Abstract
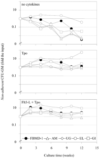
The first definitive long-term repopulating hematopoietic stem cells (HSCs) emerge from and undergo rapid expansion in the embryonic aorta–gonad–mesonephros (AGM) region. To investigate the presumptive unique characteristics of the embryonic hematopoietic microenvironment and its surrounding tissues, we have generated stromal clones from subdissected day 10 and day 11 AGMs, embryonic livers (ELs) and gut mesentery. We here examine the ability of 19 of these clones to sustain extended long-term cultures (LTCs) of human CD34+ umbilical cord blood (UCB) cells in vitro. The presence of in vitro repopulating cells was assessed by sustained production of progenitor cells (extended LTC-CFC) and cobblestone area-forming cells (CAFC). The embryonic stromal clones differed greatly in their support for human HSCs. Out of eight clones tested in the absence of exogenous cytokines, only one (EL-derived) clone was able to provide maintenance of HSCs. Addition of either Tpo or Flt3-L + Tpo improved the long-term support of about 50% of the tested clones. Cultures on four out of 19 clones, ie the EL-derived clone mentioned, two urogenital-ridge (UG)-derived clones and one gastrointestinal (GI)-derived clone, allowed a continuous expansion of primitive CAFC and CFU-GM with over several hundred-fold more CAFCweek6 produced in the 12th week of culture. This expansion was considerably higher than that found with the FBMD-1 cell line, which is appreciated by many investigators for its support of human HSCs, under comparable conditions. This stromal cell panel derived from the embryonic regions may be a powerful tool in dissecting the factors mediating stromal support for maintenance and expansion of HSCs.
This is a preview of subscription content, access via your institution
Access options
Subscribe to this journal
Receive 12 print issues and online access
$259.00 per year
only $21.58 per issue
Buy this article
- Purchase on SpringerLink
- Instant access to the full article PDF.
USD 39.95
Prices may be subject to local taxes which are calculated during checkout





Similar content being viewed by others
References
Piacibello W, Sanavio F, Garetto L, Severino A, Bergandi D, Ferrario J, Fagioli F, Berger M, Aglietta M . Extensive amplification and self-renewal of human primitive hematopoietic stem cells from cord blood Blood 1997 89: 2644–2653
Piacibello W, Sanavio F, Garetto L, Severino A, Dane A, Gammaitoni L, Aglietta M . Differential growth factor requirement of primitive cord blood hematopoietic stem cell for self-renewal and amplification vs proliferation and differentiation Leukemia 1998 12: 718–727
Piacibello W, Sanavio F, Severino A, Dane A, Gammaitoni L, Fagioli F, Perissinotto E, Cavalloni G, Kollet O, Lapidot T, Aglietta M . Engraftment in nonobese diabetic severe combined immunodeficient mice of human CD34(+) cord blood cells after ex vivo expansion: evidence for the amplification and self-renewal of repopulating stem cells Blood 1999 93: 3736–3749
Kusadasi N, van Soest PL, Mayen AE, Koevoet JL, Ploemacher RE . Successful short-term ex vivo expansion of NOD/SCID repopulating ability and CAFC week 6 from umbilical cord blood Leukemia 2000 14: 1944–1953
Bhatia M, Bonnet D, Kapp U, Wang JC, Murdoch B, Dick JE . Quantitative analysis reveals expansion of human hematopoietic repopulating cells after short-term ex vivo culture J Exp Med 1997 186: 619–624
Xu MJ, Tsuji K, Ueda T, Mukouyama YS, Hara T, Yang FC, Ebihara Y, Matsuoka S, Manabe A, Kikuchi A, Ito M, Miyajima A, Nakahata T . Stimulation of mouse and human primitive hematopoiesis by murine embryonic aorta–gonad–mesonephros-derived stromal cell lines Blood 1998 92: 2032–2040
Moore KA, Ema H, Lemischka IR . In vitro maintenance of highly purified, transplantable hematopoietic stem cells Blood 1997 89: 4337–4347
Wineman J, Moore K, Lemischka I, Muller-Sieburg C . Functional heterogeneity of the hematopoietic microenvironment: rare stromal elements maintain long-term repopulating stem cells Blood 1996 87: 4082–4090
