Abstract
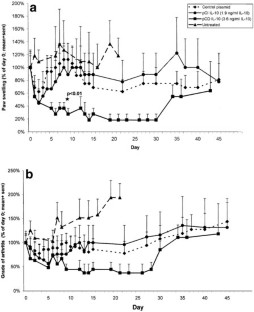
A novel formulation of cationic liposomes containing the novel cytofectin ACHx was used for delivery of an anti-inflammatory cytokine gene, IL-10, to mice with established collagen induced arthritis. A single intraperitoneal injection of human IL-10 expression plasmid complexed with liposomes 2 to 4 days after the onset of arthritis was sufficient to give significant and prolonged amelioration of arthritis for 30 days. Preliminary experiments suggested that the therapeutic effect was IL-10 dose-dependent. The distribution of the human IL-10 DNA after injection was widespread, including the inflamed paws. Human IL-10 mRNA was also detected in the paws 24 h after injection. IL-10 protein was below the level of detection in paws and serum but was detected in some tissues up to 10 days after injection. The target cell of transfection was demonstrated to be the macrophage. These results suggest that systemic therapy with plasmid DNA complexed with cationic liposomes merits further development as an alternative method for anti-inflammatory treatment of arthritis.
This is a preview of subscription content, access via your institution
Access options
Subscribe to this journal
Receive 6 print issues and online access
$259.00 per year
only $43.17 per issue
Buy this article
- Purchase on SpringerLink
- Instant access to the full article PDF.
USD 39.95
Prices may be subject to local taxes which are calculated during checkout







Similar content being viewed by others

References
Staines NA, Wooley PH . Collagen arthritis – what can it teach us? Br J Rheumatol 1994 33: 798–807
Maini RN et al (eds). Oxford Textbook of Rheumatology: Immunopathogenesis of Rheumatoid Arthritis Oxford University Press: Oxford 1993
Kinne RW et al. Long-term amelioration of rat adjuvant arthritis following systemic elimination of macrophages by clodronate-containing liposomes Arthr Rheum 1995 38: 1777–1790
van Lent PL et al. In vivo role of phagocytic synovial lining cells in onset of experimental arthritis Am J Pathol 1993 143: 1226–1237
Di Giovine FS, Nuki G, Duff GW . Tumour necrosis factor in synovial exudates Ann Rheum Dis 1988 47: 768–772
Miyasaka N et al. Augmented interleukin-1 production and HLA-DR expression in the synovium of rheumatoid arthritis patients. Possible involvement in joint destruction Arthr Rheum 1988 31: 480–486
Hirano T et al. Excessive production of interleukin 6/B cell stimulatory factor-2 in rheumatoid arthritis Eur J Immunol 1988 18: 1797–1801
Mauri C, Williams RO, Walmsley M, Feldmann M . Relationship between Th1/Th2 cytokine patterns and the arthritogenic response in collagen-induced arthritis Eur J Immunol 1996 26: 1511–1518
Takai Y et al. Enhanced production of interleukin-6 in mice with type II collagen-induced arthritis Arthr Rheum 1989 32: 594–600
Katsikis PD et al. Immunoregulatory role of interleukin 10 in rheumatoid arthritis J Exp Med 1994 179: 1517–1527
Brennan FM et al. Detection of transforming growth factor-beta in rheumatoid arthritis synovial tissue: lack of effect on spontaneous cytokine production in joint cell cultures Clin Exp Immunol 1990 81: 278–285
Deleuran BW et al. Localization of interleukin-1 alpha, type 1 interleukin-1 receptor and interleukin-1 receptor antagonist in the synovial membrane and cartilage/pannus junction in rheumatoid arthritis Br J Rheumatol 1992 31: 801–809
Firestein GS et al. IL-1 receptor antagonist protein production and gene expression in rheumatoid arthritis and osteoarthritis synovium J Immunol 1992 149: 1054–1062
Joosten LA, Helsen MM, van de Loo FA, van den Berg WB . Anticytokine treatment of established type II collagen-induced arthritis in DBA/1 mice. A comparative study using anti-TNF alpha, anti-IL-1 alpha/beta, and IL-1Ra Arthr Rheum 1996 39: 797–809
Williams RO, Feldmann M, Maini RN . Anti-tumor necrosis factor ameliorates joint disease in murine collagen-induced arthritis Proc Natl Acad Sci USA 1992 89: 9784–9788
Elliott MJ et al. Treatment of rheumatoid arthritis with chimeric monoclonal antibodies to tumor necrosis factor alpha Arthr Rheum 1993 36: 1681–1690
Elliott MJ et al. Randomised double-blind comparison of chimeric monoclonal antibody to tumour necrosis factor alpha (cA2) versus placebo in rheumatoid arthritis Lancet 1994 344: 1105–1110
