Abstract
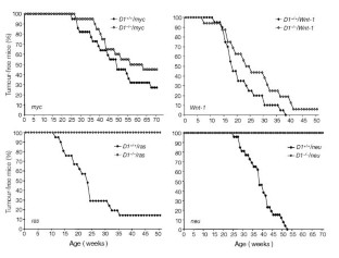
Breast cancer is the most common malignancy among women. Most of these cancers overexpress cyclin D1, a component of the core cell-cycle machinery. We previously generated mice lacking cyclin D1 using gene targeting. Here we report that these cyclin D1-deficient mice are resistant to breast cancers induced by the neu and ras oncogenes. However, animals lacking cyclin D1 remain fully sensitive to other oncogenic pathways of the mammary epithelium, such as those driven by c-myc or Wnt-1. Our analyses revealed that, in mammary epithelial cells, the Neu–Ras pathway is connected to the cell-cycle machinery by cyclin D1, explaining the absolute dependency on cyclin D1 for malignant transformation in this tissue. Our results suggest that an anti-cyclin D1 therapy might be highly specific in treating human breast cancers with activated Neu–Ras pathways.
This is a preview of subscription content, access via your institution
Access options
Subscribe to this journal
Receive 51 print issues and online access
$199.00 per year
only $3.90 per issue
Buy this article
- Purchase on SpringerLink
- Instant access to the full article PDF.
USD 39.95
Prices may be subject to local taxes which are calculated during checkout




Similar content being viewed by others
References
Sherr, C. J. & Roberts, J. M. CDK inhibitors: positive and negative regulators of G1-phase progression. Genes Dev. 13, 1501–1512 (1999).
Dickson, C. et al. Amplification of chromosome band 11q13 and a role for cyclin D1 in human breast cancer. Cancer Lett. 90, 43–50 (1995).
Bartkova, J. et al. Cyclin D1 protein expression and function in human breast cancer. Int. J. Cancer 57, 353–361 (1994).
Gillett, C. et al. Amplification and overexpression of cyclin D1 in breast cancer detected by immunohistochemical staining. Cancer Res. 54, 1812–1817 (1994).
McIntosh, G. G. et al. Determination of the prognostic value of cyclin D1 overexpression in breast cancer. Oncogene 11, 885–891 (1995).
Weinstat-Saslow, D. et al. Overexpression of cyclin D mRNA distinguishes invasive and in situ breast carcinomas from non-malignant lesions. Nature Med. 1, 1257–1260 (1995).
Gillett, C. et al. Cyclin D1 and prognosis in human breast cancer. Int. J. Cancer 69, 92–99 (1996).
Wang, T. C. et al. Mammary hyperplasia and carcinoma in MMTV-cyclin D1 transgenic mice. Nature 369, 669–671 (1994).
Sicinski, P. et al. Cyclin D1 provides a link between development and oncogenesis in the retina and breast. Cell 82, 621–630 (1995).
Fantl, V., Stamp, G., Andrews, A., Rosewell, I. & Dickson, C. Mice lacking cyclin D1 are small and show defects in eye and mammary gland development. Genes Dev. 9, 2364–2372 (1995).
Sinn, E. et al. Coexpression of MMTV/v-Ha-ras and MMTV/c-myc genes in transgenic mice: synergistic action of oncogenes in vivo. Cell 49, 465–475 (1987).
Muller, W. J., Sinn, E., Pattengale, P. K., Wallace, R. & Leder, P. Single-step induction of mammary adenocarcinoma in transgenic mice bearing the activated c-neu oncogene. Cell 54, 105–115 (1988).
Stewart, T. A., Pattengale, P. K. & Leder, P. Spontaneous mammary adenocarcinomas in transgenic mice that carry and express MTV/myc fusion genes. Cell 38, 627–637 (1984).
Tsukamoto, A. S., Grosschedl, R., Guzman, R. C., Parslow, T. & Varmus, H. E. Expression of the int-1 gene in transgenic mice is associated with mammary gland hyperplasia and adenocarcinomas in male and female mice. Cell 55, 619–625 (1988).
Rimerman, R. A., Gellert-Randleman, A. & Diehl, J. A. Wnt1 and MEK1 cooperate to promote cyclin D1 accumulation and cellular transformation. J. Biol. Chem. 275, 14736–14742 (2000).
Tetsu, O. & McCormick, F. Beta-catenin regulates expression of cyclin D1 in colon carcinoma cells. Nature 398, 422–426 (1999).
Sicinski, P. et al. Cyclin D2 is an FSH-responsive gene involved in gonadal cell proliferation and oncogenesis. Nature 384, 470–474 (1996).
