Abstract
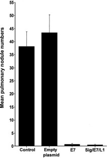
DNA vaccination has emerged as an attractive approach for tumor immunotherapy. The aim of this study was to evaluate the potency of DNA vaccines in preventing and treating the liver and lung metastases of a human papillomavirus-16 (HPV-16) E7-expressing murine tumor (TC-1). We used the gene gun method to vaccinate C57BL/6 mice intradermally with DNA vaccines containing the HPV-16 E7 gene, the E7 gene linked to the sorting signals of the lysosome-associated membrane protein-1 (Sig/E7/ LAMP-1), or the ‘empty’ plasmid vector. The in vivo antitumor immunity was analyzed in both tumor prevention and tumor regression experiments. In addition, cytotoxic T lymphocyte (CTL) assays, enzyme-linked immunospot assay and enzyme-linked immunoabsorbent assay were used to assess the E7-specific T cell-mediated and humoral immunity. Mice vaccinated with Sig/E7/LAMP-1 DNA generated the strongest E7-specific CTL activities, the highest numbers of E7-specific CD8+ cell precursors and the highest titers of E7-specific antibodies. While both E7 DNA and Sig/E7/LAMP-1 DNA generated potent antitumor immunity in the liver and lung metastases models, the Sig/E7/LAMP-1 DNA was more potent under stringent conditions. DNA vaccination with E7-expressing plasmids was effective in controlling liver and lung metastases of an E7-expressing murine tumor. Our data suggest that antigen-specific DNA vaccination can potentially be applied to control liver and lung metastases of tumors with defined tumor-specific antigens.
This is a preview of subscription content, access via your institution
Access options
Subscribe to this journal
Receive 6 print issues and online access
$259.00 per year
only $43.17 per issue
Buy this article
- Purchase on SpringerLink
- Instant access to the full article PDF.
USD 39.95
Prices may be subject to local taxes which are calculated during checkout











Similar content being viewed by others
References
Chen CH, Wu TC . Experimental vaccine strategies for cancer immunotherapy J Biomed Sci 1998 5: 231–252
Sznol M, Holmlund J . Antigen-specific agents in develoment (review) Semin Oncol 1997 24: 173–186
Jaffee EM, Pardoll DM . Considerations for the clinical development of cytokine gene-transduced tumor cell vaccines Methods 1997 12: 143–153
Pardoll DM, Beckerleg AM . Exposing the immunology of naked DNA vaccines (review) Immunity 1995 3: 165–169
Donnelly JJ, Ulmer JB, Liu MA . DNA vaccines (review) Life Sci 1997 60: 163–172
Robinson HL, Torres CA . DNA vaccines Semin Immunol 1997 9: 271–283
Lin K-Y et al. Treatment of established tumors with a novel vaccine that enhances major histocompatibility class II presentation of tumor antigen Cancer Res 1996 56: 21–26
Ji H et al. Antigen-specific immunotherapy for murine lung metastatic tumors expressing human papillomavirus type 16 E7 oncoprotein Int J Cancer 1998 78: 41–45
Hanke T et al. Enhancement of MHC class-I-restricted peptide-specific T cell induction by a DNA prime/MVA boost vaccination regime Vaccine 1998 16: 439–445
Henriksen E . The lymphatic spread of carcinoma of the cervix and of the body of the uterus: a study of 420 necropsies Am J Obstet Gynecol 1949 58: 924–942
Gilboa E . Murine models for cancer immunotherapy using cytokine gene modified tumor vaccines. In: Forni G, Foa R, Santoni A, Frati L (eds) Cytokine-induced Tumor Immunogeneity Academic Press: London 1994 130–143
Melief CJ, Kast WM . T-cell immunotherapy of tumors by adoptive transfer of cytotoxic T lymphocytes and by vaccination with minimal essential epitopes Immunol Rev 1995 145: 167–177
Murali-Krishna K et al. Counting antigen-specific CD8 T cells: a reevaluation of bystander activation during viral infection Immunity 1998 8: 177–187
Conry RM et al. A carcinoembryonic antigen polynucleotide vaccine has in vivo antitumor activity Gene Therapy 1995 2: 59–65
Syrengelas AD, Chen TT, Levy R . DNA immunization induces protective immunity against B-cell lymphoma Nature Med 1996 2: 1038–1041
Bright RK et al. Protection against a lethal challenge with SV40-transformed cells by the direct injection of DNA-encoding SV40 large tumor antigen Cancer Res 1996 56: 1126–1130
Schirmbeck R, Bohm W, Reimann J . DNA vaccination primes MHC class I-restricted, simian virus 40 large tumor antigen-specific CTL in H-2d mice that reject syngeneic tumors J Immunol 1996 157: 3550–3558
Rosato A et al. CTL response and protection against P815 tumor challenge in mice immunized with DNA expressing the tumor-specific antigen P815A Hum Gene Ther 1997 8: 1451–1458
Geissler M et al. Genetic immunization with the free human chorionic gonadotropin beta subunit elicits cytotoxic T lymphocyte responses and protects against tumor formation in mice Lab Invest 1997 76: 859–871
Schreurs MW et al. Genetic vaccination against the melanocyte lineage-specific antigen gp100 induces cytotoxic T lyphocyte-mediated tumor protection Cancer Res 1998 58: 2509–2514