Persson S et al. Interleukin-10 suppresses the development of collagen type II-induced arthritis and ameliorates sustained arthritis in rats Scand J Immunol 1996 44: 607–614
Walmsley M et al. Interleukin-10 inhibition of the progression of established collagen-induced arthritis Arthr Rheum 1996 39: 495–503
Tanaka Y et al. Effect of IL-10 on collagen-induced arthritis in mice Inflamm Res 1996 45: 283–288
Chernajovsky Y, Feldmann M, Maini RN . Gene therapy of rheumatoid arthritis via cytokine regulation: future perspectives Br Med Bull 1995 51: 503–516
Muller Ladner U et al. Human IL-1Ra gene transfer into human synovial fibroblasts is chondroprotective J Immunol 1997 158: 3492–3498
Otani K et al. Suppression of antigen-induced arthritis in rabbits by ex vivo gene therapy J Immunol 1996 156: 3558–3562
Hung GL et al. Suppression of intra-articular responses to interleukin-1 by transfer of the interleukin-1 receptor antagonist gene to synovium Gene Therapy 1994 1: 64–69
Evans CH et al. Clinical trial to assess the safety, feasibility, and efficacy of transferring a potentially anti-arthritic cytokine gene to human joints with rheumatoid arthritis Hum Gene Ther 1996 7: 1261–1280
Kirsh R, Poste G . Liposome targeting to macrophages: opportunities for treatment of infectious diseases Adv Exp Med Biol 1986 202: 171–184
Oyen WJ et al. Detecting infection and inflammation with technetium-99m-labeled Stealth liposomes J Nucl Med 1996 37: 1392–1397
Williams AS, Camilleri JP, Williams BD . Suppression of adjuvant-induced arthritis by liposomally conjugated methotrexate in the rat Br J Rheumatol 1994 33: 530–533
Cooper RG et al. Polyamine analogues of 3-[N-(N′,N′-dimethylaminoethane)carbamoyl]-cholesterol (DC-Chol) as agents for gene delivery Chem Eur J 1998 4: 137–151
Springer T, Galfre G, Secher DS, Milstein C . Mac-1: a macrophage differentiation antigen identified by monoclonal antibody Eur J Immunol 1979 9: 301–306
Ross G et al. Gene therapy in the United States: a five-year status report Hum Gene Ther 1996 7: 1781–1790
Robbins PD, Evans CH . Prospects for treating autoimmune and inflammatory diseases by gene therapy (editorial) Gene Therapy 1996 3: 187–189
Mackensen A, Lindemann A, Mertelsmann R . Immunostimulatory cytokines in somatic cells and gene therapy of cancer Cytok Growth Factor Rev 1997 8: 119–128
Bessis N et al. Attenuation of collagen-induced arthritis in mice by treatment with vector cells engineered to secrete interleukin-13 Eur J Immunol 1996 26: 2399–2403
Apparailly F et al. Adenovirus-mediated transfer of viral IL-10 gene inhibits murine collagen-induced arthritis J Immunol 1998 160: 5213–5220
Ma Y et al. Inhibition of collagen-induced arthritis in mice by viral IL-10 gene transfer J Immunol 1998 161: 1516–1524
Whalen JD et al. Adenoviral transfer of the viral IL-10 gene peri-articularly to mouse paws suppresses development of collagen-induced arthritis in both injected and uninjected paws J Immunol 1999 162: 3625–3632
Yang Y et al. Cellular immunity to viral antigens limits E1 deleted adenoviruses for gene therapy Proc Natl Acad Sci USA 1994 91: 4407–4411
Le CH, Nicolson AG, Morales A, Sewell KL . Suppression of collagen-induced arthritis through adenovirus-mediated transfer of a modified tumor necrosis factor alpha receptor gene Arthr Rheum 1997 40: 1662–1669
Chun S, Daheshia M, Lee S, Rouse BT . Immune modulation by IL-10 gene transfer via viral vector and plasmid DNA: impliccation for gene therapy Cell Immunol 1999 194: 194–204
Song XY et al. Plasmid DNA encoding transforming growth factor-beta1 suppresses chronic disease in streptococcal cell wall-induced arthritis model J Clin Invest 1998 101: 2615–2621
Miossec P . Pro- and anti-inflammatory cytokine balance in rheumatoid arthritis Clin Exp Rheumatol 1995 13 (Suppl 12): S13–S16
van Rooijen N, Sanders A . Liposome mediated depletion of macrophages: mechanism of action, preparation of liposomes and applications J Immunol Meth 1994 174: 83–93
Muller CD, Schuber F . Neo-mannosylated liposomes: synthesis and interaction with mouse Kupffer cells and resident peritoneal macrophages Biochim Biophys Acta 1989 986: 97–105
Barratt G, Tenu JP, Yapo A, Petit JF . Preparation and characterisation of liposomes containing mannosylated phospholipids capable of targetting drugs to macrophages Biochim Biophys Acta 1986 862: 153–164