Ohneda O, Fennie C, Zheng Z, Donahue C, La H, Villacorta R, Cairns B, Lasky LA . Hematopoietic stem cell maintenance and differentiation are supported by embryonic aorta-gonad-mesonephros region-derived endothelium Blood 1998 92: 908–919
Medvinsky A, Dzierzak E . Definitive hematopoiesis is autonomously initiated by the AGM region Cell 1996 86: 897–906
de Bruijn MF, Speck NA, Peeters MC, Dzierzak E . Definitive hematopoietic stem cells first develop within the major arterial regions of the mouse embryo EMBO J 2000 19: 2465–2474
Morrison SJ, Hemmati HD, Wandycz AM, Weissman IL . The purification and characterization of fetal liver hematopoietic stem cells Proc Natl Acad Sci USA 1995 92: 10302–10306
Sanchez MJ, Holmes A, Miles C, Dzierzak E . Characterization of the first definitive hematopoietic stem cells in the AGM and liver of the mouse embryo Immunity 1996 5: 513–525
Ema H, Nakauchi H . Expansion of hematopoietic stem cells in the developing liver of a mouse embryo Blood 2000 95: 2284–2288
Oostendorp R, Medvinsky A, Kusadasi N, Nakayama N, Orelio C, Convy T, Ploemacher R, Saris C, Dzierzak E . Embryonal subregion-derived stromal cell lines from novel temperature-sensitive SV40 T antigen transgenic mice support hematopoiesis J Cell Sci 2002 115: 2099–2108
Kusadasi N, Koevoet JL, van Soest PL, Ploemacher RE . Stromal support augments extended long-term ex vivo expansion of hemopoietic progenitor cells Leukemia 2001 15: 1347–1358
Lewis ID, Verfaillie CM . Multi-lineage expansion potential of primitive hematopoietic progenitors. Superiority of umbilical cord blood compared to mobilized peripheral blood Exp Hematol 2000 28: 1087–1095
Kobari L, Pflumio F, Giarratana M, Li X, Titeux M, Izac B, Leteurtre F, Coulombel L, Douay L . In vitro and in vivo evidence for the long-term multilineage (myeloid, B, NK, and T) reconstitution capacity of ex vivo expanded human CD34(+) cord blood cells Exp Hematol 2000 28: 1470–1480
van Hennik PB, Verstegen MM, Bierhuizen MF, Limon A, Wognum AW, Cancelas JA, Barquinero J, Ploemacher RE, Wagemaker G . Highly efficient transduction of the green fluorescent protein gene in human umbilical cord blood stem cells capable of cobblestone formation in long-term cultures and multilineage engraftment of immunodeficient mice Blood 1998 92: 4013–4022
Kanai M, Hirayama F, Yamaguchi M, Ohkawara J, Sato N, Fukazawa K, Yamashita K, Kuwabara M, Ikeda H, Ikebuchi K . Stromal cell-dependent ex vivo expansion of human cord blood progenitors and augmentation of transplantable stem cell activity Bone Marrow Transplant 2000 26: 837–844
Yamaguchi M, Hirayama F, Kanai M, Sato N, Fukazawa K, Yamashita K, Sawada K, Koike T, Kuwabara M, Ikeda H, Ikebuchi K . Serum-free coculture system for ex vivo expansion of human cord blood primitive progenitors and SCID mouse-reconstituting cells using human bone marrow primary stromal cells Exp Hematol 2001 29: 174–182
Gan OI, Murdoch B, Larochelle A, Dick JE . Differential maintenance of primitive human SCID-repopulating cells, clonogenic progenitors, and long-term culture-initiating cells after incubation on human bone marrow stromal cells Blood 1997 90: 641–650
Breems DA, Blokland EA, Neben S, Ploemacher RE . Frequency analysis of human primitive haematopoietic stem cell subsets using a cobblestone area forming cell assay Leukemia 1994 8: 1095–1104
Ploemacher RE, van der Sluijs JP, Voerman JS, Brons NH . An in vitro limiting-dilution assay of long-term repopulating hematopoietic stem cells in the mouse Blood 1989 74: 2755–2763
Oostendorp RA, Harvey KN, Kusadasi N, de Bruijn MF, Saris C, Ploemacher RE, Medvinsky AL, Dzierzak EA . Stromal cell lines from mouse aorta–gonads–mesonephros subregions are potent supporters of hematopoietic stem cell activity Blood 2002 99: 1183–1189
Dexter TM, Allen TD, Lajtha LG . Conditions controlling the proliferation of haemopoietic stem cells in vitro J Cell Physiol 1977 91: 335–344
Reincke U, Rosenblatt M, Hellman S . Adherent stem cells: frequency in mouse marrow and terminal clone sizes in long-term culture Exp Hematol 1985 13: 545–553
Spooncer E, Heyworth CM, Dunn A, Dexter TM . Self-renewal and differentiation of interleukin-3-dependent multipotent stem cells are modulated by stromal cells and serum factors Differentiation 1986 31: 111–118
