, Ohno S, Gegal GM, Fanning S, Zimmermann J, Lydon NB . Effects of a selective inhibitor of the Abl tyrosine kinase on the growth of Bcr-Abl positive cells Nature Med 1996 2: 561–566
Dubrez L, Eymin B, Sordet O, Droin N, Turhan AG, Solary E . BCR-ABL delays apoptosis upstream of procaspase-3 activation Blood 1998 91: 2415–2422
Amarante-Mendes GP, Naekyung Kim C, Liu L, Huang Y, Perkins CL, Green DR, Bhalla K . Bcr-Abl exerts its antiapoptotic effect against diverse apoptotic stimuli through blockage of mitochondrial release of cytochrome C and activation of caspase-3 Blood 1998 91: 1700–1705
Amarante-Mendes GP, McGahon AJ, Nishioka WK, Afar DE, Witte ON, Green DR . Bcl-2-independent Bcr-Abl-mediated resistance to apoptosis: protection is correlated with upregulation of Bcl-xL Oncogene 1998 16: 1383–1390
Horita M, Andreu EJ, Benito A, Arbona C, Sanz C, Benet I, Prosper F, Fernandez-Luna JL . Blockade of the Bcr-Abl kinase activity induces apoptosis of chronic myelogenous leukemia cells by suppressing signal transducer and activator of transcription 5-dependent expression of Bcl-xL J Exp Med 2000 191: 977–984
Oetzel C, Jonuleit T, Gotz A, van der Kuip H, Michels H, Duyster J, Hallek M, Aulitzky WE . The tyrosine kinase inhibitor CGP 57148 (ST1 571) induces apoptosis in BCR-ABL-positive cells by down-regulating BCL-X Clin Cancer Res 2000 6: 1958–1968
Franklin RA, McCubrey JA . Kinases: positive and negative regulators of apoptosis Leukemia 2000 14: 2019–2034
Whitesell L, Mimnaugh EG, De Costa B, Myers CE, Neckers LM . Inhibition of HSP90-pp60v-src heteroprotein complex formation by benzoquinone ansamycins: essential role for stress proteins in oncogenic transformation Proc Natl Acad Sci USA 1994 91: 8324–8328
Blagosklonny MV, Toretskey J, Bohen S, Neckers LM . Conformation of mutated p53 requires functional HSP90 Proc Natl Acad Sci USA 1996 93: 8379–8383
An WG, Schulte TW, Neckers LM . The HSP90 antagonist geldanamycin alters chaperone association with p210BCR-ABL and v-src proteins prior to their degradation by the proteasome Cell Growth Diff 2000 11: 355–360
Perkins C, Kim CN, Fang G, Bhalla KN . Arsenic induces apoptosis of multidrug-resistant human myeloid leukemia cells that express Bcr-Abl or overexpress MDR, MRP, Bcl-2, or Bcl-xL Blood 2000 95: 1014–1022
An WG, Schnur RC, Neckers LM, Blagosklonny MV . Depletion of ErbB2, Raf-1 and mutant p53 proteins by geldanamycin derivatives correlates with antiproliferative activity Cancer Chemother Pharmacol 1997 40: 60–64
An WG, Hwang SG, Trepel JB, Blagosklonny MV . Protease inhibitor-induced apoptosis: accumulation wt p53, p21WAF1/CIP1, and induction of apoptosis are independent markers of proteasome inhibition Leukemia 2000 14: 1276–1283
Amarante-Mendes GP, Finucane DM, Martin SJ, Cotter TG, Salvesen GS, Green DR . Anti-apoptotic oncogenes prevent caspase-dependent and independent commitment for cell death Cell Death Differ 1998 5: 298–306
Bhalla K, Ibrado AM, Tourkina E, Tang C, Maloney ME, Huang Y . Taxol induces internucleosomal DNA fragmentation associated with programmed cell death in human myeloid leukemia cells Leukemia 1993 7: 563–568
Blagosklonny MV, Chuman Y, Bergan RC, Fojo T . Mitogen-activated protein kinase pathway is dispensible for microtubule-active drug-induced Raf-1/Bcl-2 phosphorylation and apoptosis in leukemia cells Leukemia 1999 13: 1028–1036
Druker BJ, Lydon NB . Lessons learned from the development of an abl tyrosine kinase inhibitor for chronic myelogenous leukemia J Clin Invest 2000 105: 3–7
Reed JC . Dysregulation of apoptosis in cancer J Clin Oncol 1999 17: 2941–2954
Dan S, Naito M, Tsuruo T . Selective induction of apoptosis in Philadelphia chromosome-positive chronic myelogenous leukemia cells by an inhibitor of BCR-ABL tyrosine kinase, CGP 57148 Cell Death Differ 1998 5: 710–715