Love WG, Amos N, Kellaway IW, Williams BD . Specific accumulation of cholesterol-rich liposomes in the inflammatory tissue of rats with adjuvant arthritis Ann Rheum Dis 1990 49: 611–614
Caplen NJ et al. Liposome-mediated CFTR gene transfer to the nasal epithelium of patients with cystic fibrosis (see comments) (published erratum appears in Nat Med 1995; 1: 272) Nat Med 1995 1: 39–46
Rogy MA et al. Human tumor necrosis factor receptor (p55) and interleukin 10 gene transfer in the mouse reduces mortality to lethal endotoxemia and also attenuates local inflammatory responses J Exp Med 1995 181: 2289–2293
Stewart MJ et al. Gene transfer in vivo with DNA–liposome complexes: safety and acute toxicity in mice Hum Gene Ther 1992 3: 267–275
Yokoyama M, Zhang J, Whitton JL . DNA immunization: effects of vehicle and route of administration on the induction of protective antiviral immunity FEMS Immunol Med Microbiol 1996 14: 221–230
Nita I et al. Direct gene delivery to synovium. An evaluation of potential vectors in vitro and in vivo Arthr Rheum 1996 39: 820–828
Fife K et al. Endothelial cell transfection with cationic liposomes and herpes simplex-thymidine kinase mediated killing Gene Therapy 1998 5: 614–620
Philip R et al. In vivo gene delivery. Efficient transfection of T lymphocytes in adult mice J Biol Chem 1993 268: 16087–16090
Liu Y et al. Cationic liposome-mediated intravenous gene delivery J Biol Chem 1995 270: 24864–24870
Allen TM, Hansen CB, Guo LS . Subcutaneous administration of liposomes: a comparison with the intravenous and intraperitoneal routes of injection Biochim Biophys Acta 1993 1150: 9–16
de Waal Malefyt R et al. Interleukin 10 (IL-10) inhibits cytokine synthesis by human monocytes: an autoregulatory role of IL-10 produced by monocytes J Exp Med 1991 174: 1209–1220
Ferguson TA, Dube P, Griffith TS . Regulation of contact hypersensitivity by interleukin 10 J Exp Med 1994 179: 1597–1604
Berg DJ et al. Interleukin 10 but not interleukin 4 is a natural suppressant of cutaneous inflammatory responses J Exp Med 1995 182: 99–108
Filion MC, Phillips NC . Anti-inflammatory activity of cationic lipids Br J Pharmacol 1997 122: 551–557
Denham W et al. Transient human gene therapy: a novel cytokine regulatory strategy for experimental pancreatitis Ann Surg 1998 227: 812–820
Chu CQ, Londei M . Induction of Th2 cytokines and control of collagen-induced arthritis by nondepleting anti-CD4 Abs J Immunol 1996 157: 2685–2689
Stasiuk LM, Abehsira Amar O, Fournier C . Collagen-induced arthritis in DBA/1 mice: cytokine gene activation following immunization with type II collagen Cell Immunol 1996 173: 269–275
Wicks IP et al. Bacterial lipopolysaccharide copurifies with plasmid DNA: implications for animal models and human gene therapy Hum Gene Ther 1995 6: 317–323
Alton EW et al. Non-invasive liposome-mediated gene delivery can correct the ion transport defect in cystic fibrosis mutant mice (published erratum appears in Nat Genet 1993 5: 312: Nat Genet 1993 5: 135–142
Miller EJ . Structural studies on cartilage collagen employing limited cleavage and solubilization with pepsin Biochemistry 1972 11: 4903–4909
Acknowledgements
This work was supported by the Medical Research Council.
Author information
Authors and Affiliations
Rights and permissions
About this article
Cite this article
Fellowes, R., Etheridge, C., Coade, S. et al. Amelioration of established collagen induced arthritis by systemic IL-10 gene delivery. Gene Ther 7, 967–977 (2000). https://doi.org/10.1038/sj.gt.3301165
Received:
Accepted:
Published:
Issue date:
DOI: https://doi.org/10.1038/sj.gt.3301165
Keywords
This article is cited by
-
Regulatory T cells in rheumatoid arthritis: functions, development, regulation, and therapeutic potential
Cellular and Molecular Life Sciences (2022)
-
Cytokines regulate complement receptor immunoglobulin expression and phagocytosis of Candida albicans in human macrophages: A control point in anti-microbial immunity
Scientific Reports (2017)
-
Modulation of Macrophage Functional Polarity towards Anti-Inflammatory Phenotype with Plasmid DNA Delivery in CD44 Targeting Hyaluronic Acid Nanoparticles
Scientific Reports (2015)
-
Experimental autoimmune hearing loss is exacerbated in IL-10-deficient mice and reversed by IL-10 gene transfer
Gene Therapy (2012)
-
Biodistribution and blood clearance of plasmid DNA administered in arginine peptide complexes
Genetic Vaccines and Therapy (2011)