Chen Y et al. DNA vaccines encoding full-length or truncated Neu induce protective immunity against Neu-expressing mammary tumors Cancer Res 1998 58: 1965–1971
Iwasaki A, Barber BH . Induction by DNA immunization of a protective antitumor cytotoxic T lymphocyte response against a minimal-epitope-expressing tumor Cancer Immunol Immunother 1998 45: 273–279
Ciernik IF, Berzofsky JA, Carbone DP . Induction of cytotoxic T lymphocytes and antitumor immunity with DNA vaccines expressing single T cell epitopes J Immunol 1996 156: 2369–2375
Irvine KR et al. Cytokine enhancement of DNA immunization leads to effective treatment of established pulmonary metastases J Immunol 1996 156: 238–245
Ross HM et al. Priming for T-cell-mediated rejection of established tumors by cutaneous DNA immunization Clin Cancer Res 1997 3: 2191–2196
Ulmer JB et al. Heterologous protection against influenza by injection of DNA encoding a viral protein Science 1993 259: 1745–1749
Sparwasser T et al. Bacterial DNA and immunostimulatory CpG oligonucleotides trigger maturation and activation of murine dendritic cells Eur J Immunol 1998 28: 2045–2054
Cohen AD, Boyer JD, Weiner DB . Modulating the immune response to genetic immunization FASEB J 1998 12: 1611–1626
Condon C et al. DNA-based immunization by in vivo transfection of dendritic cells Nature Med 1996 2: 1122–1128
Iwasaki A et al. The dominant role of bone marrow-derived cells in CTL induction following plasmid DNA immunization at different sites J Immunol 1997 159: 11–14
Porgador A et al. Predominant role for directly transfected dendritic cells in antigen presentation to CD8+ cells after gene gun immunization J Exp Med 1998 188: 1075–1082
Klinman DM et al. Contribution of cells at the site of DNA vaccination to the generation of antigen-specific immunity and memory J Immunol 1998 160: 2388–2392
Wu TC et al. Engineering an intracellular pathway for major histocompatibility complex class II presentation of antigens Proc Natl Acad Sci USA 1995 92: 11671–11675
Ruff AL et al. The enhanced immune response to the HIV gp160/LAMP chimeric gene product targeted to the lysosome membrane protein trafficking pathway J Biol Chem 1997 272: 8671–8678
Boyle JS, Koniaras C, Lew AM . Influence of cellular location of expressed antigen on the efficacy of DNA vaccination: cytotoxic T lymphocyte and antibody responses are suboptimal when antigen is cytoplasmic after intramuscular DNA immunization Int Immunol 1997 9: 1897–1906
Choi AH et al. Particle-bombardment-mediated DNA vaccination with rotavirus VP4 or VP7 induces high levels of serum rotavirus IgG but fails to protect mice against challenge Virology 1998 250: 230–240
Akbari O et al. DNA vaccination: transfection and activation of dendritic cells as key events for immunity J Exp Med 1999 189: 169–178
Sigal LJ et al. Cytotoxic T-cell immunity to virus-infected non-haematopoietic cells requires presentation of exogenous antigen Nature 1999 398: 78–80
Bennett SR et al. Induction of a CD8+ cytotoxic T lymphocyte response by cross-priming requires cognate CD4+ T cell help J Exp Med 1997 186: 65–70
Feltkamp MC et al. Vaccination with cytotoxic T lymphcoyte epitope-containing peptide protects against a tumor induced by human papillomavirus type 16-transformed cells Eur J Immunol 1993 23: 2242–2249
Miyahira Y et al. Quantification of antigen specific CD8+ T cells using an ELISPOT assay J Immunol Meth 1995 181: 45–54
McCutcheon M et al. A sensitive ELISPOT assay to detect low-frequency human T lymphocytes J Immunol Meth 1997 210: 149–166
Acknowledgements
We would like to thank Drs Tian-Li Wang, Chien-Fu Hung and Robert J Kurman for helpful discussions. We would also like to thank Haiyan Chen for superb technical help and Morris Ling for preparation of the manuscript. This work was supported by NIH 5 po1 34582-01, U19 CA72108-02, RO1 CA72631-01 and the Richard W TeLinde endowment.
Author information
Authors and Affiliations
Rights and permissions
About this article
Cite this article
Chen, CH., Ji, H., Suh, K. et al. Gene gun-mediated DNA vaccination induces antitumor immunity against human papillomavirus type 16 E7-expressing murine tumor metastases in the liver and lungs. Gene Ther 6, 1972–1981 (1999). https://doi.org/10.1038/sj.gt.3301067
Received:
Accepted:
Published:
Issue date:
DOI: https://doi.org/10.1038/sj.gt.3301067
Keywords
This article is cited by
-
Connective tissue growth factor linked to the E7 tumor antigen generates potent antitumor immune responses mediated by an antiapoptotic mechanism
Gene Therapy (2008)
-
IL-6-Encoding Tumor Antigen Generates Potent Cancer Immunotherapy Through Antigen Processing and Anti-apoptotic Pathways
Molecular Therapy (2007)
-
Vaccination with liposome–DNA complexes elicits enhanced antitumor immunity
Cancer Gene Therapy (2006)
-
Seeing the gene therapy: application of gene gun technique to transfect and decolour pigmented rat skin with human agouti signalling protein cDNA
Gene Therapy (2004)
-
Prevention of cervical cancer through papillomavirus vaccination
Nature Reviews Immunology (2004)