Ball, R. K., Friis, R. R., Schoenenberger, C. A., Doppler, W. & Groner, B. Prolactin regulation of beta-casein gene expression and of a cytosolic 120-kd protein in a cloned mouse mammary epithelial cell line. EMBO J. 7, 2089–2095 (1988).
Lukas, J. et al. Cyclin D2 is a moderately oscillating nucleoprotein required for G1 phase progression in specific cell types. Oncogene 10, 2125–2134 (1995).
Janes, P. W., Daly, R. J., de Fazio, A. & Sutherland, R. L. Activation of the Ras signaling pathway in human breast cancer cells overexpressing erbB-2. Oncogene 9, 3601–3608 (1994).
Filmus, J. et al. Induction of Cyclin D1 overexpression by activated ras. Oncogene 9, 3627–3633 (1994).
Albanese, C. et al. Transforming p21ras mutants and c-Ets-2 activate the cyclin D1 promoter through distinguishable regions. J. Biol. Chem. 270, 23589–23597 (1995).
Liu, J. J. et al. Ras transformation results in an elevated level of cyclin D1 and acceleration of G1 progression in NIH 3T3 cells. Mol. Cell. Biol. 15, 3654–3663 (1995).
Lavoie, J. N., L’Allemain, G., Brunet, A., Mueller, R. & Pouyssegur, J. Cyclin D1 expression is regulated positively by the p42/p44MAPK and negatively by the p38/HOGMAPK pathway. J. Biol. Chem. 271, 20608–20616 (1996).
Lee, R. J. et al. Cyclin D1 is required for transformation by activated Neu and is induced through an E2F-dependent signaling pathway. Mol. Cell. Biol. 20, 672–683 (2000).
Geng, Y. et al. Rescue of cyclin D1 deficiency by knockin cyclin E. Cell 97, 767–777 (1999).
Alevizopoulos, K., Vlach, J., Hennecke, S. & Amati, B. Cyclin E and c-Myc promote cell proliferation in the presence of p16INK4a and of hypophosphorylated retinoblastoma family proteins. EMBO J. 16, 5322–5333 (1997).
Santoni-Rugiu, E., Falck, J., Mailand, N., Bartek, J. & Lukas, J. Involvement of Myc activity in a G1/S-promoting mechanism parallel to the pRb/E2F pathway. Mol. Cell. Biol. 20, 3497–3509 (2000).
Robles, A. I. et al. Reduced skin tumor development in cyclin D1-deficient mice highlights the oncogenic ras pathway in vivo. Genes Dev. 12, 2469–2474 (1998).
Bieche, I. & Lidereau, R. Genetic alterations in breast cancer. Genes Chromosom. Cancer 14, 227–251 (1995).
Bargmann, C. I., Hung, M. C. & Weinberg, R. A. Multiple independent activations of the neu oncogene by a point mutation altering the transmembrane domain of p185. Cell 45, 649–657 (1986).
Acknowledgements
We thank R. Bronson, M. Ciemerych, L. Le Cam, B. Elenbaas, A. Leder, S. Jean, M. Lee, M. Mann, T. Mäkelä, B. Rollins and R. A. Weinberg for help; P. Leder for SH1.1 and 13Ma1a cell lines; J. Direnzo and M. Brown for the HC11 cell line; and R. A. Weinberg for pBabe-puro-Ras-V12 and pSVNeuT plasmids. This work was supported by a grant from NIH and by the DOD Breast Cancer Idea Award to P.S. Y.G. is partly supported by the NCI SPORE in Breast Cancer at the DFCI/Harvard Medical School. P.S. is a Barr New Investigator.
Author information
Authors and Affiliations
Corresponding author
Rights and permissions
About this article
Cite this article
Yu, Q., Geng, Y. & Sicinski, P. Specific protection against breast cancers by cyclin D1 ablation. Nature 411, 1017–1021 (2001). https://doi.org/10.1038/35082500
Received:
Accepted:
Issue date:
DOI: https://doi.org/10.1038/35082500
This article is cited by
-
Aberrant Cyclin D1 splicing in cancer: from molecular mechanism to therapeutic modulation
Cell Death & Disease (2023)
-
Cell facilitation promotes growth and survival under drug pressure in breast cancer
Nature Communications (2023)
-
Targeting CDK4 and CDK6 in cancer
Nature Reviews Cancer (2022)
-
Cyclin-Dependent Kinase 4 and 6 Inhibitors as Breast Cancer Therapy: Research Progress and Prospects
Pharmaceutical Chemistry Journal (2022)
-
Phase 1b clinical trial of ado-trastuzumab emtansine and ribociclib for HER2-positive metastatic breast cancer
npj Breast Cancer (2021)