Gordon MY, Hibbin JA, Kearney LU, Gordon-Smith EC, Goldman JM . Colony formation by primitive haemopoietic progenitors in cocultures of bone marrow cells and stromal cells Br J Haematol 1985 60: 129–136
Gordon MY, Dowding CR, Riley GP, Greaves MF . Characterisation of stroma-dependent blast colony-forming cells in human marrow J Cell Physiol 1987 130: 150–156
Punzel M, Gupta P, Roodell M, Mortari F, Verfaillie CM . Factor(s) secreted by AFT024 fetal liver cells following stimulation with human cytokines are important for human LTC-IC growth Leukemia 1999 13: 1079–1084
Shih CC, Hu MC, Hu J, Weng Y, Yazaki PJ, Medeiros J, Forman SJ . A secreted and LIF-mediated stromal cell-derived activity that promotes ex vivo expansion of human hematopoietic stem cells Blood 2000 95: 1957–1966
Patel VP, Kreider BL, Li Y, Li H, Leung K, Salcedo T, Nardelli B, Pippalla V, Gentz S, Thotakura R, Parmelee D, Gentz R, Garotta G . Molecular and functional characterization of two novel human C-C chemokines as inhibitors of two distinct classes of myeloid progenitors J Exp Med 1997 185: 1163–1172
Ohneda O, Ohneda K, Nomiyama H, Zheng Z, Gold SA, Arai F, Miyamoto T, Taillon BE, McIndoe RA, Shimkets RA, Lewin DA, Suda T, Lasky LA . WECHE: a novel hematopoietic regulatory factor Immunity 2000 12: 141–150
Tashiro K, Tada H, Heilker R, Shirozu M, Nakano T, Honjo T . Signal sequence trap: a cloning strategy for secreted proteins and type I membrane proteins Science 1993 261: 600–603
Nagasawa T, Hirota S, Tachibana K, Takakura N, Nishikawa S, Kitamura Y, Yoshida N, Kikutani H, Kishimoto T . Defects of B-cell lymphopoiesis and bone-marrow myelopoiesis in mice lacking the CXC chemokine PBSF/SDF-1 Nature 1996 382: 635–638
Mohle R, Bautz F, Rafii S, Moore MA, Brugger W, Kanz L . The chemokine receptor CXCR-4 is expressed on CD34+ hematopoietic progenitors and leukemic cells and mediates transendothelial migration induced by stromal cell-derived factor-1 Blood 1998 91: 4523–4530
Schwarzer A, Wynter de E, Kasper C, Testa NG, Schulze E, Ploemacher RE, Leiblein S, Egger D, Roder I, Gunther C, Helbig W . Effects of megakayocyte growth and development factor on colony formation of progenitor cells and the growth of cobblestone areas in stroma-supported long term cultures of CD34+ cells from human cord blood Blood 1996 88: 3265a
Yagi M, Ritchie KA, Sitnicka E, Storey C, Roth GJ, Bartelmez S . Sustained ex vivo expansion of hematopoietic stem cells mediated by thrombopoietin Proc Natl Acad Sci USA 1999 96: 8126–8131
Mauch P, Greenberger JS, Botnick L, Hannon E, Hellman S . Evidence for structured variation in self-renewal capacity within long-term bone marrow cultures Proc Natl Acad Sci USA 1980 77: 2927–2930
Acknowledgements
We would like to acknowledge the nursing staff and midwives of the St Fransiscus Gasthuis for collection of UCB samples, and PB van Hennik, WJC Rombouts and I Blokland for technical assistance. Supported by research grants of the NIH R01 DK51077 (ED) and AMGEN, Thousand Oaks, CA (RO, ED).
Author information
Authors and Affiliations
Rights and permissions
About this article
Cite this article
Kusadasi, N., Oostendorp, R., Koevoet, W. et al. Stromal cells from murine embryonic aorta–gonad–mesonephros region, liver and gut mesentery expand human umbilical cord blood-derived CAFCweek6 in extended long-term cultures. Leukemia 16, 1782–1790 (2002). https://doi.org/10.1038/sj.leu.2402615
Received:
Accepted:
Published:
Issue date:
DOI: https://doi.org/10.1038/sj.leu.2402615
Keywords
This article is cited by
-
Blockade of BCL-2 proteins efficiently induces apoptosis in progenitor cells of high-risk myelodysplastic syndromes patients
Leukemia (2016)
-
Sorafenib induces cell death in chronic lymphocytic leukemia by translational downregulation of Mcl-1
Leukemia (2011)
-
Multipotent neural precursors express neural and hematopoietic factors, and enhance ex vivo expansion of cord blood CD34+ cells, colony forming units and NOD/SCID-repopulating cells in contact and noncontact cultures
Leukemia (2005)