Svingen PA, Tefferi A, Kottke TJ, Kaur G, Narayanan VL, Sausville EA, Kaufmann SH . Effect of the bcr/abl kinase inhibitors AG957 and NSC 680410 on chronic myelogenous leukemia cells in vitro Clin Cancer Res 2000 6: 237–249
Dorsey JF, Jove R, Kraker AJ, Wu J . The pyrido[2,3-d]pyrimidine derivative PD180970 inhibits p210Bcr-Abl tyrosine kinase and induces apoptosis of K562 leukemic cells Cancer Res 2000 60: 3127–3131
Stiewe T, Parssanedjad K, Esche H, Opalka B, Putzer BM . E1A overcomes the apoptosis block in BCR-ABL+ leukemia cells and renders cells susceptible to induction of apoptosis by chemotherapeutic agents Cancer Res 2000 60: 3957–3964
Fang G, Kim CN, Perkins CL, Ramadevi N, Winton E, Wittmann S, Bhalla KN . CGP57148B (STI-571) induces differentiation and apoptosis and sensitizes Bcr-Abl-positive human leukemia cells to apoptosis due to antileukemia drugs Blood 2000 96: 2246–2253
Thiesing JT, Ohno-Jones S, Kolibaba KS, Druker BJ . Efficacy of STI 571, an Abl tyrosine kinase inhibitor, in conjunction with other antileukemic agents against Bcr-Abl-positive cells Blood 2000 96: 3195–3199
Topaly J, Zeller WJ, Fruehauf S . Synergistic activity of the new ABL-specific tyrosine kinase inhibitor STI 571 and chemotherapeutic drugs on BCR-ABL-positive chronic myelogenous leukemia cells Leukemia 2001 15: 342–347
Le Coutre P, Mologni L, Cleris L, Marchesi E, Buchdunger E, Giardini R, Formelli F, Gambacorti-Passerini C . In vivo eradication of human BCR/ABL-positive leukemia cells with an ABL kinase inhibitor J Natl Cancer Inst 1999 91: 163–168
Weisberg E, Griffin JD . Mechanism of resistance to the ABL tyrosine kinase inhibitor STI571 in BCR/ABL-transformed hematopoietic cell lines Blood 2000 95: 3498–3505
Le Coutre P, Tassi E, Varella-Garcia M, Barni R, Mologni L, Cabrita G, Marchesi E, Supino R, Gambacorti-Passerini C . Induction of resistance to the Abelson inhibitor STI571 in human leukemic cells through gene amplification Blood 2000 95: 1758–1766
Mahon FX, Deininger MWN, Schultheis B, Chabrol J, Reiffers J, Goldman JM, Melo JV . Selection and characterization of BCR-ABL positive cell lines with differential sensitivity to the tyrosine kinase inhibitor STI 571: diverse mechanisms of resistance Blood 2000 96: 1070–1079
Bagatell R, Paine-Murrieta GD, Taylor CW, Pulcini EJ, Akinaga S, Benjamin IJ, Whitesell L . Induction of a heat shock factor 1-dependent stress response alters the cytotoxic activity of hsp90-binding agents Clin Cancer Res 2000 6: 3312–3328
Creagh EM, Sheehan D, Cotter TG . Heat shock proteins – modulators of apoptosis in tumour cells Leukemia 2000 14: 1161–1173
Blagosklonny MV, Robey R, Bates S, Fojo T . Pretreatment with DNA-damaging agents permits selective killing of checkpoint-deficient cells by microtubule-active drugs J Clin Invest 2000 105: 533–539
Author information
Authors and Affiliations
Rights and permissions
About this article
Cite this article
Blagosklonny, M., Fojo, T., Bhalla, K. et al. The Hsp90 inhibitor geldanamycin selectively sensitizes Bcr-Abl-expressing leukemia cells to cytotoxic chemotherapy. Leukemia 15, 1537–1543 (2001). https://doi.org/10.1038/sj.leu.2402257
Received:
Accepted:
Published:
Issue date:
DOI: https://doi.org/10.1038/sj.leu.2402257
Keywords
This article is cited by
-
TAS-116 inhibits oncogenic KIT signalling on the Golgi in both imatinib-naïve and imatinib-resistant gastrointestinal stromal tumours
British Journal of Cancer (2020)
-
Anti-leukemia activity of a Hsp70 inhibitor and its hybrid molecules
Scientific Reports (2017)
-
Non-benzoquinone geldanamycin analogs trigger various forms of death in human breast cancer cells
Journal of Experimental & Clinical Cancer Research (2016)
-
HSP-90 inhibitor ganetespib is synergistic with doxorubicin in small cell lung cancer
Oncogene (2014)
-
A cell-based screen for inhibitors of protein folding and degradation
Cell Stress and Chaperones (2010)


